2017 Vol.31(4)
Display Mode: |
2017, 31(4): 389-395.
doi: 10.1007/s13344-017-0045-y
Abstract:
A two-dimensional depth-integrated numerical model is refined in this paper to simulate the hydrodynamics, graded sediment transport process and the fate of faecal bacteria in estuarine and coastal waters. The sediment mixture is divided into several fractions according to the grain size. A bed evolution model is adopted to simulate the processes of the bed elevation change and sediment grain size sorting. The faecal bacteria transport equation includes enhanced source and sink terms to represent bacterial kinetic transformation and disappearance or reappearance due to sediment deposition or re-suspension. A novel partition ratio and dynamic decay rates of faecal bacteria are adopted in the numerical model. The model has been applied to the turbid water environment in the Bristol Channel and Severn estuary, UK. The predictions by the present model are compared with field data and those by non-fractionated model.
A two-dimensional depth-integrated numerical model is refined in this paper to simulate the hydrodynamics, graded sediment transport process and the fate of faecal bacteria in estuarine and coastal waters. The sediment mixture is divided into several fractions according to the grain size. A bed evolution model is adopted to simulate the processes of the bed elevation change and sediment grain size sorting. The faecal bacteria transport equation includes enhanced source and sink terms to represent bacterial kinetic transformation and disappearance or reappearance due to sediment deposition or re-suspension. A novel partition ratio and dynamic decay rates of faecal bacteria are adopted in the numerical model. The model has been applied to the turbid water environment in the Bristol Channel and Severn estuary, UK. The predictions by the present model are compared with field data and those by non-fractionated model.
2017, 31(4): 396-407.
doi: 10.1007/s13344-017-0046-x
Abstract:
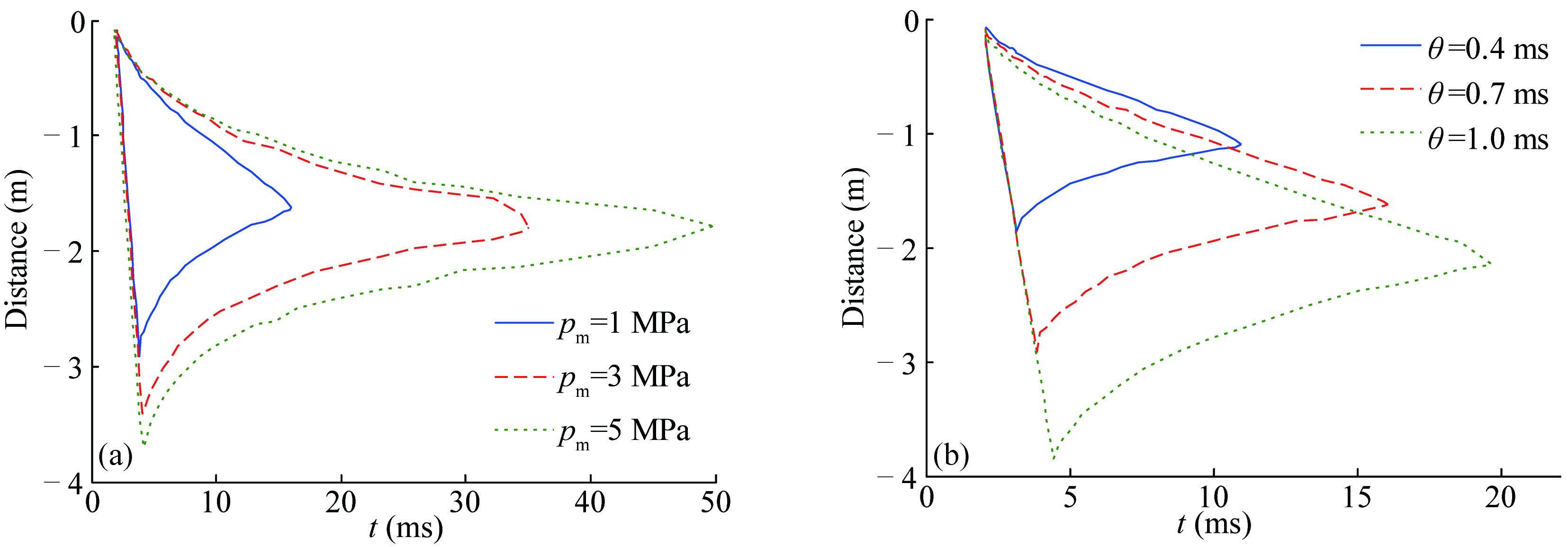
When the shock wave of underwater explosion propagates to the surfaces of different boundaries, it gets reflected. Then, a negative pressure area is formed by the superposition of the incident wave and reflected wave. Cavitation occurs when the value of the negative pressure falls below the vapor pressure of water. An improved numerical model based on the spectral element method is applied to investigate the cavitation effect of underwater shock near different boundaries, mainly including the feature of cavitation effect near different boundaries and the influence of different parameters on cavitation effect. In the implementation of the improved numerical model, the bilinear equation of state is used to deal with the fluid field subjected to cavitation, and the field separation technique is employed to avoid the distortion of incident wave propagating through the mesh and the second-order doubly asymptotic approximation is applied to simulate the non-reflecting boundary. The main results are as follows. As the peak pressure and decay constant of shock wave increases, the range of cavitation domain increases, and the duration of cavitation increases. As the depth of water increases, the influence of cavitation on the dynamic response of spherical shell decreases.
When the shock wave of underwater explosion propagates to the surfaces of different boundaries, it gets reflected. Then, a negative pressure area is formed by the superposition of the incident wave and reflected wave. Cavitation occurs when the value of the negative pressure falls below the vapor pressure of water. An improved numerical model based on the spectral element method is applied to investigate the cavitation effect of underwater shock near different boundaries, mainly including the feature of cavitation effect near different boundaries and the influence of different parameters on cavitation effect. In the implementation of the improved numerical model, the bilinear equation of state is used to deal with the fluid field subjected to cavitation, and the field separation technique is employed to avoid the distortion of incident wave propagating through the mesh and the second-order doubly asymptotic approximation is applied to simulate the non-reflecting boundary. The main results are as follows. As the peak pressure and decay constant of shock wave increases, the range of cavitation domain increases, and the duration of cavitation increases. As the depth of water increases, the influence of cavitation on the dynamic response of spherical shell decreases.
2017, 31(4): 408-417.
doi: 10.1007/s13344-017-0047-9
Abstract:
We present a study of the nonlinear coupling internal resonance for the heave roll and pitch performance of a spar platform under the wave and vortex-induced loads when the ratio of the frequencies of heave, roll and pitch are approximately 2:1:1. In consideration of varying wet surface, the three DOFs nonlinear coupled equations are established for the spar platform under the effect of the first-order wave loads in the heave and pitch, and vortex-induced loads in the roll. By utilizing the method of multi-scales when the vortex-induced frequency is close to the natural roll frequency, the first-order perturbation solution is obtained analytically and further validated by the numerical integration. Sensitivity analysis is performed to understand the influence of the damping and the internal detuning parameter. Two cases with internal resonance are shown. The first case is that no saturation phenomenon exists under small vortex-induced loads. The first order perturbation solution illustrates that only the vortex-induced frequency motion in roll and the super-harmonic frequency motion in heave are excited. The second case is that the vortex-induced loads are large enough to excite the pitch and a saturation phenomenon in the heave mode follows. The results show that there is no steady response occurrence for some cases. For these cases chaos occurs and large amplitudes response can be induced by the vortex-induced excitation.
We present a study of the nonlinear coupling internal resonance for the heave roll and pitch performance of a spar platform under the wave and vortex-induced loads when the ratio of the frequencies of heave, roll and pitch are approximately 2:1:1. In consideration of varying wet surface, the three DOFs nonlinear coupled equations are established for the spar platform under the effect of the first-order wave loads in the heave and pitch, and vortex-induced loads in the roll. By utilizing the method of multi-scales when the vortex-induced frequency is close to the natural roll frequency, the first-order perturbation solution is obtained analytically and further validated by the numerical integration. Sensitivity analysis is performed to understand the influence of the damping and the internal detuning parameter. Two cases with internal resonance are shown. The first case is that no saturation phenomenon exists under small vortex-induced loads. The first order perturbation solution illustrates that only the vortex-induced frequency motion in roll and the super-harmonic frequency motion in heave are excited. The second case is that the vortex-induced loads are large enough to excite the pitch and a saturation phenomenon in the heave mode follows. The results show that there is no steady response occurrence for some cases. For these cases chaos occurs and large amplitudes response can be induced by the vortex-induced excitation.
2017, 31(4): 418-427.
doi: 10.1007/s13344-017-0048-8
Abstract:
After the approach byMellor (2003 , 2008 ), the present paper reports on a repeated effort to derive the equations for three-dimensional wave-induced current. Via the vertical momentum equation and a proper coordinate transformation, the phase-averaged wave dynamic pressure is well treated, and a continuous and depth-dependent radiation stress tensor, rather than the controversial delta Dirac function at the surface shown in Mellor (2008) , is provided. Besides, a phase-averaged vertical momentum flux over a sloping bottom is introduced. All the inconsistencies in Mellor (2003 , 2008 ), pointed out by Ardhuin et al. (2008) and Bennis and Ardhuin (2011) , are overcome in the presently revised equations. In a test case with a sloping sea bed, as shown in Ardhuin et al. (2008) , the wave-driving forces derived in the present equations are in good balance, and no spurious vertical circulation occurs outside the surf zone, indicating that Airy’s wave theory and the approach of Mellor (2003 , 2008 ) are applicable for the derivation of the wave-induced current model.
After the approach by
2017, 31(4): 428-437.
doi: 10.1007/s13344-017-0049-7
Abstract:
Vortex-shedding flow induced by the vertical oscillation of a cylinder with bottom-attached disks of different diameter ratio Dd/Dc and thickness ratio td/Dc is studied by a 3D (three-dimensional) numerical model developed in this paper, and compared with the results obtained through 2D (two-dimensional) numerical model. The high-order upwind scheme is applied to stabilize the computation, and convergence is accelerated by the multi-grid method. Qualitative and quantitative analyses of the differences between the 2D and 3D simulation results reveal the 3D effect on the flow field characteristics and hydrodynamic coefficients of the vertically oscillating cylinder with a bottom-attached disk. The 3D effect on the fluid field is mainly reflected in the significance of three vortex-shedding patterns: \begin{document}${\textit{ω} _x}$\end{document}
has a greater effect on the flow fields around the sharp edges relative to the vortices generated in the 2D simulation. In the slice along the axial orientation, the vortex effect of \begin{document}${\textit{ω} _y}$\end{document}
along the radial axis is smaller than that of \begin{document}${\textit{ω} _x}$\end{document}
along the circumferential direction, indicating the radial effect on the velocity more pronounced than the circumferential effect around the sharp edges of the disk. The rotational interaction \begin{document}${\textit{ω} _z}$\end{document}
of the fluid in the horizontal plane during the heave motion is insignificant. Based on the 2D and 3D simulation results, the turning points that separate the increasing regimes of the added mass coefficient and damping ratio are identified. The dependence of the turning point on the diameter ratio Dd/Dc and thickness ratio td/Dc are discussed in detail.
Vortex-shedding flow induced by the vertical oscillation of a cylinder with bottom-attached disks of different diameter ratio Dd/Dc and thickness ratio td/Dc is studied by a 3D (three-dimensional) numerical model developed in this paper, and compared with the results obtained through 2D (two-dimensional) numerical model. The high-order upwind scheme is applied to stabilize the computation, and convergence is accelerated by the multi-grid method. Qualitative and quantitative analyses of the differences between the 2D and 3D simulation results reveal the 3D effect on the flow field characteristics and hydrodynamic coefficients of the vertically oscillating cylinder with a bottom-attached disk. The 3D effect on the fluid field is mainly reflected in the significance of three vortex-shedding patterns:
2017, 31(4): 438-446.
doi: 10.1007/s13344-017-0050-1
Abstract:
An experimental study on a bare flexible cylinder as well as cylinders fitted with two types of cross-sectioned helical strakes was carried out in a towing tank. The main purpose of this paper is to investigate the effects of strakes’ cross-section on the vortex-induced vibrations (VIV) suppression of a flexible cylinder. The square-sectioned and round-sectioned helical strakes were selected in the experimental tests. The uniform current was generated by towing the cylinder models along the tank using a towing carriage. The Reynolds number was in the range of 800–16000. The strain responses were measured by the strain gages in cross-flow (CF) and in-line (IL) directions. A modal analysis method was adopted to obtain the displacement responses using the strain signals in different measurement positions. The comparison of the experimental results among the bare cylinder, square-sectioned straked cylinder and round-sectioned straked cylinder was performed. The helical strakes can effectively reduce the strain amplitude, displacement amplitude, response frequencies and dominant modes of a flexible cylinder excited by VIV. And the mean drag coefficients of straked cylinders were approximately consistent with each other. In addition, the square-sectioned and round-sectioned strakes nearly share the similar VIV reduction behaviors. Sometimes, the strakes with round-section represent more excellent effects on the VIV suppression of response frequency than those with square-section.
An experimental study on a bare flexible cylinder as well as cylinders fitted with two types of cross-sectioned helical strakes was carried out in a towing tank. The main purpose of this paper is to investigate the effects of strakes’ cross-section on the vortex-induced vibrations (VIV) suppression of a flexible cylinder. The square-sectioned and round-sectioned helical strakes were selected in the experimental tests. The uniform current was generated by towing the cylinder models along the tank using a towing carriage. The Reynolds number was in the range of 800–16000. The strain responses were measured by the strain gages in cross-flow (CF) and in-line (IL) directions. A modal analysis method was adopted to obtain the displacement responses using the strain signals in different measurement positions. The comparison of the experimental results among the bare cylinder, square-sectioned straked cylinder and round-sectioned straked cylinder was performed. The helical strakes can effectively reduce the strain amplitude, displacement amplitude, response frequencies and dominant modes of a flexible cylinder excited by VIV. And the mean drag coefficients of straked cylinders were approximately consistent with each other. In addition, the square-sectioned and round-sectioned strakes nearly share the similar VIV reduction behaviors. Sometimes, the strakes with round-section represent more excellent effects on the VIV suppression of response frequency than those with square-section.
2017, 31(4): 447-457.
doi: 10.1007/s13344-017-0051-0
Abstract:
Ince-Strutt stability chart of ship parametric roll resonance in irregular waves is conducted and utilized for the exploration of the parametric roll resonance in irregular waves. Ship parametric roll resonance will lead to large amplitude roll motion and even wreck. Firstly, the equation describing the parametric roll resonance in irregular waves is derived according to Grim’s effective theory and the corresponding Ince-Strutt stability charts are obtained. Secondly, the differences of stability charts for the parametric roll resonance in irregular and regular waves are compared. Thirdly, wave phases and peak periods are taken into consideration to obtain a more realistic sea condition. The influence of random wave phases should be taken into consideration when the analyzed points are located near the instability boundary. Stability charts for different wave peak periods are various. Stability charts are helpful for the parameter determination in design stage to better adapt to sailing condition. Last, ship variables are analyzed according to stability charts by a statistical approach. The increase of the metacentric height will help improve ship stability.
Ince-Strutt stability chart of ship parametric roll resonance in irregular waves is conducted and utilized for the exploration of the parametric roll resonance in irregular waves. Ship parametric roll resonance will lead to large amplitude roll motion and even wreck. Firstly, the equation describing the parametric roll resonance in irregular waves is derived according to Grim’s effective theory and the corresponding Ince-Strutt stability charts are obtained. Secondly, the differences of stability charts for the parametric roll resonance in irregular and regular waves are compared. Thirdly, wave phases and peak periods are taken into consideration to obtain a more realistic sea condition. The influence of random wave phases should be taken into consideration when the analyzed points are located near the instability boundary. Stability charts for different wave peak periods are various. Stability charts are helpful for the parameter determination in design stage to better adapt to sailing condition. Last, ship variables are analyzed according to stability charts by a statistical approach. The increase of the metacentric height will help improve ship stability.
2017, 31(4): 458-465.
doi: 10.1007/s13344-017-0052-z
Abstract:
Wave energy has drawn much attention as an achievable way to exploit the renewable energy. At present, in order to enhance the wave energy extraction, most efforts have been concentrated on optimizing the wave energy convertor and the power take-off system mechanically and electrically. However, focusing the wave power in specific wave field could also be an alternative to improve the wave energy extraction. In this experimental study, the Bragg resonance effect is applied to focus the wave energy. Because the Bragg resonance effect of the rippled bottom largely amplifies the wave reflection, leading to a significant increase of wave focusing. Achieved with an energy conversion system consisting of a point absorber and a permanent magnet single phase linear motor, the wave energy extracted in the wave flume with and without Bragg resonance effect was measured and compared quantitatively in experiment. It shows that energy extraction by a point absorber from a standing wave field resulted from Bragg resonance effect can be remarkably increased compared with that from a propagating wave field (without Bragg resonance effect).
Wave energy has drawn much attention as an achievable way to exploit the renewable energy. At present, in order to enhance the wave energy extraction, most efforts have been concentrated on optimizing the wave energy convertor and the power take-off system mechanically and electrically. However, focusing the wave power in specific wave field could also be an alternative to improve the wave energy extraction. In this experimental study, the Bragg resonance effect is applied to focus the wave energy. Because the Bragg resonance effect of the rippled bottom largely amplifies the wave reflection, leading to a significant increase of wave focusing. Achieved with an energy conversion system consisting of a point absorber and a permanent magnet single phase linear motor, the wave energy extracted in the wave flume with and without Bragg resonance effect was measured and compared quantitatively in experiment. It shows that energy extraction by a point absorber from a standing wave field resulted from Bragg resonance effect can be remarkably increased compared with that from a propagating wave field (without Bragg resonance effect).
2017, 31(4): 466-475.
doi: 10.1007/s13344-017-0053-y
Abstract:
In this paper, reflection and transmission coefficients of regular waves from/through perforated thin walls are investigated. Small scale laboratory tests have been performed in a wave flume firstly with single perforated thin Plexiglas plates of various porosities. The plate is placed perpendicular to the flume with the height from the flume bottom to the position above water surface. With this thin wall in the flume wave overtopping is prohibited and incident waves are able to transmit. The porosities of the walls are achieved by perforating the plates with circular holes. Model settings with double perforated walls parallel to each other forming so called chamber system, have been also examined. Several parameters have been used for correlating the laboratory tests’ results. Experimental data are also compared with results from the numerical model by applying the multi-domain boundary element method (MDBEM) with linear wave theory. Wave energy dissipation due to the perforations of the thin wall has been represented by a simple yet effective porosity parameter in the model. The numerical model with the MDBEM has been further validated against the previously published data.
In this paper, reflection and transmission coefficients of regular waves from/through perforated thin walls are investigated. Small scale laboratory tests have been performed in a wave flume firstly with single perforated thin Plexiglas plates of various porosities. The plate is placed perpendicular to the flume with the height from the flume bottom to the position above water surface. With this thin wall in the flume wave overtopping is prohibited and incident waves are able to transmit. The porosities of the walls are achieved by perforating the plates with circular holes. Model settings with double perforated walls parallel to each other forming so called chamber system, have been also examined. Several parameters have been used for correlating the laboratory tests’ results. Experimental data are also compared with results from the numerical model by applying the multi-domain boundary element method (MDBEM) with linear wave theory. Wave energy dissipation due to the perforations of the thin wall has been represented by a simple yet effective porosity parameter in the model. The numerical model with the MDBEM has been further validated against the previously published data.
2017, 31(4): 476-486.
doi: 10.1007/s13344-017-0054-x
Abstract:
The dynamics of jacket supported offshore wind turbine (OWT) in earthquake environment is one of the progressing focuses in the renewable energy field. Soil–structure interaction (SSI) is a fundamental principle to analyze stability and safety of the structure. This study focuses on the performance of the multiple tuned mass damper (MTMD) in minimizing the dynamic responses of the structures objected to seismic loads combined with static wind and wave loads. Response surface methodology (RSM) has been applied to design the MTMD parameters. The analyses have been performed under two different boundary conditions: fixed base (without SSI) and flexible base (with SSI). Two vibration modes of the structure have been suppressed by multi-mode vibration control principle in both cases. The effectiveness of the MTMD in reducing the dynamic response of the structure is presented. The dynamic SSI plays an important role in the seismic behavior of the jacket supported OWT, especially resting on the soft soil deposit. Finally, it shows that excluding the SSI effect could be the reason of overestimating the MTMD performance.
The dynamics of jacket supported offshore wind turbine (OWT) in earthquake environment is one of the progressing focuses in the renewable energy field. Soil–structure interaction (SSI) is a fundamental principle to analyze stability and safety of the structure. This study focuses on the performance of the multiple tuned mass damper (MTMD) in minimizing the dynamic responses of the structures objected to seismic loads combined with static wind and wave loads. Response surface methodology (RSM) has been applied to design the MTMD parameters. The analyses have been performed under two different boundary conditions: fixed base (without SSI) and flexible base (with SSI). Two vibration modes of the structure have been suppressed by multi-mode vibration control principle in both cases. The effectiveness of the MTMD in reducing the dynamic response of the structure is presented. The dynamic SSI plays an important role in the seismic behavior of the jacket supported OWT, especially resting on the soft soil deposit. Finally, it shows that excluding the SSI effect could be the reason of overestimating the MTMD performance.
2017, 31(4): 487-494.
doi: 10.1007/s13344-017-0055-9
Abstract:
In order to reduce the total resistance of a hull, an optimization framework for the bulbous bow optimization was presented. The total resistance in calm water was selected as the objective function, and the overset mesh technique was used for mesh generation. RANS method was used to calculate the total resistance of the hull. In order to improve the efficiency and smoothness of the geometric reconstruction, the arbitrary shape deformation (ASD) technique was introduced to change the shape of the bulbous bow. To improve the global search ability of the particle swarm optimization (PSO) algorithm, an improved particle swarm optimization (IPSO) algorithm was proposed to set up the optimization model. After a series of optimization analyses, the optimal hull form was found. It can be concluded that the simulation based design framework built in this paper is a promising method for bulbous bow optimization.
In order to reduce the total resistance of a hull, an optimization framework for the bulbous bow optimization was presented. The total resistance in calm water was selected as the objective function, and the overset mesh technique was used for mesh generation. RANS method was used to calculate the total resistance of the hull. In order to improve the efficiency and smoothness of the geometric reconstruction, the arbitrary shape deformation (ASD) technique was introduced to change the shape of the bulbous bow. To improve the global search ability of the particle swarm optimization (PSO) algorithm, an improved particle swarm optimization (IPSO) algorithm was proposed to set up the optimization model. After a series of optimization analyses, the optimal hull form was found. It can be concluded that the simulation based design framework built in this paper is a promising method for bulbous bow optimization.
2017, 31(4): 495-503.
doi: 10.1007/s13344-017-0056-8
Abstract:
A series of experiments was carried out to study the flow behaviour behind a rotationally oscillating cylinder at a low Reynolds number (Re=300) placed in a recirculation water channel. A stepper motor was used to rotate the cylinder clockwise- and- counterclockwise about its longitudinal axis at selected frequencies. The particle image velocimetry (PIV) technique was used to capture the flow field behind a rotationally oscillating cylinder. Instantaneous and time-averaged flow fields such as the vorticity contours, streamline topologies and velocity distributions were analyzed. The effects of four rotation angle and frequency ratios Fr (Fr=fn/fv, the ratio of the forcing frequency fn to the natural vortex shedding frequency fv) on the wake in the lee of a rotationally oscillating cylinder were also examined. The significant wake modification was observed when the cylinder undergoes clockwise-and-counterclockwise motion with amplitude of π, especially in the range of 0.6≤Fr≤1.0.
A series of experiments was carried out to study the flow behaviour behind a rotationally oscillating cylinder at a low Reynolds number (Re=300) placed in a recirculation water channel. A stepper motor was used to rotate the cylinder clockwise- and- counterclockwise about its longitudinal axis at selected frequencies. The particle image velocimetry (PIV) technique was used to capture the flow field behind a rotationally oscillating cylinder. Instantaneous and time-averaged flow fields such as the vorticity contours, streamline topologies and velocity distributions were analyzed. The effects of four rotation angle and frequency ratios Fr (Fr=fn/fv, the ratio of the forcing frequency fn to the natural vortex shedding frequency fv) on the wake in the lee of a rotationally oscillating cylinder were also examined. The significant wake modification was observed when the cylinder undergoes clockwise-and-counterclockwise motion with amplitude of π, especially in the range of 0.6≤Fr≤1.0.
2017, 31(4): 504-509.
doi: 10.1007/s13344-017-0057-7
Abstract:
This paper describes the development of a T-year design tide hydrograph (DTH). A core innovation is that the proposed technique uses the design risk threshold and copula-based conditional risk probability to analyze the optimal combination of high waters and low waters of the DTH. A brief description of the method is presented. The in situ semi-diurnal tide data at the coast of Jiangsu Province in China are analyzed. Marginal distributions for high waters and low waters of tides are examined. Furthermore, the joint distributions, condition risk probabilities and risk thresholds of high waters and low waters are presented. Results of the DTH from the proposed method are compared with those from the traditional same-multiple enlarging design approach. It is demonstrated that the proposed method is preferable.
This paper describes the development of a T-year design tide hydrograph (DTH). A core innovation is that the proposed technique uses the design risk threshold and copula-based conditional risk probability to analyze the optimal combination of high waters and low waters of the DTH. A brief description of the method is presented. The in situ semi-diurnal tide data at the coast of Jiangsu Province in China are analyzed. Marginal distributions for high waters and low waters of tides are examined. Furthermore, the joint distributions, condition risk probabilities and risk thresholds of high waters and low waters are presented. Results of the DTH from the proposed method are compared with those from the traditional same-multiple enlarging design approach. It is demonstrated that the proposed method is preferable.
Power Maximization of A Point Absorber Wave Energy Converter Using Improved Model Predictive Control
2017, 31(4): 510-516.
doi: 10.1007/s13344-017-0059-5
Abstract:
This paper considers controlling and maximizing the absorbed power of wave energy converters for irregular waves. With respect to physical constraints of the system, a model predictive control is applied. Irregular waves’ behavior is predicted by Kalman filter method. Owing to the great influence of controller parameters on the absorbed power, these parameters are optimized by imperialist competitive algorithm. The results illustrate the method’s efficiency in maximizing the extracted power in the presence of unknown excitation force which should be predicted by Kalman filter.
This paper considers controlling and maximizing the absorbed power of wave energy converters for irregular waves. With respect to physical constraints of the system, a model predictive control is applied. Irregular waves’ behavior is predicted by Kalman filter method. Owing to the great influence of controller parameters on the absorbed power, these parameters are optimized by imperialist competitive algorithm. The results illustrate the method’s efficiency in maximizing the extracted power in the presence of unknown excitation force which should be predicted by Kalman filter.
ScholarOne Manuscripts Log In
Current Issue

- Volume 39
- Issue 4
- September 2025
- Editor-in-Chief:
- Superintended by:
CHINA ASSOCIATION FOR SCIENCE AND TECHNOLOGY
- Sponsored by:
Chinese Ocean Engineering Society (COES)
- Edited by:
Nanjing Hydraulic Research Institute
Highlights
Stay up to Date
