Browse Articles
Display Method:
Display Method:
|
2025, 39(4): 585 -596
doi: 10.1007/s13344-025-0042-5
[Abstract](1)
Abstract:
The internal solitary wave (ISW) represents a frequent and severe oceanic dynamic phenomenon observed in the South China Sea, exposing marine structures to sudden loads. This paper examines the prediction model of interaction loads between ISW and FPSO, accounting for varying attack angles and incorporating ISW theories. The research demonstrates that the horizontal and transverse forces on FPSO under internal solitary waves (ISWs) comprise wave pressure difference force and viscous force, while the vertical force primarily consists of vertical wave pressure difference force. The wave pressure difference force is determined using the Froude-Krylov equation. The viscous force is derived from the tangential particle velocity induced by ISW and the viscous coefficient. The viscous coefficient formula is obtained through regression analysis of experimental data with different ISW attack angles. The research reveals that the horizontal viscous coefficient Cvx decreases as Reynolds number (Re) increases, while the transverse viscous coefficient Cvy initially increases and subsequently decreases with the growth of the Keulegan-Carpenter number (KC). Moreover, changes in wave propagation direction significantly affect the extreme magnitudes of both horizontal and transverse forces, and simultaneously modify the transverse force orientation, while having minimal impact on the vertical force. Additionally, the forces increase with the ISW’s amplitude. For horizontal and transverse forces, a thinner upper fluid layer generates larger forces. Comparative analysis of experimental, numerical, and theoretical results indicates strong agreement between theoretical predictions and experimental and numerical outcomes.
2025, 39(4): 597 -607
doi: 10.1007/s13344-025-0043-4
[Abstract](1)
Abstract:
This study examines the coupling analysis between box roll motion response and free surface oscillation in a narrow gap, utilizing a two-box system comprising a small roll box and a large fixed box. The potential flow model reveals a two-peak variation in both roll motion response and free surface oscillation across incident wave frequencies. Free decay tests indicate that these frequencies correspond to the first and second resonant frequencies of the roll-fixed two-box system. Viscous fluid flow model simulations demonstrate a two-peak behavior in roll motion response, while free surface oscillation exhibits a single peak near the second resonant frequency. Repositioning the small roll box from upstream to downstream results in increased roll motion amplitude around the first resonant frequency. The roll-box with round edge profiles exhibits beating behavior in motion response, resulting in increased roll motion amplitude across a broad frequency range. Notably, wave energy at the first resonant frequency component remains undamped by round edge profiles.
2025, 39(4): 608 -620
doi: 10.1007/s13344-025-0045-2
[Abstract](1)
Abstract:
Enhancing the accuracy of real-time ship roll prediction is crucial for maritime safety and operational efficiency. To address the challenge of accurately predicting the ship roll status with nonlinear time-varying dynamic characteristics, a real-time ship roll prediction scheme is proposed on the basis of a data preprocessing strategy and a novel stochastic trainer-based feedforward neural network. The sliding data window serves as a ship time-varying dynamic observer to enhance model prediction stability. The variational mode decomposition method extracts effective information on ship roll motion and reduces the non-stationary characteristics of the series. The energy entropy method reconstructs the mode components into high-frequency, medium-frequency, and low-frequency series to reduce model complexity. An improved black widow optimization algorithm trainer-based feedforward neural network with enhanced local optimal avoidance predicts the high-frequency component, enabling accurate tracking of abrupt signals. Additionally, the deterministic algorithm trainer-based neural network, characterized by rapid processing speed, predicts the remaining two mode components. Thus, real-time ship roll forecasting can be achieved through the reconstruction of mode component prediction results. The feasibility and effectiveness of the proposed hybrid prediction scheme for ship roll motion are demonstrated through the measured data of a full-scale ship trial. The proposed prediction scheme achieves real-time ship roll prediction with superior prediction accuracy.
2025, 39(4): 621 -634
doi: 10.1007/s13344-025-0046-1
[Abstract](1)
Abstract:
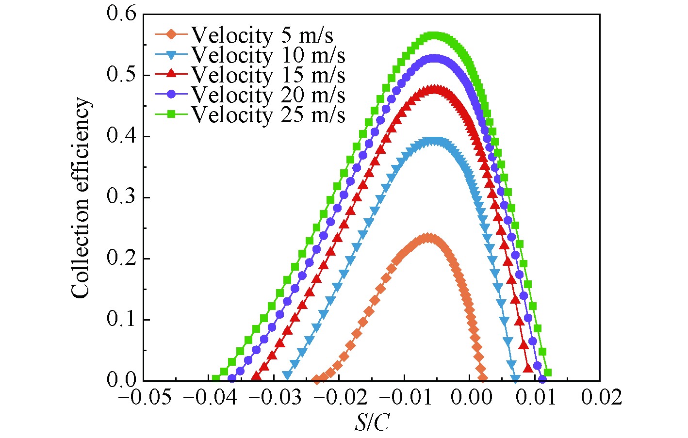
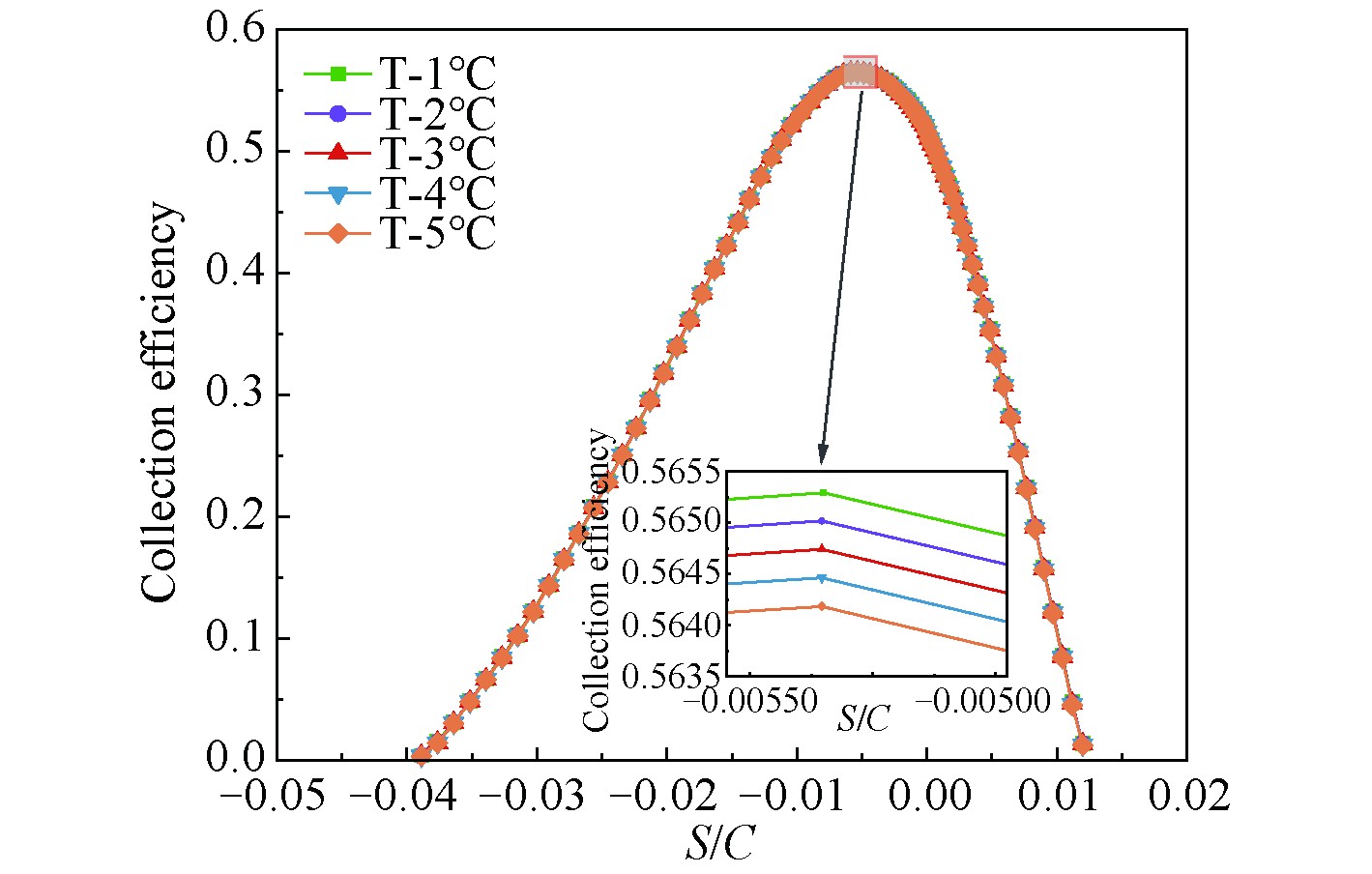
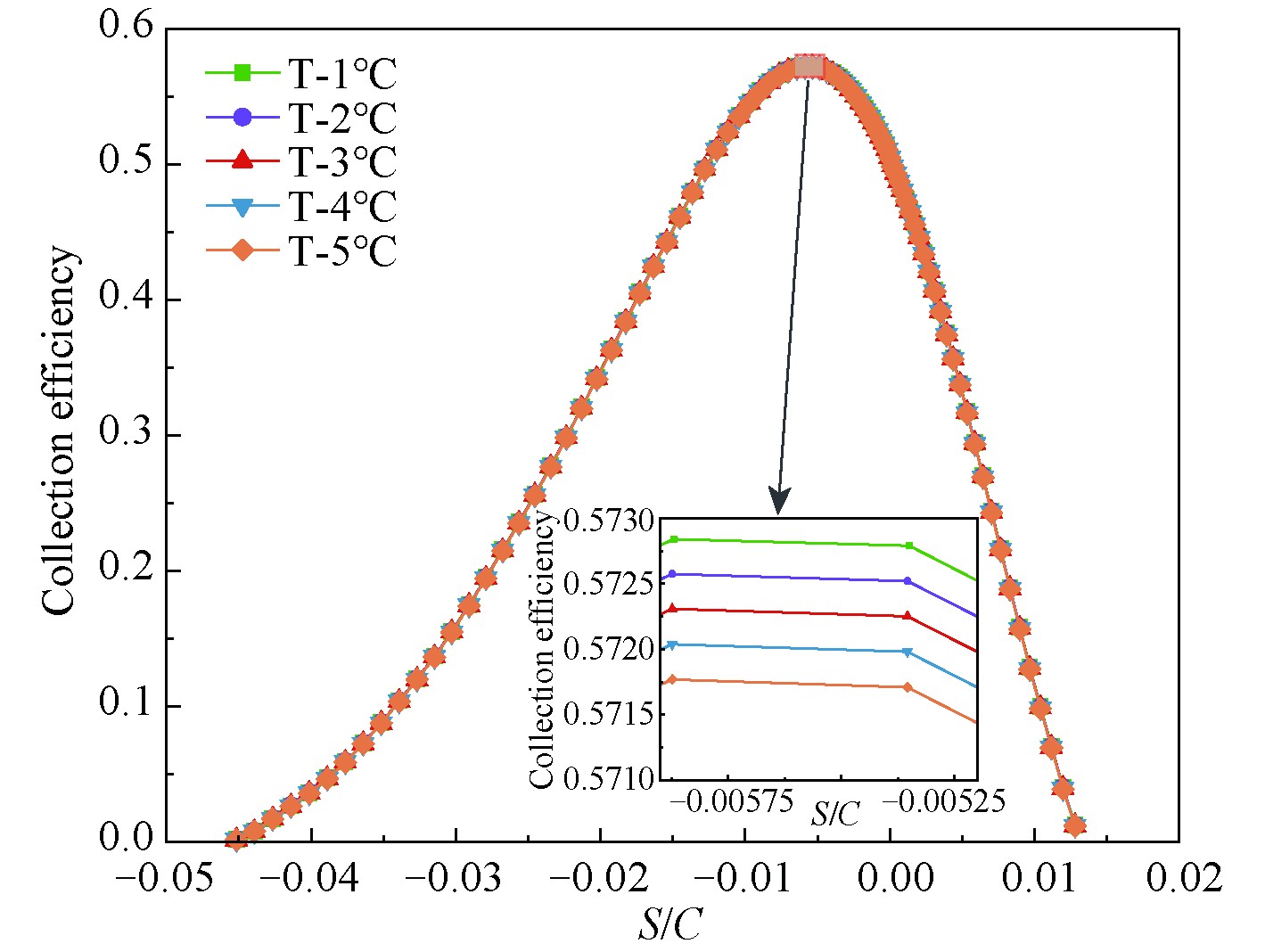
Wind turbine blades in cold regions are susceptible to icing due to meteorological conditions, significantly affecting the turbine’s energy capture efficiency and operational safety. Precise calculation of droplet collection efficiency (DCE) is essential for accurate icing prediction. This study examines existing methods for calculating DCE and identifies limitations during glaze ice formation. An enhanced method based on the Euler Wall Film (EWF) model is introduced to address these limitations, incorporating splashing and rebound phenomena during glaze ice formation on wind turbine blades. The method’s reliability is validated using data from the classic symmetric airfoil, NACA0012. Through the control variable method, this research examines DCE variations under different incoming velocities, medium volume droplet diameters (MVDs), and temperatures. The study also analyzes the distinctions between the improved method and the existing Eulerian method. Results indicate that both impact range and maximum DCE increase with higher incoming velocity and MVD, while temperature exhibits minimal influence on DCE. Variations between the calculation methods reveal differences in water droplet splashing intensity, primarily influenced by droplet kinetic energy and liquid film thickness. The splashing phenomenon gradually decreases as incoming velocity and MVD increase.
2025, 39(4): 635 -647
doi: 10.1007/s13344-025-0047-0
[Abstract](1)
Abstract:
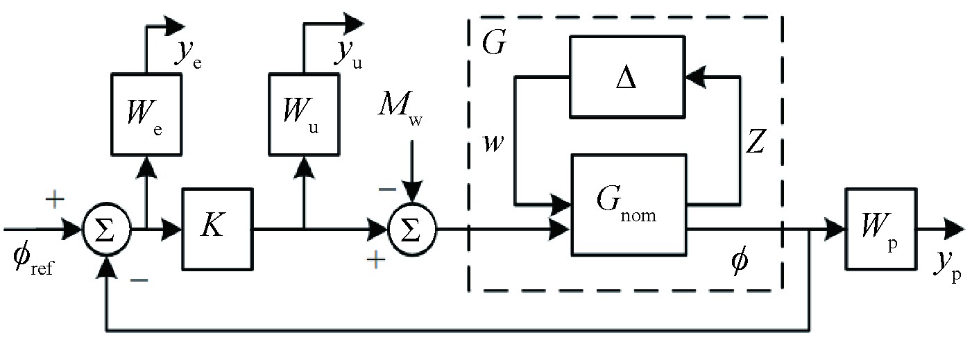
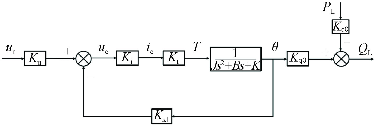
Ships experience rolling motion under the action of sea waves and may even face the risk of capsizing. Anti-rolling devices are designed to reduce this motion and enhance vessel safety. This is especially critical for engineering ships operating at sea under zero-speed conditions, where a stable posture is essential for efficient performance. Gyro stabilizers can suppress roll motion at zero speed; however, their high cost typically makes them unsuitable for large civilian vessels. Additionally, most existing anti-rolling devices rely on a certain water speed to function, which results in increased drag. In this study, an anti-rolling system incorporating swing control is proposed. Inspired by the human body’s ability to maintain balance by swinging arms during walking or running, the system generates an anti-rolling moment by oscillating a water tank. This approach operates independently of water speed and does not generate additional drag. The mechanical design of the anti-rolling system is introduced, and a corresponding control system model is derived. The swing-tank mechanism provides phase lead compensation and reduces the system’s sensitivity to wave disturbances. To enhance performance, robust control techniques are applied. Simulation results demonstrate that the proposed anti-rolling system delivers effective roll reduction for ships.
2025, 39(4): 648 -661
doi: 10.1007/s13344-025-0048-z
[Abstract](1)
Abstract:
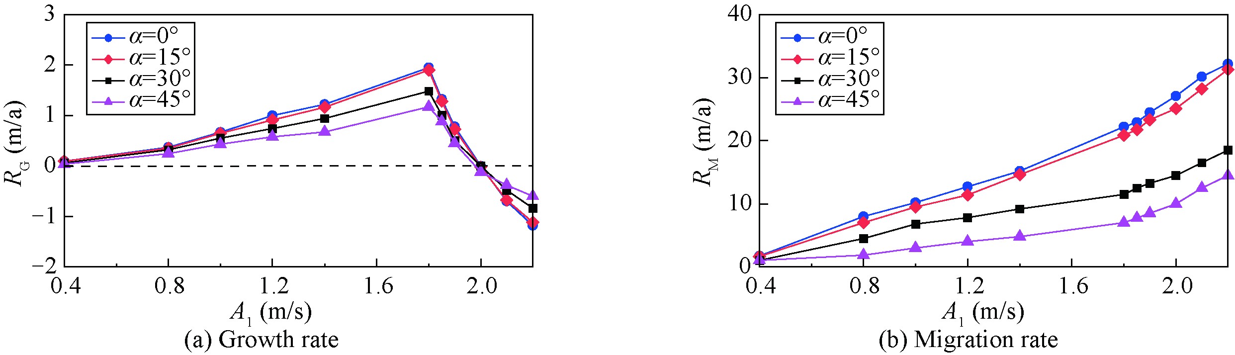
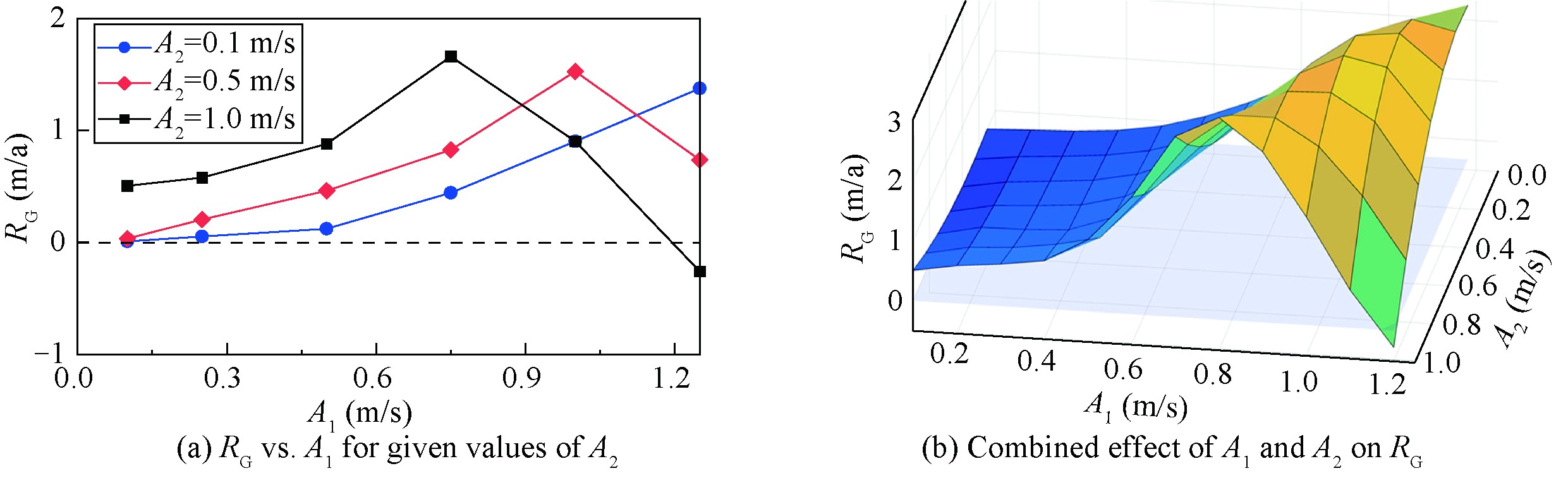
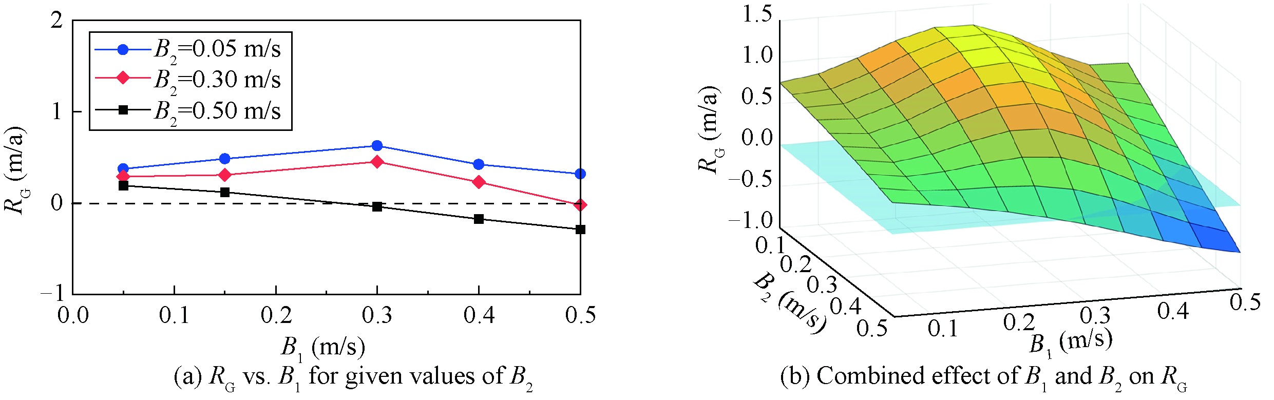
A three-dimensional numerical model of sand wave dynamics, incorporating the interaction of currents and waves at various angles, has been developed using the Regional Ocean Modeling System (ROMS). This model accounts for both bedload and suspended load sediment transport under combined waves and current conditions. The investigation examines the influence of several key parameters, including the rotation angle of sand waves relative to the main current, tidal current velocity amplitude, residual current, water depth, wave height, wave period, and wave direction, on sand wave evolution. The growth rate and migration rate of sand waves decrease as their rotation angle increases. For rotation angles smaller than 15°, sand wave evolution can be effectively simulated by a vertical 2D model with an error within 10%. The numerical results demonstrate that variations in tidal current velocity amplitude or residual current affect both vertical growth and horizontal migration of sand waves. As tidal current velocity amplitude and residual current increase, the growth rate initially rises to a maximum before decreasing. The migration rate shows a consistent increase with increasing tidal current amplitude and residual current. Under combined waves and current, both growth and migration rates decrease as water depth increases. With increasing wave height and period, the growth rate and migration rate initially rise to maximum values before declining, while showing a consistent increase with wave height and period. The change rate of sand waves reaches its maximum when wave propagation aligns parallel to tidal currents, and reaches its minimum when wave propagation is perpendicular to the currents. This phenomenon can be explained by the fluctuation of total bed shear stress relative to the angle of interaction between waves and current.
2025, 39(4): 662 -674
doi: 10.1007/s13344-025-0049-y
[Abstract](1)
Abstract:
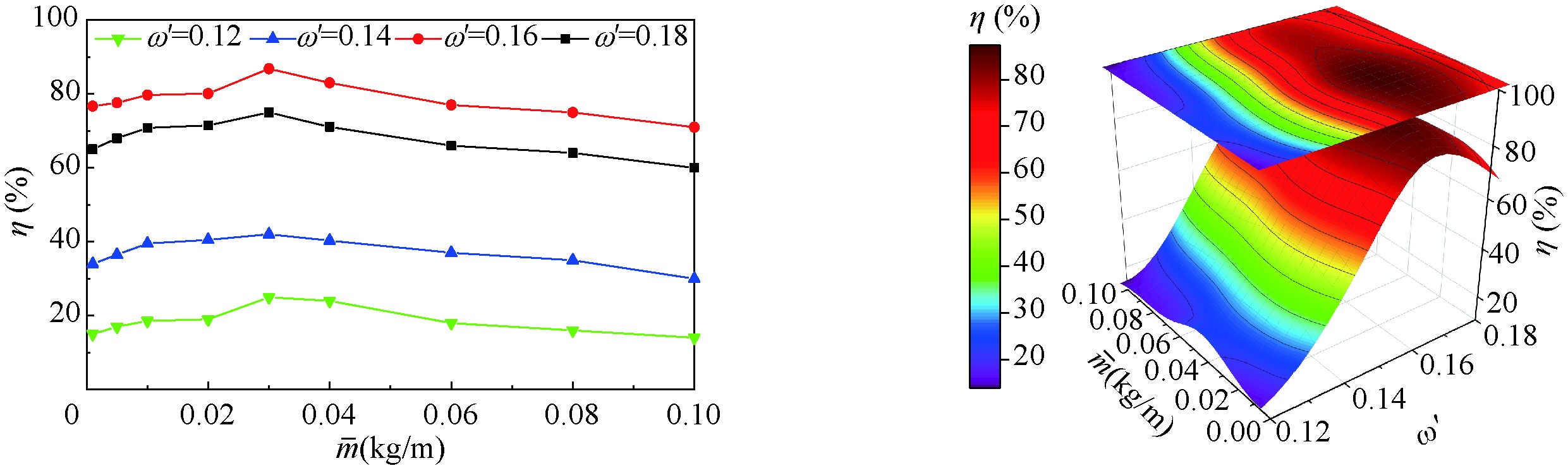
Utilizing computational fluid dynamics (CFD), this study analyzes the relative pitching motion amplitude and conversion efficiency of the parallelogram raft wave energy converter (R-WEC) under wave current conditions, examining the effects of power take-off (PTO) parameters, wave parameters, and flow velocity on R-WEC hydrodynamic performance. The research includes an analysis of a single point mooring system to determine optimal mooring conditions. Through comparative analysis of energy conversion efficiency across 10 single mooring modes and nine double-mooring modes, the study evaluates their impact on the R-WEC. Findings demonstrate that flow velocity adversely affects wave energy capture. Energy conversion efficiency exhibits an initial increase followed by a decrease as damping coefficient or wave frequency coefficient increases. An optimal anchor chain unit mass coefficient exists that maximizes R-WEC energy conversion efficiency. The dual mooring system demonstrates marginally enhanced energy conversion efficiency compared with single mooring, with specific impacts on R-wave energy converters (WECs) documented. These findings provide valuable reference data for R-WEC design optimization and operational strategies to enhance conversion efficiency.
2025, 39(4): 675 -686
doi: 10.1007/s13344-025-0050-5
[Abstract](1)
Abstract:
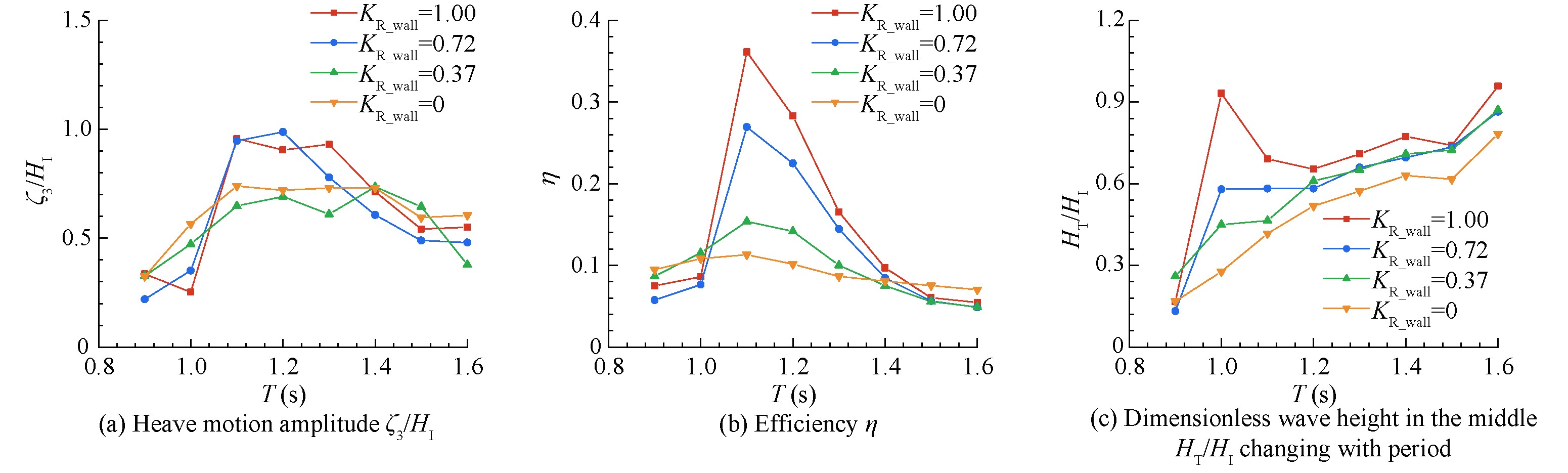
The power generation performance of a heaving body wave energy converter (HBWEC) can be enhanced through strategic deployment in proximity to natural or artificial coastal structures. In this study, coastal structures are represented by a partial reflection wall, enabling the device to harness additional reflected wave energy. However, the mechanisms by which the reflection coefficient and the clearance between the wall and the device affect energy conversion performance remain inadequately understood. This study experimentally investigates these effects. The findings demonstrate that the clearance impact on HBWEC power performance near partial reflection walls aligns with standing wave variation characteristics, with optimal positioning near the second antinode of the HBWEC’s heaving natural period. Enhanced reflection coefficients improve energy conversion efficiency within the wave spectrum around the device’s heaving natural period. Additionally, significant water sloshing observed within the clearance may diminish power performance, as verified through computational fluid dynamics (CFD) analysis. This phenomenon results from the multiplicative relationship of leeside clearance with 0.5λ (λ is the wavelength). These insights suggest that practical engineering implementation requires balanced consideration of reflection coefficient, clearance, sloshing phenomenon, and heaving restriction system, rather than individual parameter optimization.
2025, 39(4): 687 -697
doi: 10.1007/s13344-025-0051-4
[Abstract](1)
Abstract:
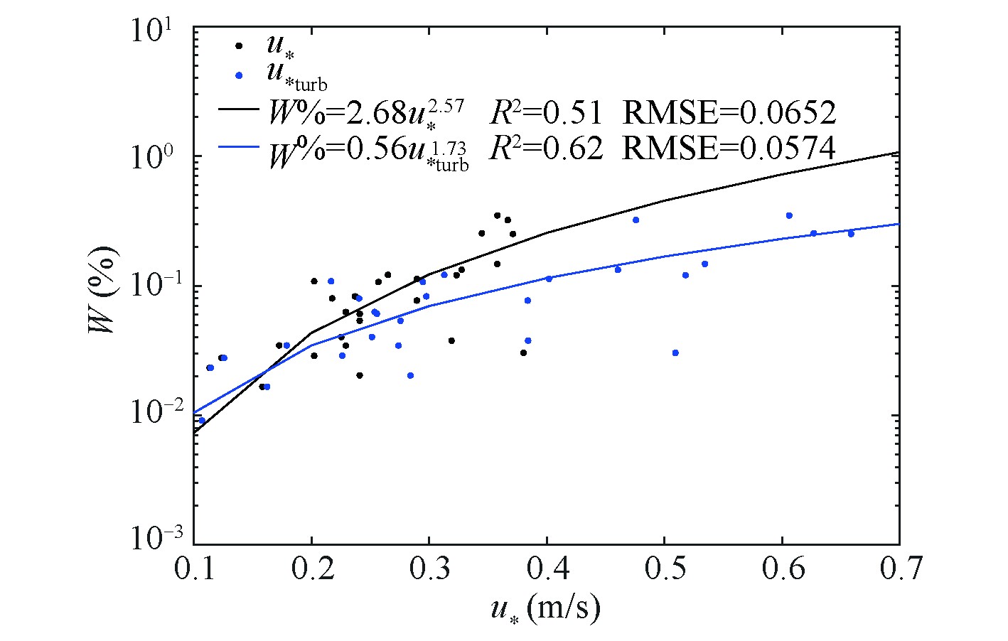
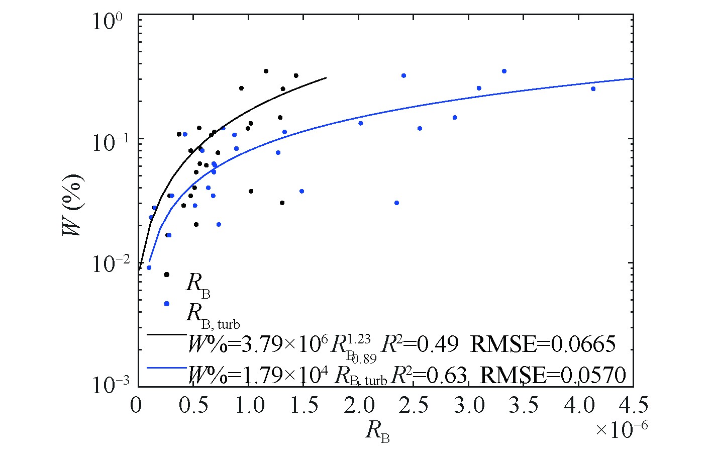
Research has shown considerable variability in whitecap coverage (W) under low to moderate wind conditions. During an expedition to the Northwestern Pacific, oceanographic variables and photographic measurements were collected to investigate the influence of wave-induced stress on W within these wind ranges. The friction velocity was recalculated based on turbulent stress, and wind profiles were modified to account for wave-induced stress and swell presence on the sea surface. The study examined W’s relationship with multiple parameters, including friction velocity (u*), breaking wave Reynolds numbers, wavesea Reynolds numbers, and wave age. The analysis utilized both conventional u* and turbulent stress-based friction velocity (u*turb). When utilizing u*turb rather than u*, the estimation model’s fitting results revealed an increase in correlation coefficient (R2) from 0.51 to 0.62, and a decrease in root mean square error (RMSE) from 0.0652 to 0.0574. Additionally, when parameterizing W using the windsea Reynolds number, with u*turb replacing u* and wind wave height substituting mixed wave height, the R2 increased from 0.38 to 0.53, and the RMSE decreased from 0.0737 to 0.0668. The results demonstrate that calculating u* using the turbulent stress-based method, along with wind wave height and peak wave speed of mixed waves, yields stronger correlation with W. This correlation improvement stems from the inhibition of wave breaking by swell and wave-induced stress. The integration of turbulent stress and wind wave field measurements enhances the understanding of relationships between W and various parameters. However, swell effects on wind profiles do not substantially affect W estimation using wind speed-related parameters.
2025, 39(4): 698 -707
doi: 10.1007/s13344-025-0052-3
[Abstract](1)
Abstract:
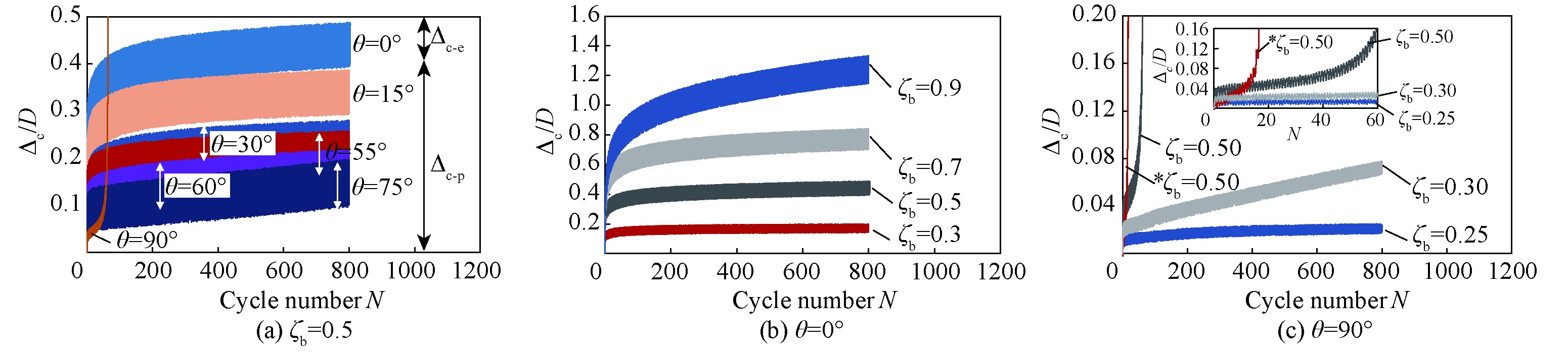
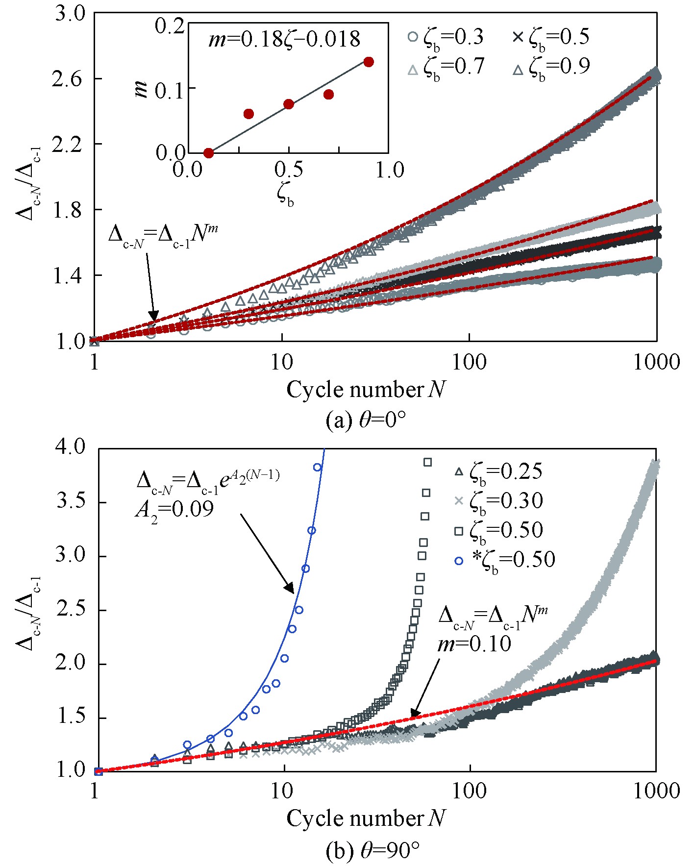
The behavior of rigid piles in sandy soils under one-way cyclic oblique tensile loading represents a critical design consideration for floating renewable devices. These piles, when moored with catenary or taut moorings, experience one-way cyclic tensile loads at inclinations ranging from 0° (horizontal) to 90° (vertical). However, the combined effects of cyclic loading and load inclination remain inadequately understood. This study presents findings from centrifuge tests conducted on rough rigid piles installed in dense sand samples. The results demonstrate that load inclinations significantly influence both cyclic response and ultimate capacity of the piles. Based on the observed cyclic response characteristics, the vertical cyclic load amplitude should not exceed 25% of the ultimate bearing capacity to maintain pile stability. A power expression (with exponent m values ranging from 0.055 to 0.065) is proposed for predicting cumulative pile displacement under unidirectional cyclic loading at inclinations from 0° to 60°. The cyclic response exhibits reduced sensitivity to horizontal cyclic load magnitude, with m-value increasing from 0.06 to 0.14 as load magnitude increases from 0.3 to 0.9. For piles maintaining stability under oblique cyclic loading, the average normalized secant stiffness exceeds 1 and increases with decreasing inclination, indicating enhanced pile stiffness under cyclic loading. For load inclinations below 30°, pile stiffness can be determined using logarithmic function.
2025, 39(4): 708 -717
doi: 10.1007/s13344-025-0053-2
[Abstract](0)
Abstract:
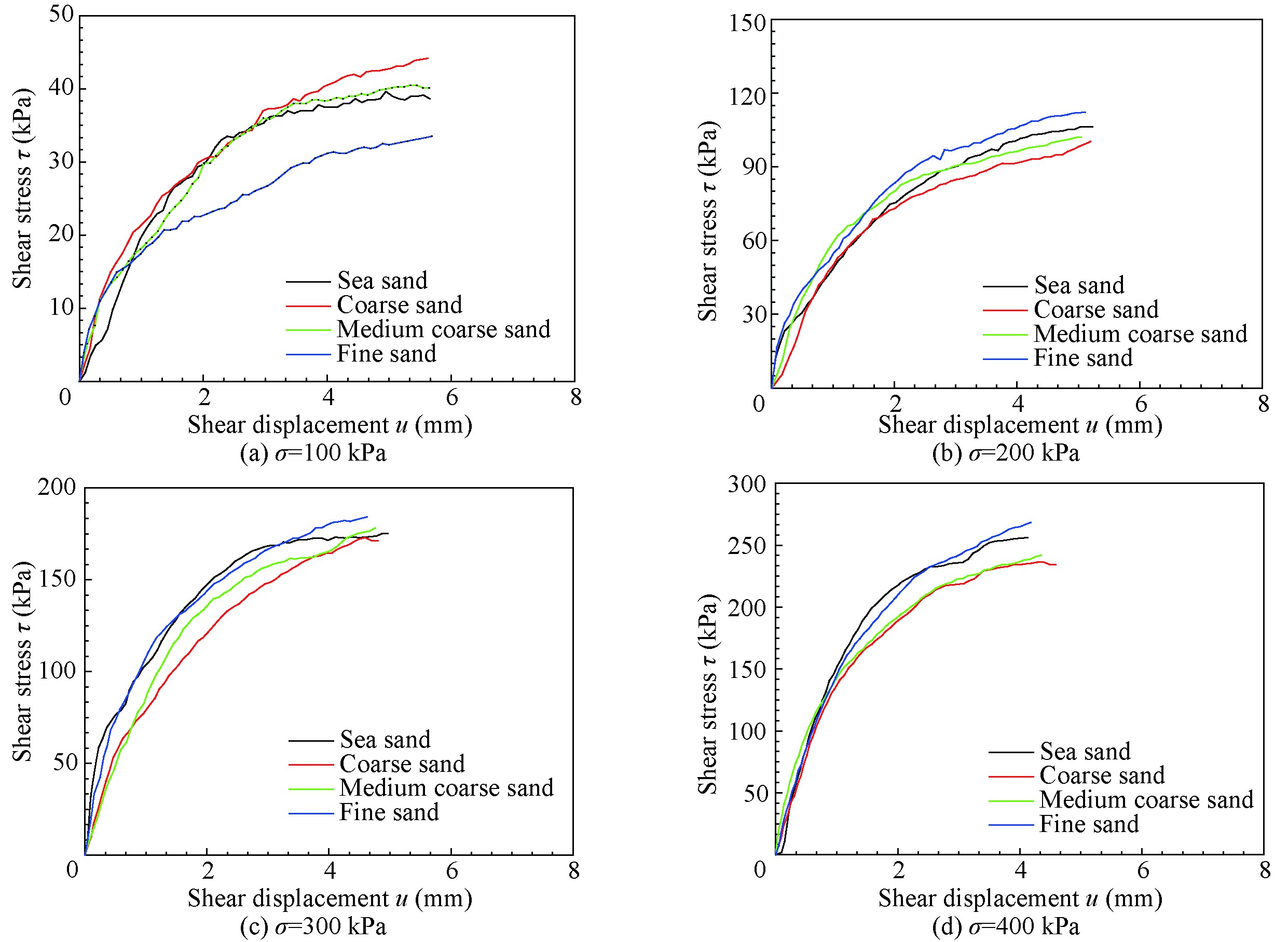
The scaled suction caisson represents an innovative design featuring a bio-inspired sidewall modeled after snakeskin, commonly utilized in offshore mooring platforms. In comparison with traditional suction caissons, this bio-inspired design demonstrates reduced penetration resistance and enhanced pull-out capacity due to the anisotropic shear behaviors of its sidewall. To investigate the shear behavior of the bio-inspired sidewall under pull-out load, direct shear tests were conducted between the bio-inspired surface and sand. The research demonstrates that the interface shear strength of the bio-inspired surface significantly surpasses that of the smooth surface due to interlocking effects. Additionally, the interface shear strength correlates with the aspect ratio of the bio-inspired surface, shear angle, and particle diameter distribution, with values increasing as the uniformity coefficient Cu decreases, while initially increasing and subsequently decreasing with increases in both aspect ratio and shear angle. The ratio between the interface friction angle δ and internal friction angle δs defines the interface effect factor k. For the bio-inspired surface, the interface effect factor k varies with shear angle β, ranging from 0.9 to 1.12. The peak value occurs at a shear angle β of 60°, substantially exceeding that of the smooth surface. A method for calculating the relative roughness RN is employed to evaluate the interface roughness of the bio-inspired surface, taking into account scale dimension and particle diameter distribution effects.
2025, 39(4): 718 -727
doi: 10.1007/s13344-025-0054-1
[Abstract](0)
Abstract:
This study introduces the lattice spring model (LSM) to investigate the incline angle of a non-uniform three-segment towed array under steady-state conditions. A numerical model was established, and parametric analysis was conducted to examine the effects of towing speed and cable density on the incline angle. The numerical simulations demonstrate that for a conventional three-segment towed array with heavy vibration-isolation cable and density exceeding that of seawater, the towing speed must exceed 4 kn to maintain the acoustic cable’s average incline angle below 10°. To validate the proposed LSM, a 100-meter-long towed array with variable densities was fabricated and tested through lake trials. The experimental results align closely with simulations, confirming LSM as a reliable model for predicting towed array position and posture. The study concludes by analyzing the parallel computing capabilities of LSM and its application in Fluid-Structure Interaction (FSI) problems. The model’s precision and parallel computing capabilities make LSM an efficient, reliable tool for analyzing the steady-state behavior of towed systems.
2025, 39(4): 728 -743
doi: 10.1007/s13344-025-0055-0
[Abstract](0)
Abstract:
Coralline soils, specialized materials found extensively in the South China Sea, are playing an increasingly vital role in engineering projects. However, like most terrigenous soils, fine-grained coral soil is prone to shrinkage and cracking, which can significantly affect its engineering properties and ultimately jeopardize engineering safety. This paper presents a desiccation cracking test of fine-grained coral soil, with a particular focus on the thickness effect. The study involved measuring the water content and recording the evolution of desiccation cracking. Advanced image processing technology is employed to analyze the variations in crack parameters, clod parameters, fractal dimensions, frequency distributions, and desiccation cracking propagation velocities of fine-grained coral soil. Furthermore, the dynamic evolution of desiccation cracking under the influence of layer thickness is analyzed. A comprehensive crack evolution model is proposed, encompassing both top-down and bottom-up crack propagation, as well as internal tensile cracking. This work introduces novel metrics for the propagation velocity of the total crack area, the characteristic propagation velocities of desiccation cracks, and the acceleration of crack propagation. Through data fitting, theoretical formulas for soil water evaporation, propagation velocities of desiccation cracks, and crack propagation acceleration are derived, laying a foundation for future soil cracking theories.
2025, 39(4): 744 -754
doi: 10.1007/s13344-025-0089-3
[Abstract](0)
Abstract:
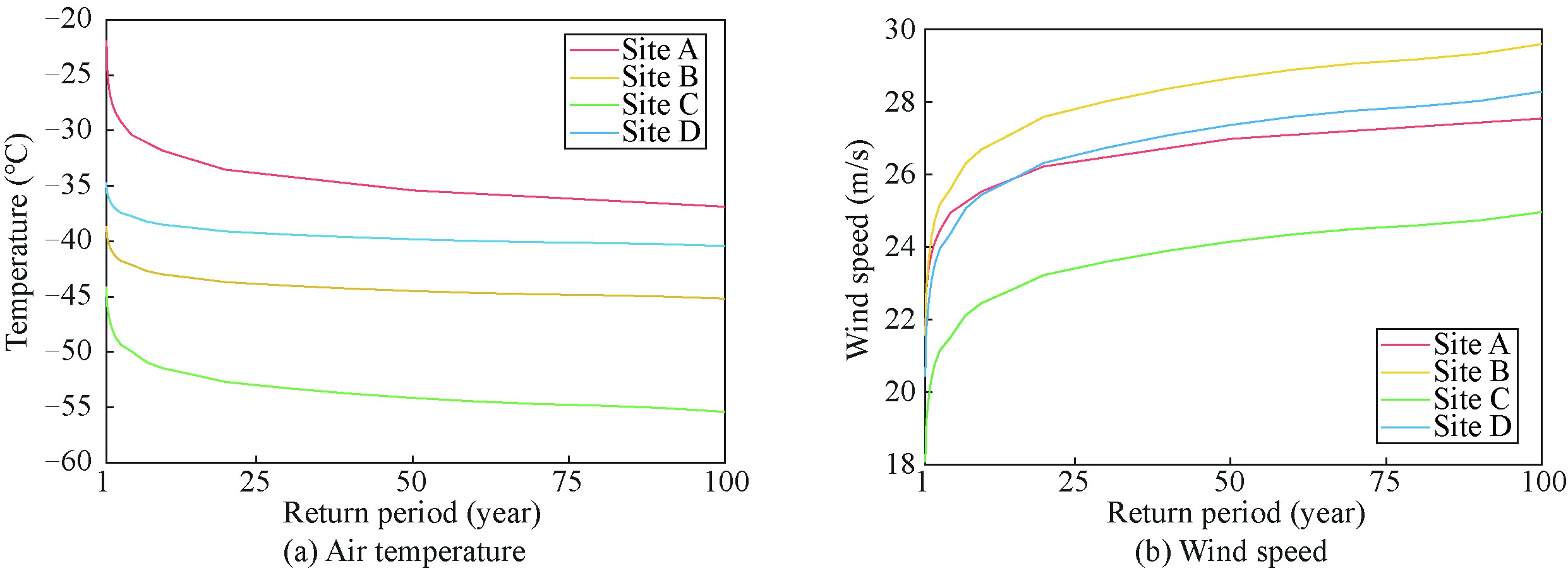
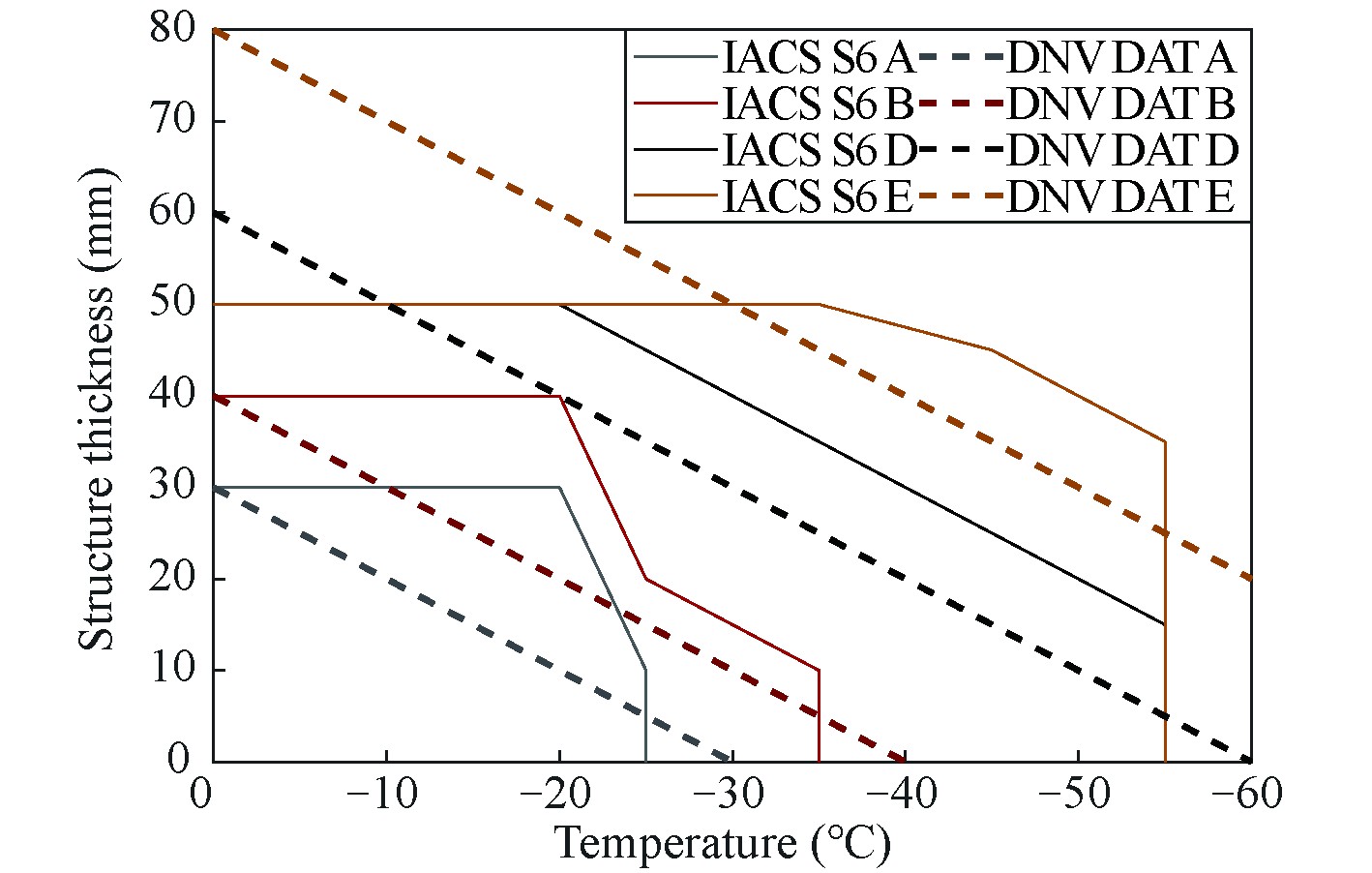
Due to global warming and diminishing ice cover in Arctic regions, the northern sea route (NSR) has attracted increasing attention in recent years. Extreme cold temperatures and high wind speeds in Arctic regions present substantial risks to vessels operating along the NSR. Consequently, analyzing extreme temperature and wind speed values along the NSR is essential for ensuring maritime operational safety in the region. This study analyzes wind and temperature data spanning 40 years, from 1981 to 2020, at four representative sites along the NSR for extreme value analysis. The average conditional exceedance rate (ACER) method and the Gumbel method are employed to estimate extreme wind speed and air temperature at these sites. Comparative analysis reveals that the ACER method provides higher accuracy and lower uncertainty in estimations. The predicted extreme wind speed for a 100-year return period is 30.36 m/s, with a minimum temperature of −56.66 °C, varying across the four sites. Furthermore, the study presents extreme values corresponding to each return period, providing temperature extremes as a basis for guiding steel thickness specifications. These findings provide valuable reference for designing polar vessels and offshore structures, contributing to enhanced engineering standards for Arctic conditions.
2025, 39(4): 755 -767
doi: 10.1007/s13344-025-0056-z
[Abstract](0)
Abstract:
Unlike traditional propeller-driven underwater vehicles, blended-wing-body underwater gliders (BWBUGs) achieve zigzag gliding through periodic adjustments of their net buoyancy, enhancing their cruising capabilities while minimizing energy consumption. However, enhancing gliding performance is challenging due to the complex system design and limited design experience. To address this challenge, this paper introduces a model-based, multidisciplinary system design optimization method for BWBUGs at the conceptual design stage. First, a model-based, multidisciplinary co-simulation design framework is established to evaluate both system-level and disciplinary indices of BWBUG performance. A data-driven, many-objective multidisciplinary optimization is subsequently employed to explore the design space, yielding 32 Pareto optimal solutions. Finally, a model-based physical system simulation, which represents the design with the largest hyper-volume contribution among the 32 final designs, is established. Its gliding performance, validated by component behavior, lays the groundwork for constructing the entire system’s digital prototype. In conclusion, this model-based, multidisciplinary design optimization method effectively generates design schemes for innovative underwater vehicles, facilitating the development of digital prototypes.
2025, 39(4): 768 -779
doi: 10.1007/s13344-025-0058-x
[Abstract](0)
Abstract:
Ship motion attitude is influenced by dynamic marine conditions, presenting significant challenges in developing effective prediction networks. Contemporary prediction networks demonstrate limitations in hidden feature extraction, long-term dependency maintenance, and frequency characteristic incorporation. This paper presents an enhanced model integrating the informer network with a Time Convolutional Network (TCN) and a Frequency-Enhanced Channel Attention Mechanism (FECAM). The model employs a TCN for multi-feature extraction and applies Dimension-Segment-Wise (DSW) embedding for comprehensive multi-dimensional sequence analysis. Furthermore, it incorporates discrete cosine transform within the FECAM module for thorough data frequency analysis. The model integrates these components with the informer model for multivariate prediction. This approach maintains the informer model’s capabilities in long-term multivariate prediction while enhancing feature extraction and local frequency information capture from ship motion attitude data, thus improving long-term multivariate prediction accuracy. Experimental results indicate that the proposed model outperforms traditional ship motion attitude prediction methods in forecasting future motion, reducing attitude prediction errors, and improving prediction accuracy.
2025, 39(4): 780 -790
doi: 10.1007/s13344-025-0059-9
[Abstract](0)
Abstract:
Polar ships face significant risks from ice accretion on decks, superstructures, and power systems. Ice formation on the power intake system particularly affects vessel stability and safety. While freshwater icing has been extensively researched, comprehensive multi-parameter studies on ice accretion for intake structures remain insufficient. This investigation examines the icing characteristics of the air shroud, a critical component of marine gas turbines, resulting from saltwater droplet freezing. The study utilized a custom-built cyclic ice wind tunnel, with flow field quality verified through Five-hole probe and Hot wire anemometer methods, and droplet field quality validated using Laser, Flowmeter, Ice blade, and Icing calibration grid techniques. The research analyzes ice distribution and thickness on the shroud under varying NaCl concentrations, considering temperature, liquid water content (LWC), and median volume diameter (MVD). The findings reveal that decreased salinity facilitates rime ice formation, resulting in rough ice texture. Temperature reduction, increased LWC, and larger MVD enhanced salinity’s influence on ice thickness. The shroud exhibits substantial radial ice accretion, with coverage extending to approximately 90%. These results establish a foundation for further investigation of saltwater icing mechanisms and pioneer icing research in marine gas turbine intake systems.
Display Method:
Display Method: |
2025, 39(4): 585 -596
doi: 10.1007/s13344-025-0042-5
[Abstract](1)
Abstract:
The internal solitary wave (ISW) represents a frequent and severe oceanic dynamic phenomenon observed in the South China Sea, exposing marine structures to sudden loads. This paper examines the prediction model of interaction loads between ISW and FPSO, accounting for varying attack angles and incorporating ISW theories. The research demonstrates that the horizontal and transverse forces on FPSO under internal solitary waves (ISWs) comprise wave pressure difference force and viscous force, while the vertical force primarily consists of vertical wave pressure difference force. The wave pressure difference force is determined using the Froude-Krylov equation. The viscous force is derived from the tangential particle velocity induced by ISW and the viscous coefficient. The viscous coefficient formula is obtained through regression analysis of experimental data with different ISW attack angles. The research reveals that the horizontal viscous coefficient Cvx decreases as Reynolds number (Re) increases, while the transverse viscous coefficient Cvy initially increases and subsequently decreases with the growth of the Keulegan-Carpenter number (KC). Moreover, changes in wave propagation direction significantly affect the extreme magnitudes of both horizontal and transverse forces, and simultaneously modify the transverse force orientation, while having minimal impact on the vertical force. Additionally, the forces increase with the ISW’s amplitude. For horizontal and transverse forces, a thinner upper fluid layer generates larger forces. Comparative analysis of experimental, numerical, and theoretical results indicates strong agreement between theoretical predictions and experimental and numerical outcomes.
The internal solitary wave (ISW) represents a frequent and severe oceanic dynamic phenomenon observed in the South China Sea, exposing marine structures to sudden loads. This paper examines the prediction model of interaction loads between ISW and FPSO, accounting for varying attack angles and incorporating ISW theories. The research demonstrates that the horizontal and transverse forces on FPSO under internal solitary waves (ISWs) comprise wave pressure difference force and viscous force, while the vertical force primarily consists of vertical wave pressure difference force. The wave pressure difference force is determined using the Froude-Krylov equation. The viscous force is derived from the tangential particle velocity induced by ISW and the viscous coefficient. The viscous coefficient formula is obtained through regression analysis of experimental data with different ISW attack angles. The research reveals that the horizontal viscous coefficient Cvx decreases as Reynolds number (Re) increases, while the transverse viscous coefficient Cvy initially increases and subsequently decreases with the growth of the Keulegan-Carpenter number (KC). Moreover, changes in wave propagation direction significantly affect the extreme magnitudes of both horizontal and transverse forces, and simultaneously modify the transverse force orientation, while having minimal impact on the vertical force. Additionally, the forces increase with the ISW’s amplitude. For horizontal and transverse forces, a thinner upper fluid layer generates larger forces. Comparative analysis of experimental, numerical, and theoretical results indicates strong agreement between theoretical predictions and experimental and numerical outcomes.
2025, 39(4): 597 -607
doi: 10.1007/s13344-025-0043-4
[Abstract](1)
Abstract:
This study examines the coupling analysis between box roll motion response and free surface oscillation in a narrow gap, utilizing a two-box system comprising a small roll box and a large fixed box. The potential flow model reveals a two-peak variation in both roll motion response and free surface oscillation across incident wave frequencies. Free decay tests indicate that these frequencies correspond to the first and second resonant frequencies of the roll-fixed two-box system. Viscous fluid flow model simulations demonstrate a two-peak behavior in roll motion response, while free surface oscillation exhibits a single peak near the second resonant frequency. Repositioning the small roll box from upstream to downstream results in increased roll motion amplitude around the first resonant frequency. The roll-box with round edge profiles exhibits beating behavior in motion response, resulting in increased roll motion amplitude across a broad frequency range. Notably, wave energy at the first resonant frequency component remains undamped by round edge profiles.
This study examines the coupling analysis between box roll motion response and free surface oscillation in a narrow gap, utilizing a two-box system comprising a small roll box and a large fixed box. The potential flow model reveals a two-peak variation in both roll motion response and free surface oscillation across incident wave frequencies. Free decay tests indicate that these frequencies correspond to the first and second resonant frequencies of the roll-fixed two-box system. Viscous fluid flow model simulations demonstrate a two-peak behavior in roll motion response, while free surface oscillation exhibits a single peak near the second resonant frequency. Repositioning the small roll box from upstream to downstream results in increased roll motion amplitude around the first resonant frequency. The roll-box with round edge profiles exhibits beating behavior in motion response, resulting in increased roll motion amplitude across a broad frequency range. Notably, wave energy at the first resonant frequency component remains undamped by round edge profiles.
2025, 39(4): 608 -620
doi: 10.1007/s13344-025-0045-2
[Abstract](1)
Abstract:
Enhancing the accuracy of real-time ship roll prediction is crucial for maritime safety and operational efficiency. To address the challenge of accurately predicting the ship roll status with nonlinear time-varying dynamic characteristics, a real-time ship roll prediction scheme is proposed on the basis of a data preprocessing strategy and a novel stochastic trainer-based feedforward neural network. The sliding data window serves as a ship time-varying dynamic observer to enhance model prediction stability. The variational mode decomposition method extracts effective information on ship roll motion and reduces the non-stationary characteristics of the series. The energy entropy method reconstructs the mode components into high-frequency, medium-frequency, and low-frequency series to reduce model complexity. An improved black widow optimization algorithm trainer-based feedforward neural network with enhanced local optimal avoidance predicts the high-frequency component, enabling accurate tracking of abrupt signals. Additionally, the deterministic algorithm trainer-based neural network, characterized by rapid processing speed, predicts the remaining two mode components. Thus, real-time ship roll forecasting can be achieved through the reconstruction of mode component prediction results. The feasibility and effectiveness of the proposed hybrid prediction scheme for ship roll motion are demonstrated through the measured data of a full-scale ship trial. The proposed prediction scheme achieves real-time ship roll prediction with superior prediction accuracy.
Enhancing the accuracy of real-time ship roll prediction is crucial for maritime safety and operational efficiency. To address the challenge of accurately predicting the ship roll status with nonlinear time-varying dynamic characteristics, a real-time ship roll prediction scheme is proposed on the basis of a data preprocessing strategy and a novel stochastic trainer-based feedforward neural network. The sliding data window serves as a ship time-varying dynamic observer to enhance model prediction stability. The variational mode decomposition method extracts effective information on ship roll motion and reduces the non-stationary characteristics of the series. The energy entropy method reconstructs the mode components into high-frequency, medium-frequency, and low-frequency series to reduce model complexity. An improved black widow optimization algorithm trainer-based feedforward neural network with enhanced local optimal avoidance predicts the high-frequency component, enabling accurate tracking of abrupt signals. Additionally, the deterministic algorithm trainer-based neural network, characterized by rapid processing speed, predicts the remaining two mode components. Thus, real-time ship roll forecasting can be achieved through the reconstruction of mode component prediction results. The feasibility and effectiveness of the proposed hybrid prediction scheme for ship roll motion are demonstrated through the measured data of a full-scale ship trial. The proposed prediction scheme achieves real-time ship roll prediction with superior prediction accuracy.
2025, 39(4): 621 -634
doi: 10.1007/s13344-025-0046-1
[Abstract](1)
Abstract:
Wind turbine blades in cold regions are susceptible to icing due to meteorological conditions, significantly affecting the turbine’s energy capture efficiency and operational safety. Precise calculation of droplet collection efficiency (DCE) is essential for accurate icing prediction. This study examines existing methods for calculating DCE and identifies limitations during glaze ice formation. An enhanced method based on the Euler Wall Film (EWF) model is introduced to address these limitations, incorporating splashing and rebound phenomena during glaze ice formation on wind turbine blades. The method’s reliability is validated using data from the classic symmetric airfoil, NACA0012. Through the control variable method, this research examines DCE variations under different incoming velocities, medium volume droplet diameters (MVDs), and temperatures. The study also analyzes the distinctions between the improved method and the existing Eulerian method. Results indicate that both impact range and maximum DCE increase with higher incoming velocity and MVD, while temperature exhibits minimal influence on DCE. Variations between the calculation methods reveal differences in water droplet splashing intensity, primarily influenced by droplet kinetic energy and liquid film thickness. The splashing phenomenon gradually decreases as incoming velocity and MVD increase.
Wind turbine blades in cold regions are susceptible to icing due to meteorological conditions, significantly affecting the turbine’s energy capture efficiency and operational safety. Precise calculation of droplet collection efficiency (DCE) is essential for accurate icing prediction. This study examines existing methods for calculating DCE and identifies limitations during glaze ice formation. An enhanced method based on the Euler Wall Film (EWF) model is introduced to address these limitations, incorporating splashing and rebound phenomena during glaze ice formation on wind turbine blades. The method’s reliability is validated using data from the classic symmetric airfoil, NACA0012. Through the control variable method, this research examines DCE variations under different incoming velocities, medium volume droplet diameters (MVDs), and temperatures. The study also analyzes the distinctions between the improved method and the existing Eulerian method. Results indicate that both impact range and maximum DCE increase with higher incoming velocity and MVD, while temperature exhibits minimal influence on DCE. Variations between the calculation methods reveal differences in water droplet splashing intensity, primarily influenced by droplet kinetic energy and liquid film thickness. The splashing phenomenon gradually decreases as incoming velocity and MVD increase.
2025, 39(4): 635 -647
doi: 10.1007/s13344-025-0047-0
[Abstract](1)
Abstract:
Ships experience rolling motion under the action of sea waves and may even face the risk of capsizing. Anti-rolling devices are designed to reduce this motion and enhance vessel safety. This is especially critical for engineering ships operating at sea under zero-speed conditions, where a stable posture is essential for efficient performance. Gyro stabilizers can suppress roll motion at zero speed; however, their high cost typically makes them unsuitable for large civilian vessels. Additionally, most existing anti-rolling devices rely on a certain water speed to function, which results in increased drag. In this study, an anti-rolling system incorporating swing control is proposed. Inspired by the human body’s ability to maintain balance by swinging arms during walking or running, the system generates an anti-rolling moment by oscillating a water tank. This approach operates independently of water speed and does not generate additional drag. The mechanical design of the anti-rolling system is introduced, and a corresponding control system model is derived. The swing-tank mechanism provides phase lead compensation and reduces the system’s sensitivity to wave disturbances. To enhance performance, robust control techniques are applied. Simulation results demonstrate that the proposed anti-rolling system delivers effective roll reduction for ships.
Ships experience rolling motion under the action of sea waves and may even face the risk of capsizing. Anti-rolling devices are designed to reduce this motion and enhance vessel safety. This is especially critical for engineering ships operating at sea under zero-speed conditions, where a stable posture is essential for efficient performance. Gyro stabilizers can suppress roll motion at zero speed; however, their high cost typically makes them unsuitable for large civilian vessels. Additionally, most existing anti-rolling devices rely on a certain water speed to function, which results in increased drag. In this study, an anti-rolling system incorporating swing control is proposed. Inspired by the human body’s ability to maintain balance by swinging arms during walking or running, the system generates an anti-rolling moment by oscillating a water tank. This approach operates independently of water speed and does not generate additional drag. The mechanical design of the anti-rolling system is introduced, and a corresponding control system model is derived. The swing-tank mechanism provides phase lead compensation and reduces the system’s sensitivity to wave disturbances. To enhance performance, robust control techniques are applied. Simulation results demonstrate that the proposed anti-rolling system delivers effective roll reduction for ships.
2025, 39(4): 648 -661
doi: 10.1007/s13344-025-0048-z
[Abstract](1)
Abstract:
A three-dimensional numerical model of sand wave dynamics, incorporating the interaction of currents and waves at various angles, has been developed using the Regional Ocean Modeling System (ROMS). This model accounts for both bedload and suspended load sediment transport under combined waves and current conditions. The investigation examines the influence of several key parameters, including the rotation angle of sand waves relative to the main current, tidal current velocity amplitude, residual current, water depth, wave height, wave period, and wave direction, on sand wave evolution. The growth rate and migration rate of sand waves decrease as their rotation angle increases. For rotation angles smaller than 15°, sand wave evolution can be effectively simulated by a vertical 2D model with an error within 10%. The numerical results demonstrate that variations in tidal current velocity amplitude or residual current affect both vertical growth and horizontal migration of sand waves. As tidal current velocity amplitude and residual current increase, the growth rate initially rises to a maximum before decreasing. The migration rate shows a consistent increase with increasing tidal current amplitude and residual current. Under combined waves and current, both growth and migration rates decrease as water depth increases. With increasing wave height and period, the growth rate and migration rate initially rise to maximum values before declining, while showing a consistent increase with wave height and period. The change rate of sand waves reaches its maximum when wave propagation aligns parallel to tidal currents, and reaches its minimum when wave propagation is perpendicular to the currents. This phenomenon can be explained by the fluctuation of total bed shear stress relative to the angle of interaction between waves and current.
A three-dimensional numerical model of sand wave dynamics, incorporating the interaction of currents and waves at various angles, has been developed using the Regional Ocean Modeling System (ROMS). This model accounts for both bedload and suspended load sediment transport under combined waves and current conditions. The investigation examines the influence of several key parameters, including the rotation angle of sand waves relative to the main current, tidal current velocity amplitude, residual current, water depth, wave height, wave period, and wave direction, on sand wave evolution. The growth rate and migration rate of sand waves decrease as their rotation angle increases. For rotation angles smaller than 15°, sand wave evolution can be effectively simulated by a vertical 2D model with an error within 10%. The numerical results demonstrate that variations in tidal current velocity amplitude or residual current affect both vertical growth and horizontal migration of sand waves. As tidal current velocity amplitude and residual current increase, the growth rate initially rises to a maximum before decreasing. The migration rate shows a consistent increase with increasing tidal current amplitude and residual current. Under combined waves and current, both growth and migration rates decrease as water depth increases. With increasing wave height and period, the growth rate and migration rate initially rise to maximum values before declining, while showing a consistent increase with wave height and period. The change rate of sand waves reaches its maximum when wave propagation aligns parallel to tidal currents, and reaches its minimum when wave propagation is perpendicular to the currents. This phenomenon can be explained by the fluctuation of total bed shear stress relative to the angle of interaction between waves and current.
2025, 39(4): 662 -674
doi: 10.1007/s13344-025-0049-y
[Abstract](1)
Abstract:
Utilizing computational fluid dynamics (CFD), this study analyzes the relative pitching motion amplitude and conversion efficiency of the parallelogram raft wave energy converter (R-WEC) under wave current conditions, examining the effects of power take-off (PTO) parameters, wave parameters, and flow velocity on R-WEC hydrodynamic performance. The research includes an analysis of a single point mooring system to determine optimal mooring conditions. Through comparative analysis of energy conversion efficiency across 10 single mooring modes and nine double-mooring modes, the study evaluates their impact on the R-WEC. Findings demonstrate that flow velocity adversely affects wave energy capture. Energy conversion efficiency exhibits an initial increase followed by a decrease as damping coefficient or wave frequency coefficient increases. An optimal anchor chain unit mass coefficient exists that maximizes R-WEC energy conversion efficiency. The dual mooring system demonstrates marginally enhanced energy conversion efficiency compared with single mooring, with specific impacts on R-wave energy converters (WECs) documented. These findings provide valuable reference data for R-WEC design optimization and operational strategies to enhance conversion efficiency.
Utilizing computational fluid dynamics (CFD), this study analyzes the relative pitching motion amplitude and conversion efficiency of the parallelogram raft wave energy converter (R-WEC) under wave current conditions, examining the effects of power take-off (PTO) parameters, wave parameters, and flow velocity on R-WEC hydrodynamic performance. The research includes an analysis of a single point mooring system to determine optimal mooring conditions. Through comparative analysis of energy conversion efficiency across 10 single mooring modes and nine double-mooring modes, the study evaluates their impact on the R-WEC. Findings demonstrate that flow velocity adversely affects wave energy capture. Energy conversion efficiency exhibits an initial increase followed by a decrease as damping coefficient or wave frequency coefficient increases. An optimal anchor chain unit mass coefficient exists that maximizes R-WEC energy conversion efficiency. The dual mooring system demonstrates marginally enhanced energy conversion efficiency compared with single mooring, with specific impacts on R-wave energy converters (WECs) documented. These findings provide valuable reference data for R-WEC design optimization and operational strategies to enhance conversion efficiency.
2025, 39(4): 675 -686
doi: 10.1007/s13344-025-0050-5
[Abstract](1)
Abstract:
The power generation performance of a heaving body wave energy converter (HBWEC) can be enhanced through strategic deployment in proximity to natural or artificial coastal structures. In this study, coastal structures are represented by a partial reflection wall, enabling the device to harness additional reflected wave energy. However, the mechanisms by which the reflection coefficient and the clearance between the wall and the device affect energy conversion performance remain inadequately understood. This study experimentally investigates these effects. The findings demonstrate that the clearance impact on HBWEC power performance near partial reflection walls aligns with standing wave variation characteristics, with optimal positioning near the second antinode of the HBWEC’s heaving natural period. Enhanced reflection coefficients improve energy conversion efficiency within the wave spectrum around the device’s heaving natural period. Additionally, significant water sloshing observed within the clearance may diminish power performance, as verified through computational fluid dynamics (CFD) analysis. This phenomenon results from the multiplicative relationship of leeside clearance with 0.5λ (λ is the wavelength). These insights suggest that practical engineering implementation requires balanced consideration of reflection coefficient, clearance, sloshing phenomenon, and heaving restriction system, rather than individual parameter optimization.
The power generation performance of a heaving body wave energy converter (HBWEC) can be enhanced through strategic deployment in proximity to natural or artificial coastal structures. In this study, coastal structures are represented by a partial reflection wall, enabling the device to harness additional reflected wave energy. However, the mechanisms by which the reflection coefficient and the clearance between the wall and the device affect energy conversion performance remain inadequately understood. This study experimentally investigates these effects. The findings demonstrate that the clearance impact on HBWEC power performance near partial reflection walls aligns with standing wave variation characteristics, with optimal positioning near the second antinode of the HBWEC’s heaving natural period. Enhanced reflection coefficients improve energy conversion efficiency within the wave spectrum around the device’s heaving natural period. Additionally, significant water sloshing observed within the clearance may diminish power performance, as verified through computational fluid dynamics (CFD) analysis. This phenomenon results from the multiplicative relationship of leeside clearance with 0.5λ (λ is the wavelength). These insights suggest that practical engineering implementation requires balanced consideration of reflection coefficient, clearance, sloshing phenomenon, and heaving restriction system, rather than individual parameter optimization.
2025, 39(4): 687 -697
doi: 10.1007/s13344-025-0051-4
[Abstract](1)
Abstract:
Research has shown considerable variability in whitecap coverage (W) under low to moderate wind conditions. During an expedition to the Northwestern Pacific, oceanographic variables and photographic measurements were collected to investigate the influence of wave-induced stress on W within these wind ranges. The friction velocity was recalculated based on turbulent stress, and wind profiles were modified to account for wave-induced stress and swell presence on the sea surface. The study examined W’s relationship with multiple parameters, including friction velocity (u*), breaking wave Reynolds numbers, wavesea Reynolds numbers, and wave age. The analysis utilized both conventional u* and turbulent stress-based friction velocity (u*turb). When utilizing u*turb rather than u*, the estimation model’s fitting results revealed an increase in correlation coefficient (R2) from 0.51 to 0.62, and a decrease in root mean square error (RMSE) from 0.0652 to 0.0574. Additionally, when parameterizing W using the windsea Reynolds number, with u*turb replacing u* and wind wave height substituting mixed wave height, the R2 increased from 0.38 to 0.53, and the RMSE decreased from 0.0737 to 0.0668. The results demonstrate that calculating u* using the turbulent stress-based method, along with wind wave height and peak wave speed of mixed waves, yields stronger correlation with W. This correlation improvement stems from the inhibition of wave breaking by swell and wave-induced stress. The integration of turbulent stress and wind wave field measurements enhances the understanding of relationships between W and various parameters. However, swell effects on wind profiles do not substantially affect W estimation using wind speed-related parameters.
Research has shown considerable variability in whitecap coverage (W) under low to moderate wind conditions. During an expedition to the Northwestern Pacific, oceanographic variables and photographic measurements were collected to investigate the influence of wave-induced stress on W within these wind ranges. The friction velocity was recalculated based on turbulent stress, and wind profiles were modified to account for wave-induced stress and swell presence on the sea surface. The study examined W’s relationship with multiple parameters, including friction velocity (u*), breaking wave Reynolds numbers, wavesea Reynolds numbers, and wave age. The analysis utilized both conventional u* and turbulent stress-based friction velocity (u*turb). When utilizing u*turb rather than u*, the estimation model’s fitting results revealed an increase in correlation coefficient (R2) from 0.51 to 0.62, and a decrease in root mean square error (RMSE) from 0.0652 to 0.0574. Additionally, when parameterizing W using the windsea Reynolds number, with u*turb replacing u* and wind wave height substituting mixed wave height, the R2 increased from 0.38 to 0.53, and the RMSE decreased from 0.0737 to 0.0668. The results demonstrate that calculating u* using the turbulent stress-based method, along with wind wave height and peak wave speed of mixed waves, yields stronger correlation with W. This correlation improvement stems from the inhibition of wave breaking by swell and wave-induced stress. The integration of turbulent stress and wind wave field measurements enhances the understanding of relationships between W and various parameters. However, swell effects on wind profiles do not substantially affect W estimation using wind speed-related parameters.
2025, 39(4): 698 -707
doi: 10.1007/s13344-025-0052-3
[Abstract](1)
Abstract:
The behavior of rigid piles in sandy soils under one-way cyclic oblique tensile loading represents a critical design consideration for floating renewable devices. These piles, when moored with catenary or taut moorings, experience one-way cyclic tensile loads at inclinations ranging from 0° (horizontal) to 90° (vertical). However, the combined effects of cyclic loading and load inclination remain inadequately understood. This study presents findings from centrifuge tests conducted on rough rigid piles installed in dense sand samples. The results demonstrate that load inclinations significantly influence both cyclic response and ultimate capacity of the piles. Based on the observed cyclic response characteristics, the vertical cyclic load amplitude should not exceed 25% of the ultimate bearing capacity to maintain pile stability. A power expression (with exponent m values ranging from 0.055 to 0.065) is proposed for predicting cumulative pile displacement under unidirectional cyclic loading at inclinations from 0° to 60°. The cyclic response exhibits reduced sensitivity to horizontal cyclic load magnitude, with m-value increasing from 0.06 to 0.14 as load magnitude increases from 0.3 to 0.9. For piles maintaining stability under oblique cyclic loading, the average normalized secant stiffness exceeds 1 and increases with decreasing inclination, indicating enhanced pile stiffness under cyclic loading. For load inclinations below 30°, pile stiffness can be determined using logarithmic function.
The behavior of rigid piles in sandy soils under one-way cyclic oblique tensile loading represents a critical design consideration for floating renewable devices. These piles, when moored with catenary or taut moorings, experience one-way cyclic tensile loads at inclinations ranging from 0° (horizontal) to 90° (vertical). However, the combined effects of cyclic loading and load inclination remain inadequately understood. This study presents findings from centrifuge tests conducted on rough rigid piles installed in dense sand samples. The results demonstrate that load inclinations significantly influence both cyclic response and ultimate capacity of the piles. Based on the observed cyclic response characteristics, the vertical cyclic load amplitude should not exceed 25% of the ultimate bearing capacity to maintain pile stability. A power expression (with exponent m values ranging from 0.055 to 0.065) is proposed for predicting cumulative pile displacement under unidirectional cyclic loading at inclinations from 0° to 60°. The cyclic response exhibits reduced sensitivity to horizontal cyclic load magnitude, with m-value increasing from 0.06 to 0.14 as load magnitude increases from 0.3 to 0.9. For piles maintaining stability under oblique cyclic loading, the average normalized secant stiffness exceeds 1 and increases with decreasing inclination, indicating enhanced pile stiffness under cyclic loading. For load inclinations below 30°, pile stiffness can be determined using logarithmic function.
2025, 39(4): 708 -717
doi: 10.1007/s13344-025-0053-2
[Abstract](0)
Abstract:
The scaled suction caisson represents an innovative design featuring a bio-inspired sidewall modeled after snakeskin, commonly utilized in offshore mooring platforms. In comparison with traditional suction caissons, this bio-inspired design demonstrates reduced penetration resistance and enhanced pull-out capacity due to the anisotropic shear behaviors of its sidewall. To investigate the shear behavior of the bio-inspired sidewall under pull-out load, direct shear tests were conducted between the bio-inspired surface and sand. The research demonstrates that the interface shear strength of the bio-inspired surface significantly surpasses that of the smooth surface due to interlocking effects. Additionally, the interface shear strength correlates with the aspect ratio of the bio-inspired surface, shear angle, and particle diameter distribution, with values increasing as the uniformity coefficient Cu decreases, while initially increasing and subsequently decreasing with increases in both aspect ratio and shear angle. The ratio between the interface friction angle δ and internal friction angle δs defines the interface effect factor k. For the bio-inspired surface, the interface effect factor k varies with shear angle β, ranging from 0.9 to 1.12. The peak value occurs at a shear angle β of 60°, substantially exceeding that of the smooth surface. A method for calculating the relative roughness RN is employed to evaluate the interface roughness of the bio-inspired surface, taking into account scale dimension and particle diameter distribution effects.
The scaled suction caisson represents an innovative design featuring a bio-inspired sidewall modeled after snakeskin, commonly utilized in offshore mooring platforms. In comparison with traditional suction caissons, this bio-inspired design demonstrates reduced penetration resistance and enhanced pull-out capacity due to the anisotropic shear behaviors of its sidewall. To investigate the shear behavior of the bio-inspired sidewall under pull-out load, direct shear tests were conducted between the bio-inspired surface and sand. The research demonstrates that the interface shear strength of the bio-inspired surface significantly surpasses that of the smooth surface due to interlocking effects. Additionally, the interface shear strength correlates with the aspect ratio of the bio-inspired surface, shear angle, and particle diameter distribution, with values increasing as the uniformity coefficient Cu decreases, while initially increasing and subsequently decreasing with increases in both aspect ratio and shear angle. The ratio between the interface friction angle δ and internal friction angle δs defines the interface effect factor k. For the bio-inspired surface, the interface effect factor k varies with shear angle β, ranging from 0.9 to 1.12. The peak value occurs at a shear angle β of 60°, substantially exceeding that of the smooth surface. A method for calculating the relative roughness RN is employed to evaluate the interface roughness of the bio-inspired surface, taking into account scale dimension and particle diameter distribution effects.
2025, 39(4): 718 -727
doi: 10.1007/s13344-025-0054-1
[Abstract](0)
Abstract:
This study introduces the lattice spring model (LSM) to investigate the incline angle of a non-uniform three-segment towed array under steady-state conditions. A numerical model was established, and parametric analysis was conducted to examine the effects of towing speed and cable density on the incline angle. The numerical simulations demonstrate that for a conventional three-segment towed array with heavy vibration-isolation cable and density exceeding that of seawater, the towing speed must exceed 4 kn to maintain the acoustic cable’s average incline angle below 10°. To validate the proposed LSM, a 100-meter-long towed array with variable densities was fabricated and tested through lake trials. The experimental results align closely with simulations, confirming LSM as a reliable model for predicting towed array position and posture. The study concludes by analyzing the parallel computing capabilities of LSM and its application in Fluid-Structure Interaction (FSI) problems. The model’s precision and parallel computing capabilities make LSM an efficient, reliable tool for analyzing the steady-state behavior of towed systems.
This study introduces the lattice spring model (LSM) to investigate the incline angle of a non-uniform three-segment towed array under steady-state conditions. A numerical model was established, and parametric analysis was conducted to examine the effects of towing speed and cable density on the incline angle. The numerical simulations demonstrate that for a conventional three-segment towed array with heavy vibration-isolation cable and density exceeding that of seawater, the towing speed must exceed 4 kn to maintain the acoustic cable’s average incline angle below 10°. To validate the proposed LSM, a 100-meter-long towed array with variable densities was fabricated and tested through lake trials. The experimental results align closely with simulations, confirming LSM as a reliable model for predicting towed array position and posture. The study concludes by analyzing the parallel computing capabilities of LSM and its application in Fluid-Structure Interaction (FSI) problems. The model’s precision and parallel computing capabilities make LSM an efficient, reliable tool for analyzing the steady-state behavior of towed systems.
2025, 39(4): 728 -743
doi: 10.1007/s13344-025-0055-0
[Abstract](0)
Abstract:
Coralline soils, specialized materials found extensively in the South China Sea, are playing an increasingly vital role in engineering projects. However, like most terrigenous soils, fine-grained coral soil is prone to shrinkage and cracking, which can significantly affect its engineering properties and ultimately jeopardize engineering safety. This paper presents a desiccation cracking test of fine-grained coral soil, with a particular focus on the thickness effect. The study involved measuring the water content and recording the evolution of desiccation cracking. Advanced image processing technology is employed to analyze the variations in crack parameters, clod parameters, fractal dimensions, frequency distributions, and desiccation cracking propagation velocities of fine-grained coral soil. Furthermore, the dynamic evolution of desiccation cracking under the influence of layer thickness is analyzed. A comprehensive crack evolution model is proposed, encompassing both top-down and bottom-up crack propagation, as well as internal tensile cracking. This work introduces novel metrics for the propagation velocity of the total crack area, the characteristic propagation velocities of desiccation cracks, and the acceleration of crack propagation. Through data fitting, theoretical formulas for soil water evaporation, propagation velocities of desiccation cracks, and crack propagation acceleration are derived, laying a foundation for future soil cracking theories.
Coralline soils, specialized materials found extensively in the South China Sea, are playing an increasingly vital role in engineering projects. However, like most terrigenous soils, fine-grained coral soil is prone to shrinkage and cracking, which can significantly affect its engineering properties and ultimately jeopardize engineering safety. This paper presents a desiccation cracking test of fine-grained coral soil, with a particular focus on the thickness effect. The study involved measuring the water content and recording the evolution of desiccation cracking. Advanced image processing technology is employed to analyze the variations in crack parameters, clod parameters, fractal dimensions, frequency distributions, and desiccation cracking propagation velocities of fine-grained coral soil. Furthermore, the dynamic evolution of desiccation cracking under the influence of layer thickness is analyzed. A comprehensive crack evolution model is proposed, encompassing both top-down and bottom-up crack propagation, as well as internal tensile cracking. This work introduces novel metrics for the propagation velocity of the total crack area, the characteristic propagation velocities of desiccation cracks, and the acceleration of crack propagation. Through data fitting, theoretical formulas for soil water evaporation, propagation velocities of desiccation cracks, and crack propagation acceleration are derived, laying a foundation for future soil cracking theories.
2025, 39(4): 744 -754
doi: 10.1007/s13344-025-0089-3
[Abstract](0)
Abstract:
Due to global warming and diminishing ice cover in Arctic regions, the northern sea route (NSR) has attracted increasing attention in recent years. Extreme cold temperatures and high wind speeds in Arctic regions present substantial risks to vessels operating along the NSR. Consequently, analyzing extreme temperature and wind speed values along the NSR is essential for ensuring maritime operational safety in the region. This study analyzes wind and temperature data spanning 40 years, from 1981 to 2020, at four representative sites along the NSR for extreme value analysis. The average conditional exceedance rate (ACER) method and the Gumbel method are employed to estimate extreme wind speed and air temperature at these sites. Comparative analysis reveals that the ACER method provides higher accuracy and lower uncertainty in estimations. The predicted extreme wind speed for a 100-year return period is 30.36 m/s, with a minimum temperature of −56.66 °C, varying across the four sites. Furthermore, the study presents extreme values corresponding to each return period, providing temperature extremes as a basis for guiding steel thickness specifications. These findings provide valuable reference for designing polar vessels and offshore structures, contributing to enhanced engineering standards for Arctic conditions.
Due to global warming and diminishing ice cover in Arctic regions, the northern sea route (NSR) has attracted increasing attention in recent years. Extreme cold temperatures and high wind speeds in Arctic regions present substantial risks to vessels operating along the NSR. Consequently, analyzing extreme temperature and wind speed values along the NSR is essential for ensuring maritime operational safety in the region. This study analyzes wind and temperature data spanning 40 years, from 1981 to 2020, at four representative sites along the NSR for extreme value analysis. The average conditional exceedance rate (ACER) method and the Gumbel method are employed to estimate extreme wind speed and air temperature at these sites. Comparative analysis reveals that the ACER method provides higher accuracy and lower uncertainty in estimations. The predicted extreme wind speed for a 100-year return period is 30.36 m/s, with a minimum temperature of −56.66 °C, varying across the four sites. Furthermore, the study presents extreme values corresponding to each return period, providing temperature extremes as a basis for guiding steel thickness specifications. These findings provide valuable reference for designing polar vessels and offshore structures, contributing to enhanced engineering standards for Arctic conditions.
2025, 39(4): 755 -767
doi: 10.1007/s13344-025-0056-z
[Abstract](0)
Abstract:
Unlike traditional propeller-driven underwater vehicles, blended-wing-body underwater gliders (BWBUGs) achieve zigzag gliding through periodic adjustments of their net buoyancy, enhancing their cruising capabilities while minimizing energy consumption. However, enhancing gliding performance is challenging due to the complex system design and limited design experience. To address this challenge, this paper introduces a model-based, multidisciplinary system design optimization method for BWBUGs at the conceptual design stage. First, a model-based, multidisciplinary co-simulation design framework is established to evaluate both system-level and disciplinary indices of BWBUG performance. A data-driven, many-objective multidisciplinary optimization is subsequently employed to explore the design space, yielding 32 Pareto optimal solutions. Finally, a model-based physical system simulation, which represents the design with the largest hyper-volume contribution among the 32 final designs, is established. Its gliding performance, validated by component behavior, lays the groundwork for constructing the entire system’s digital prototype. In conclusion, this model-based, multidisciplinary design optimization method effectively generates design schemes for innovative underwater vehicles, facilitating the development of digital prototypes.
Unlike traditional propeller-driven underwater vehicles, blended-wing-body underwater gliders (BWBUGs) achieve zigzag gliding through periodic adjustments of their net buoyancy, enhancing their cruising capabilities while minimizing energy consumption. However, enhancing gliding performance is challenging due to the complex system design and limited design experience. To address this challenge, this paper introduces a model-based, multidisciplinary system design optimization method for BWBUGs at the conceptual design stage. First, a model-based, multidisciplinary co-simulation design framework is established to evaluate both system-level and disciplinary indices of BWBUG performance. A data-driven, many-objective multidisciplinary optimization is subsequently employed to explore the design space, yielding 32 Pareto optimal solutions. Finally, a model-based physical system simulation, which represents the design with the largest hyper-volume contribution among the 32 final designs, is established. Its gliding performance, validated by component behavior, lays the groundwork for constructing the entire system’s digital prototype. In conclusion, this model-based, multidisciplinary design optimization method effectively generates design schemes for innovative underwater vehicles, facilitating the development of digital prototypes.
2025, 39(4): 768 -779
doi: 10.1007/s13344-025-0058-x
[Abstract](0)
Abstract:
Ship motion attitude is influenced by dynamic marine conditions, presenting significant challenges in developing effective prediction networks. Contemporary prediction networks demonstrate limitations in hidden feature extraction, long-term dependency maintenance, and frequency characteristic incorporation. This paper presents an enhanced model integrating the informer network with a Time Convolutional Network (TCN) and a Frequency-Enhanced Channel Attention Mechanism (FECAM). The model employs a TCN for multi-feature extraction and applies Dimension-Segment-Wise (DSW) embedding for comprehensive multi-dimensional sequence analysis. Furthermore, it incorporates discrete cosine transform within the FECAM module for thorough data frequency analysis. The model integrates these components with the informer model for multivariate prediction. This approach maintains the informer model’s capabilities in long-term multivariate prediction while enhancing feature extraction and local frequency information capture from ship motion attitude data, thus improving long-term multivariate prediction accuracy. Experimental results indicate that the proposed model outperforms traditional ship motion attitude prediction methods in forecasting future motion, reducing attitude prediction errors, and improving prediction accuracy.
Ship motion attitude is influenced by dynamic marine conditions, presenting significant challenges in developing effective prediction networks. Contemporary prediction networks demonstrate limitations in hidden feature extraction, long-term dependency maintenance, and frequency characteristic incorporation. This paper presents an enhanced model integrating the informer network with a Time Convolutional Network (TCN) and a Frequency-Enhanced Channel Attention Mechanism (FECAM). The model employs a TCN for multi-feature extraction and applies Dimension-Segment-Wise (DSW) embedding for comprehensive multi-dimensional sequence analysis. Furthermore, it incorporates discrete cosine transform within the FECAM module for thorough data frequency analysis. The model integrates these components with the informer model for multivariate prediction. This approach maintains the informer model’s capabilities in long-term multivariate prediction while enhancing feature extraction and local frequency information capture from ship motion attitude data, thus improving long-term multivariate prediction accuracy. Experimental results indicate that the proposed model outperforms traditional ship motion attitude prediction methods in forecasting future motion, reducing attitude prediction errors, and improving prediction accuracy.
2025, 39(4): 780 -790
doi: 10.1007/s13344-025-0059-9
[Abstract](0)
Abstract:
Polar ships face significant risks from ice accretion on decks, superstructures, and power systems. Ice formation on the power intake system particularly affects vessel stability and safety. While freshwater icing has been extensively researched, comprehensive multi-parameter studies on ice accretion for intake structures remain insufficient. This investigation examines the icing characteristics of the air shroud, a critical component of marine gas turbines, resulting from saltwater droplet freezing. The study utilized a custom-built cyclic ice wind tunnel, with flow field quality verified through Five-hole probe and Hot wire anemometer methods, and droplet field quality validated using Laser, Flowmeter, Ice blade, and Icing calibration grid techniques. The research analyzes ice distribution and thickness on the shroud under varying NaCl concentrations, considering temperature, liquid water content (LWC), and median volume diameter (MVD). The findings reveal that decreased salinity facilitates rime ice formation, resulting in rough ice texture. Temperature reduction, increased LWC, and larger MVD enhanced salinity’s influence on ice thickness. The shroud exhibits substantial radial ice accretion, with coverage extending to approximately 90%. These results establish a foundation for further investigation of saltwater icing mechanisms and pioneer icing research in marine gas turbine intake systems.
Polar ships face significant risks from ice accretion on decks, superstructures, and power systems. Ice formation on the power intake system particularly affects vessel stability and safety. While freshwater icing has been extensively researched, comprehensive multi-parameter studies on ice accretion for intake structures remain insufficient. This investigation examines the icing characteristics of the air shroud, a critical component of marine gas turbines, resulting from saltwater droplet freezing. The study utilized a custom-built cyclic ice wind tunnel, with flow field quality verified through Five-hole probe and Hot wire anemometer methods, and droplet field quality validated using Laser, Flowmeter, Ice blade, and Icing calibration grid techniques. The research analyzes ice distribution and thickness on the shroud under varying NaCl concentrations, considering temperature, liquid water content (LWC), and median volume diameter (MVD). The findings reveal that decreased salinity facilitates rime ice formation, resulting in rough ice texture. Temperature reduction, increased LWC, and larger MVD enhanced salinity’s influence on ice thickness. The shroud exhibits substantial radial ice accretion, with coverage extending to approximately 90%. These results establish a foundation for further investigation of saltwater icing mechanisms and pioneer icing research in marine gas turbine intake systems.
ScholarOne Manuscripts Log In
Current Issue
- Volume 39
- Issue 4
- September 2025
- Editor-in-Chief:
- Superintended by:
CHINA ASSOCIATION FOR SCIENCE AND TECHNOLOGY
- Sponsored by:
Chinese Ocean Engineering Society (COES)
- Edited by:
Nanjing Hydraulic Research Institute
Highlights
Stay up to Date






Article abstracts by RSS
E-mail Alerts