2018 Vol.32(3)
column
Display Mode: |
2018, 32(3): 1-1.
doi: 10.1007/s13344-018-0039-4
Abstract:
2018, 32(3): 245-255.
doi: 10.1007/s13344-018-0026-9
Abstract:
Numerical simulations are carried out for wave action on a submerged horizontal circular cylinder by means of a viscous fluid model, and it is focused on the examination of the discrepancies between the viscous fluid results and the potential flow solutions. It is found that the lift force resulted from rotational flow on the circular cylinder is always in anti-phase with the inertia force and induces the discrepancies between the results. The influence factors on the magnitude of the lift force, especially the correlation between the stagnation-point position and the wave amplitude, and the effect of the vortex shedding are investigated by further examination on the flow fields around the cylinder. The viscous numerical calculations at different wave frequencies showed that the wave frequency has also significant influence on the wave forces. Under higher frequency and larger amplitude wave action, vortex shedding from the circular cylinder will appear and influence the wave forces on the cylinder substantially.
Numerical simulations are carried out for wave action on a submerged horizontal circular cylinder by means of a viscous fluid model, and it is focused on the examination of the discrepancies between the viscous fluid results and the potential flow solutions. It is found that the lift force resulted from rotational flow on the circular cylinder is always in anti-phase with the inertia force and induces the discrepancies between the results. The influence factors on the magnitude of the lift force, especially the correlation between the stagnation-point position and the wave amplitude, and the effect of the vortex shedding are investigated by further examination on the flow fields around the cylinder. The viscous numerical calculations at different wave frequencies showed that the wave frequency has also significant influence on the wave forces. Under higher frequency and larger amplitude wave action, vortex shedding from the circular cylinder will appear and influence the wave forces on the cylinder substantially.
2018, 32(3): 256-265.
doi: 10.1007/s13344-018-0027-8
Abstract:
Both numerical calculation and model test are important techniques to study and forecast the dynamic responses of the floating offshore wind turbine (FOWT). However, both the methods have their own limitations at present. In this study, the dynamic responses of a 5 MW OC3 spar-type floating wind turbine designed for a water depth of 200 m are numerically investigated and validated by a 1:50 scaled model test. Moreover, the discrepancies between the numerical calculations and model tests are obtained and discussed. According to the discussions, it is found that the surge and pitch are coupled with the mooring tensions, but the heave is independent of them. Surge and pitch are mainly induced by wave under wind wave conditions. Wind and current will induce the low-frequency average responses, while wave will induce the fluctuation ranges of the responses. In addition, wave will induce the wave-frequency responses but wind and current will restrain the ranges of the responses.
Both numerical calculation and model test are important techniques to study and forecast the dynamic responses of the floating offshore wind turbine (FOWT). However, both the methods have their own limitations at present. In this study, the dynamic responses of a 5 MW OC3 spar-type floating wind turbine designed for a water depth of 200 m are numerically investigated and validated by a 1:50 scaled model test. Moreover, the discrepancies between the numerical calculations and model tests are obtained and discussed. According to the discussions, it is found that the surge and pitch are coupled with the mooring tensions, but the heave is independent of them. Surge and pitch are mainly induced by wave under wind wave conditions. Wind and current will induce the low-frequency average responses, while wave will induce the fluctuation ranges of the responses. In addition, wave will induce the wave-frequency responses but wind and current will restrain the ranges of the responses.
2018, 32(3): 266-277.
doi: 10.1007/s13344-018-0028-7
Abstract:
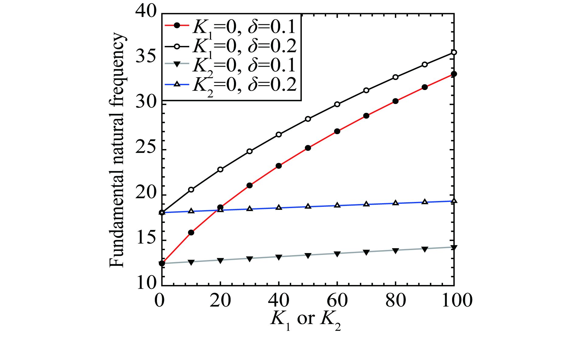
Free vibration analysis of symmetrically laminated composite plates resting on Pasternak elastic support and coupled with an ideal, incompressible and inviscid fluid is the objective of the present work. The fluid domain is considered to be infinite in the length direction but bounded in the depth and width directions. In order to derive the eigenvalue equation, Rayleigh-Ritz method is applied for the fluid-plate-foundation system. The efficiency of the method is proved by comparison studies with those reported in the open literature. At the end, parametric studies are carried out to examine the impact of different parameters on the natural frequencies.
Free vibration analysis of symmetrically laminated composite plates resting on Pasternak elastic support and coupled with an ideal, incompressible and inviscid fluid is the objective of the present work. The fluid domain is considered to be infinite in the length direction but bounded in the depth and width directions. In order to derive the eigenvalue equation, Rayleigh-Ritz method is applied for the fluid-plate-foundation system. The efficiency of the method is proved by comparison studies with those reported in the open literature. At the end, parametric studies are carried out to examine the impact of different parameters on the natural frequencies.
2018, 32(3): 278-287.
doi: 10.1007/s13344-018-0029-6
Abstract:
A numerical model has been developed to study sloshing of turbulent flow in a tank with elastic baffles. The Moving-Particle Semi-implicit method (MPS) is a kind of meshless Lagrangian calculation method. The large eddy simulation (LES) approach is employed to model the turbulence by using the Smagorinsky Sub-Particle Scale (SPS) closure model. This paper uses MPS-FSI method with LES to simulate the interaction between free surface flow and a thin elastic baffle in sloshing. Then, the numerical model is validated, and the numerical solution has good agreement with experimental data for sloshing in a tank with elastic baffles. Furthermore, under external excitations, the MPS is applied to viscous laminar flow and turbulent flow, with both the deformation of elastic baffles and the wave height of the free surface are compared with each other. Besides, the impact pressure with/without baffles and wave height of free surface are investigated and discussed in detail. Finally, preliminary simulations are carried out in the damage problem of elastic baffles, taking the advantage of the MPS-FSI method in computations of the fluid–structure interaction with large deformation.
A numerical model has been developed to study sloshing of turbulent flow in a tank with elastic baffles. The Moving-Particle Semi-implicit method (MPS) is a kind of meshless Lagrangian calculation method. The large eddy simulation (LES) approach is employed to model the turbulence by using the Smagorinsky Sub-Particle Scale (SPS) closure model. This paper uses MPS-FSI method with LES to simulate the interaction between free surface flow and a thin elastic baffle in sloshing. Then, the numerical model is validated, and the numerical solution has good agreement with experimental data for sloshing in a tank with elastic baffles. Furthermore, under external excitations, the MPS is applied to viscous laminar flow and turbulent flow, with both the deformation of elastic baffles and the wave height of the free surface are compared with each other. Besides, the impact pressure with/without baffles and wave height of free surface are investigated and discussed in detail. Finally, preliminary simulations are carried out in the damage problem of elastic baffles, taking the advantage of the MPS-FSI method in computations of the fluid–structure interaction with large deformation.
2018, 32(3): 288-300.
doi: 10.1007/s13344-018-0030-0
Abstract:
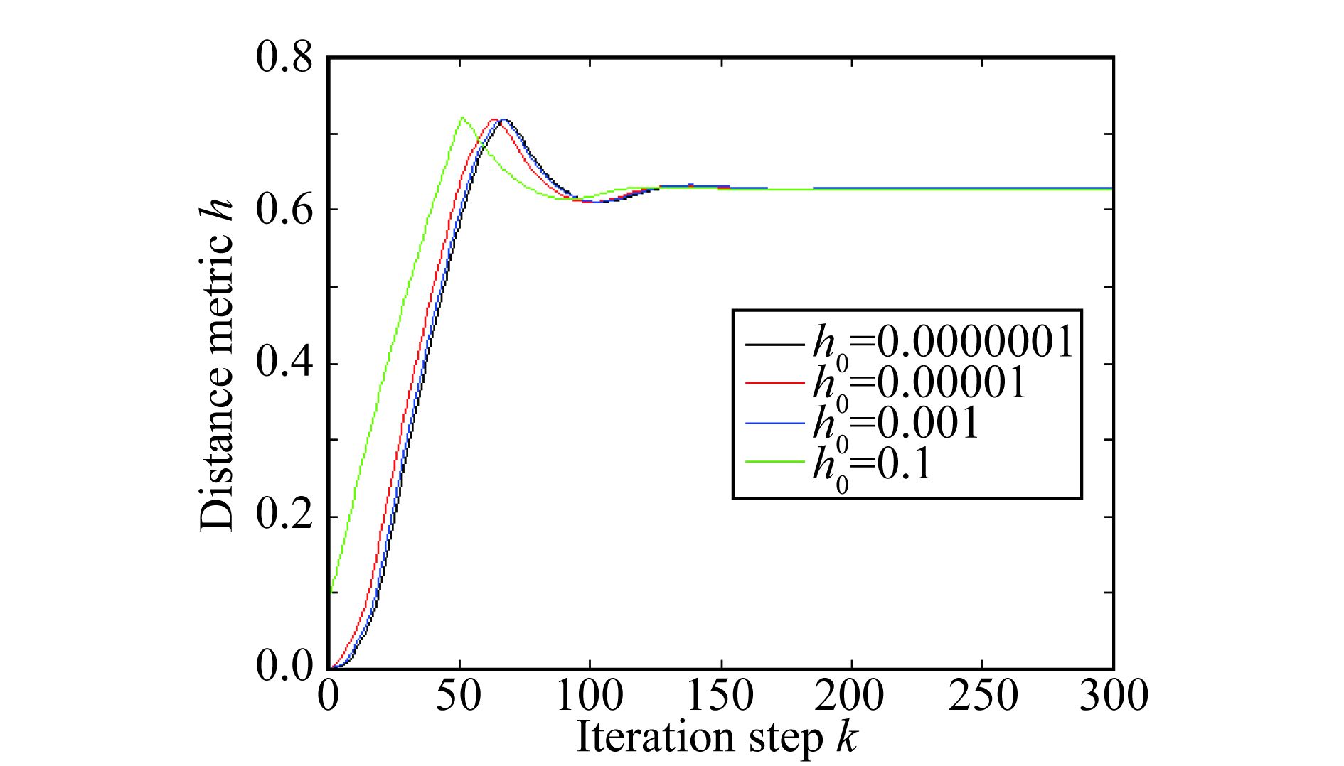
This paper explores a highly accurate identification modeling approach for the ship maneuvering motion with full-scale trial. A multi-innovation gradient iterative (MIGI) approach is proposed to optimize the distance metric of locally weighted learning (LWL), and a novel non-parametric modeling technique is developed for a nonlinear ship maneuvering system. This proposed method's advantages are as follows: first, it can avoid the unmodeled dynamics and multicollinearity inherent to the conventional parametric model; second, it eliminates the over-learning or under-learning and obtains the optimal distance metric; and third, the MIGI is not sensitive to the initial parameter value and requires less time during the training phase. These advantages result in a highly accurate mathematical modeling technique that can be conveniently implemented in applications. To verify the characteristics of this mathematical model, two examples are used as the model platforms to study the ship maneuvering.
This paper explores a highly accurate identification modeling approach for the ship maneuvering motion with full-scale trial. A multi-innovation gradient iterative (MIGI) approach is proposed to optimize the distance metric of locally weighted learning (LWL), and a novel non-parametric modeling technique is developed for a nonlinear ship maneuvering system. This proposed method's advantages are as follows: first, it can avoid the unmodeled dynamics and multicollinearity inherent to the conventional parametric model; second, it eliminates the over-learning or under-learning and obtains the optimal distance metric; and third, the MIGI is not sensitive to the initial parameter value and requires less time during the training phase. These advantages result in a highly accurate mathematical modeling technique that can be conveniently implemented in applications. To verify the characteristics of this mathematical model, two examples are used as the model platforms to study the ship maneuvering.
2018, 32(3): 301-311.
doi: 10.1007/s13344-018-0031-z
Abstract:
A series of fully three-dimensional (3D) numerical simulations of flow past a free-to-oscillate curved flexible riser in shear flow were conducted at Reynolds number of 185–1015. The numerical results obtained by the two-way fluid–structure interaction (FSI) simulations are in good agreement with the experimental results reported in the earlier study. It is further found that the frequency transition is out of phase not only in the inline (IL) and crossflow (CF) directions but also along the span direction. The mode competition leads to the non-zero nodes of the root-mean-square (RMS) amplitude and the relatively chaotic trajectories. The fluid–structure interaction is to some extent reflected by the transverse velocity of the ambient fluid, which reaches the maximum value when the riser reaches the equilibrium position. Moreover, the local maximum transverse velocities occur at the peak CF amplitudes, and the values are relatively large when the vibration is in the resonance regions. The 3D vortex columns are shed nearly parallel to the axis of the curved flexible riser. As the local Reynolds number increases from 0 at the bottom of the riser to the maximum value at the top, the wake undergoes a transition from a two-dimensional structure to a 3D one. More irregular small-scale vortices appeared at the wake region of the riser, undergoing large amplitude responses.
A series of fully three-dimensional (3D) numerical simulations of flow past a free-to-oscillate curved flexible riser in shear flow were conducted at Reynolds number of 185–1015. The numerical results obtained by the two-way fluid–structure interaction (FSI) simulations are in good agreement with the experimental results reported in the earlier study. It is further found that the frequency transition is out of phase not only in the inline (IL) and crossflow (CF) directions but also along the span direction. The mode competition leads to the non-zero nodes of the root-mean-square (RMS) amplitude and the relatively chaotic trajectories. The fluid–structure interaction is to some extent reflected by the transverse velocity of the ambient fluid, which reaches the maximum value when the riser reaches the equilibrium position. Moreover, the local maximum transverse velocities occur at the peak CF amplitudes, and the values are relatively large when the vibration is in the resonance regions. The 3D vortex columns are shed nearly parallel to the axis of the curved flexible riser. As the local Reynolds number increases from 0 at the bottom of the riser to the maximum value at the top, the wake undergoes a transition from a two-dimensional structure to a 3D one. More irregular small-scale vortices appeared at the wake region of the riser, undergoing large amplitude responses.
Lateral Global Buckling of Submarine Pipelines Based on the Model of Nonlinear Pipe–Soil Interaction
2018, 32(3): 312-322.
doi: 10.1007/s13344-018-0032-y
Abstract:
With the increasing development and utilization of offshore oil and gas resources, global buckling failures of pipelines subjected to high temperature and high pressure are becoming increasingly important. For unburied or semi-buried submarine pipelines, lateral global buckling represents the main form of global buckling. The pipe–soil interaction determines the deformation and stress distribution of buckling pipelines. In this paper, the nonlinear pipe–soil interaction model is introduced into the analysis of pipeline lateral global buckling, a coupling method of PSI elements and the modified RIKS algorithm is proposed to study the lateral global buckling of a pipeline, and the buckling characteristics of submarine pipeline with a single arch symmetric initial imperfection under different pipe–soil interaction models are studied. Research shows that, compared with the ideal elastic–plastic pipe–soil interaction model, when the DNV-RP-F109 model is adopted to simulate the lateral pipe–soil interactions in the lateral global buckling of a pipeline, the buckling amplitude increases, however, the critical buckling force and the initial buckling temperature difference decreases. In the DNV-RP-F109 pipe–soil interaction model, the maximum soil resistance, the residual soil resistance, and the displacement to reach the maximum soil resistance have significant effects on the analysis results of pipeline global buckling.
With the increasing development and utilization of offshore oil and gas resources, global buckling failures of pipelines subjected to high temperature and high pressure are becoming increasingly important. For unburied or semi-buried submarine pipelines, lateral global buckling represents the main form of global buckling. The pipe–soil interaction determines the deformation and stress distribution of buckling pipelines. In this paper, the nonlinear pipe–soil interaction model is introduced into the analysis of pipeline lateral global buckling, a coupling method of PSI elements and the modified RIKS algorithm is proposed to study the lateral global buckling of a pipeline, and the buckling characteristics of submarine pipeline with a single arch symmetric initial imperfection under different pipe–soil interaction models are studied. Research shows that, compared with the ideal elastic–plastic pipe–soil interaction model, when the DNV-RP-F109 model is adopted to simulate the lateral pipe–soil interactions in the lateral global buckling of a pipeline, the buckling amplitude increases, however, the critical buckling force and the initial buckling temperature difference decreases. In the DNV-RP-F109 pipe–soil interaction model, the maximum soil resistance, the residual soil resistance, and the displacement to reach the maximum soil resistance have significant effects on the analysis results of pipeline global buckling.
2018, 32(3): 323-330.
doi: 10.1007/s13344-018-0033-x
Abstract:
In order to reduce the resistance and improve the hydrodynamic performance of a ship, two hull form design methods are proposed based on the potential flow theory and viscous flow theory. The flow fields are meshed using body-fitted mesh and structured grids. The parameters of the hull modification function are the design variables. A three-dimensional modeling method is used to alter the geometry. The Non-Linear Programming (NLP) method is utilized to optimize a David Taylor Model Basin (DTMB) model 5415 ship under the constraints, including the displacement constraint. The optimization results show an effective reduction of the resistance. The two hull form design methods developed in this study can provide technical support and theoretical basis for designing green ships.
In order to reduce the resistance and improve the hydrodynamic performance of a ship, two hull form design methods are proposed based on the potential flow theory and viscous flow theory. The flow fields are meshed using body-fitted mesh and structured grids. The parameters of the hull modification function are the design variables. A three-dimensional modeling method is used to alter the geometry. The Non-Linear Programming (NLP) method is utilized to optimize a David Taylor Model Basin (DTMB) model 5415 ship under the constraints, including the displacement constraint. The optimization results show an effective reduction of the resistance. The two hull form design methods developed in this study can provide technical support and theoretical basis for designing green ships.
2018, 32(3): 331-340.
doi: 10.1007/s13344-018-0034-9
Abstract:
The experimental studies on flow-induced vibrations (FIV) reduction of two side-by-side flexible cylinders inclined at 45° by using the helical strakes were carried out in a towing tank. The main aim of the experiment is to check whether the helical strakes with a pitch of 17.5D and a height of 0.25D, which is considered as the most effective vibration suppression device for the isolated cylinder undergoing vortex-shedding, still perform very well to reduce FIV of two inclined flexible cylinders in a side-by-side arrangement. The vibration of two identical inclined cylinders with a mass ratio of 1.90 and an aspect ratio of 350 was tested in the experiment. The center-to-center distance between the two cylinders was 3.0D. The uniform flow was simulated by towing the cylinder models along the tank. The towing velocity varied from 0.05 to 1.0 m/s with an interval of 0.05 m/s. The maximum Reynolds number can be up to 1.6×104. Three cases were experimentally studied in this paper, including two side-by-side inclined smooth cylinders, only one smooth cylinder fitted with helical strakes in the two side-by-side inclined cylinders system and both two cylinders attached with helical strakes. The variations of displacement amplitude, dominant frequency, FIV suppression efficiency and dominant mode for the two side-by-side inclined cylinders with reduced velocity were shown and discussed.
The experimental studies on flow-induced vibrations (FIV) reduction of two side-by-side flexible cylinders inclined at 45° by using the helical strakes were carried out in a towing tank. The main aim of the experiment is to check whether the helical strakes with a pitch of 17.5D and a height of 0.25D, which is considered as the most effective vibration suppression device for the isolated cylinder undergoing vortex-shedding, still perform very well to reduce FIV of two inclined flexible cylinders in a side-by-side arrangement. The vibration of two identical inclined cylinders with a mass ratio of 1.90 and an aspect ratio of 350 was tested in the experiment. The center-to-center distance between the two cylinders was 3.0D. The uniform flow was simulated by towing the cylinder models along the tank. The towing velocity varied from 0.05 to 1.0 m/s with an interval of 0.05 m/s. The maximum Reynolds number can be up to 1.6×104. Three cases were experimentally studied in this paper, including two side-by-side inclined smooth cylinders, only one smooth cylinder fitted with helical strakes in the two side-by-side inclined cylinders system and both two cylinders attached with helical strakes. The variations of displacement amplitude, dominant frequency, FIV suppression efficiency and dominant mode for the two side-by-side inclined cylinders with reduced velocity were shown and discussed.
2018, 32(3): 341-346.
doi: 10.1007/s13344-018-0035-8
Abstract:
Fractal interpolation has been an important method applied to engineering in recent years. It can not only be used to fit smooth curve and stationary data but also show its unique superiorities in the fatting of non-smooth curve and non-stationary data. Through analyzing such characteristic values as average value, standard deviations, skewness and kurtosis of measured backsilting quantities in the Yangtze Estuary 12.5 m Deepwater Channel during 2011–2017, the fractal interpolation method can be used to study the backsilting quantity distribution with time. According to the fractal interpolation made on the channel backsilting quantities from January 2011 to December 2017, there was a good corresponding relationship between the annual (monthly) siltation quantities and the vertical scaling factor. On this basis, a calculation formula for prediction of the backsilting quantity in the Yangtze Estuary Deepwater Channel was constructed. With the relationship between the predicted annual backsilting quantities and the vertical scaling factor, the monthly backsilting quantities can be obtained. Thus, it provides a new method for estimating the backsilting quantity of the Yangtze Estuary Deepwater Channel.
Fractal interpolation has been an important method applied to engineering in recent years. It can not only be used to fit smooth curve and stationary data but also show its unique superiorities in the fatting of non-smooth curve and non-stationary data. Through analyzing such characteristic values as average value, standard deviations, skewness and kurtosis of measured backsilting quantities in the Yangtze Estuary 12.5 m Deepwater Channel during 2011–2017, the fractal interpolation method can be used to study the backsilting quantity distribution with time. According to the fractal interpolation made on the channel backsilting quantities from January 2011 to December 2017, there was a good corresponding relationship between the annual (monthly) siltation quantities and the vertical scaling factor. On this basis, a calculation formula for prediction of the backsilting quantity in the Yangtze Estuary Deepwater Channel was constructed. With the relationship between the predicted annual backsilting quantities and the vertical scaling factor, the monthly backsilting quantities can be obtained. Thus, it provides a new method for estimating the backsilting quantity of the Yangtze Estuary Deepwater Channel.
2018, 32(3): 347-357.
doi: 10.1007/s13344-018-0036-7
Abstract:
The present study proposed a floating multi-body wave energy converter composed of a floating central platform, multiple oscillating bodies and multiple actuating arms. The relative motions between the oscillating bodies and the floating central platform capture multi-point wave energy simultaneously. The converter was simplified as a forced vibration system with three degrees of freedom, namely two heave motions and one rotational motion. The expressions of the amplitude-frequency response and the wave energy capture width were deduced from the motion equations of the converter. Based on the built mathematical model, the effects of the PTO damping coefficient, the PTO elastic coefficient, the connection length between the oscillating body and central platform, and the total number of oscillating bodies on the performance of the wave energy converter were investigated. Numerical results indicate that the dynamical properties and the energy conversion efficiency are related not only to the incident wave circle frequency but also to the converter's physical parameters and interior PTO coefficients. By adjusting the connection length, higher wave energy absorption efficiencies can be obtained. More oscillating bodies installed result in more stable floating central platform and higher wave energy conversion efficiency.
The present study proposed a floating multi-body wave energy converter composed of a floating central platform, multiple oscillating bodies and multiple actuating arms. The relative motions between the oscillating bodies and the floating central platform capture multi-point wave energy simultaneously. The converter was simplified as a forced vibration system with three degrees of freedom, namely two heave motions and one rotational motion. The expressions of the amplitude-frequency response and the wave energy capture width were deduced from the motion equations of the converter. Based on the built mathematical model, the effects of the PTO damping coefficient, the PTO elastic coefficient, the connection length between the oscillating body and central platform, and the total number of oscillating bodies on the performance of the wave energy converter were investigated. Numerical results indicate that the dynamical properties and the energy conversion efficiency are related not only to the incident wave circle frequency but also to the converter's physical parameters and interior PTO coefficients. By adjusting the connection length, higher wave energy absorption efficiencies can be obtained. More oscillating bodies installed result in more stable floating central platform and higher wave energy conversion efficiency.
2018, 32(3): 358-364.
doi: 10.1007/s13344-018-0037-6
Abstract:
In consideration of the resource wasted by unreasonable layout scheme of tidal current turbines, which would influence the ratio of cost and power output, particle swarm optimization algorithm is introduced and improved in the paper. In order to solve the problem of optimal array of tidal turbines, the discrete particle swarm optimization (DPSO) algorithm has been performed by re-defining the updating strategies of particles’ velocity and position. This paper analyzes the optimization problem of micrositing of tidal current turbines by adjusting each turbine’s position, where the maximum value of total electric power is obtained at the maximum speed in the flood tide and ebb tide. Firstly, the best installed turbine number is generated by maximizing the output energy in the given tidal farm by the Farm/Flux and empirical method. Secondly, considering the wake effect, the reasonable distance between turbines, and the tidal velocities influencing factors in the tidal farm, Jensen wake model and elliptic distribution model are selected for the turbines’ total generating capacity calculation at the maximum speed in the flood tide and ebb tide. Finally, the total generating capacity, regarded as objective function, is calculated in the final simulation, thus the DPSO could guide the individuals to the feasible area and optimal position. The results have been concluded that the optimization algorithm, which increased 6.19% more recourse output than experience method, can be thought as a good tool for engineering design of tidal energy demonstration.
In consideration of the resource wasted by unreasonable layout scheme of tidal current turbines, which would influence the ratio of cost and power output, particle swarm optimization algorithm is introduced and improved in the paper. In order to solve the problem of optimal array of tidal turbines, the discrete particle swarm optimization (DPSO) algorithm has been performed by re-defining the updating strategies of particles’ velocity and position. This paper analyzes the optimization problem of micrositing of tidal current turbines by adjusting each turbine’s position, where the maximum value of total electric power is obtained at the maximum speed in the flood tide and ebb tide. Firstly, the best installed turbine number is generated by maximizing the output energy in the given tidal farm by the Farm/Flux and empirical method. Secondly, considering the wake effect, the reasonable distance between turbines, and the tidal velocities influencing factors in the tidal farm, Jensen wake model and elliptic distribution model are selected for the turbines’ total generating capacity calculation at the maximum speed in the flood tide and ebb tide. Finally, the total generating capacity, regarded as objective function, is calculated in the final simulation, thus the DPSO could guide the individuals to the feasible area and optimal position. The results have been concluded that the optimization algorithm, which increased 6.19% more recourse output than experience method, can be thought as a good tool for engineering design of tidal energy demonstration.
2018, 32(3): 365-373.
doi: 10.1007/s13344-018-0038-5
Abstract:
A novel instrument named Micro-Electro-Mechanical System (MEMS) flexible hot-film shear stress sensor was used to study the boundary shear stress distribution in the generalized natural meandering open channel, and the mean sidewall shear stress distribution along the meandering channel, and the lateral boundary shear stress distribution in the typical cross-section of the meandering channel was analysed. Based on the measurement of the boundary shear stress, a semi-empirical semi-theoretical computing approach of the boundary shear stress was derived including the effects of the secondary flow, sidewall roughness factor, eddy viscosity and the additional Reynolds stress, and more importantly, for the first time, it combined the effects of the cross-section central angle and the Reynolds number into the expressions. Afterwards, a comparison between the previous research and this study was developed. Following the result, we found that the semi-empirical semi-theoretical boundary shear stress distribution algorithm can predict the boundary shear stress distribution precisely. Finally, a single factor analysis was conducted on the relationship between the average sidewall shear stress on the convex and concave bank and the flow rate, water depth, slope ratio, or the cross-section central angle of the open channel bend. The functional relationship with each of the above factors was established, and then the distance from the location of the extreme sidewall shear stress to the bottom of the open channel was deduced based on the statistical theory.
A novel instrument named Micro-Electro-Mechanical System (MEMS) flexible hot-film shear stress sensor was used to study the boundary shear stress distribution in the generalized natural meandering open channel, and the mean sidewall shear stress distribution along the meandering channel, and the lateral boundary shear stress distribution in the typical cross-section of the meandering channel was analysed. Based on the measurement of the boundary shear stress, a semi-empirical semi-theoretical computing approach of the boundary shear stress was derived including the effects of the secondary flow, sidewall roughness factor, eddy viscosity and the additional Reynolds stress, and more importantly, for the first time, it combined the effects of the cross-section central angle and the Reynolds number into the expressions. Afterwards, a comparison between the previous research and this study was developed. Following the result, we found that the semi-empirical semi-theoretical boundary shear stress distribution algorithm can predict the boundary shear stress distribution precisely. Finally, a single factor analysis was conducted on the relationship between the average sidewall shear stress on the convex and concave bank and the flow rate, water depth, slope ratio, or the cross-section central angle of the open channel bend. The functional relationship with each of the above factors was established, and then the distance from the location of the extreme sidewall shear stress to the bottom of the open channel was deduced based on the statistical theory.
ScholarOne Manuscripts Log In
Current Issue
- Volume 39
- Issue 4
- September 2025
- Editor-in-Chief:
- Superintended by:
CHINA ASSOCIATION FOR SCIENCE AND TECHNOLOGY
- Sponsored by:
Chinese Ocean Engineering Society (COES)
- Edited by:
Nanjing Hydraulic Research Institute
Highlights
Stay up to Date

Article abstracts by RSS
E-mail Alerts