2018 Vol.32(6)
Display Mode: |
2018, 32(6): 633-645.
doi: 10.1007/s13344-018-0065-2
Abstract:
The vibration response of a free-hanging flexible riser induced by internal gas-liquid slug flow was studied experimentally in a small-diameter tube model based on Froude number criterion. The flow regime in a curved riser model and the response displacements of the riser were simultaneously recorded by high speed cameras. The gas superficial velocity ranges from 0.1 m/s to 0.6 m/s while the liquid superficial velocity from 0.06 m/s to 0.3 m/s. Severe slugging type 3, unstable oscillation flow and relatively stable slug flow were observed in the considered flow rates. Severe slugging type 3 characterized by premature gas penetration occurs at relatively low flow rates. Both the cycle time and slug length become shorter as the gas flow rate increases. The pressure at the riser base undergoes a longer period and larger amplitude of fluctuation as compared with the other two flow regimes. Additionally, severe slugging leads to the most vigorous in-plane vibration. However, the responses in the vertical and horizontal directions are not synchronized. The vertical vibration is dominated by the second mode while the horizontal vibration is dominated by the first mode. Similar to the vortex-induced vibration, three branches are identified as initial branch, build-up branch and descending branch for the response versus the mixture velocity of gas-liquid flow.
The vibration response of a free-hanging flexible riser induced by internal gas-liquid slug flow was studied experimentally in a small-diameter tube model based on Froude number criterion. The flow regime in a curved riser model and the response displacements of the riser were simultaneously recorded by high speed cameras. The gas superficial velocity ranges from 0.1 m/s to 0.6 m/s while the liquid superficial velocity from 0.06 m/s to 0.3 m/s. Severe slugging type 3, unstable oscillation flow and relatively stable slug flow were observed in the considered flow rates. Severe slugging type 3 characterized by premature gas penetration occurs at relatively low flow rates. Both the cycle time and slug length become shorter as the gas flow rate increases. The pressure at the riser base undergoes a longer period and larger amplitude of fluctuation as compared with the other two flow regimes. Additionally, severe slugging leads to the most vigorous in-plane vibration. However, the responses in the vertical and horizontal directions are not synchronized. The vertical vibration is dominated by the second mode while the horizontal vibration is dominated by the first mode. Similar to the vortex-induced vibration, three branches are identified as initial branch, build-up branch and descending branch for the response versus the mixture velocity of gas-liquid flow.
2018, 32(6): 646-654.
doi: 10.1007/s13344-018-0066-1
Abstract:
A higher-order boundary element method (HOBEM) for simulating the fully nonlinear regular wave propagation and diffraction around a fixed vertical circular cylinder is investigated. The domain decomposition method with continuity conditions enforced on the interfaces between the adjacent sub-domains is implemented for reducing the computational cost. By adjusting the algorithm of iterative procedure on the interfaces, four types of coupling strategies are established, that is, Dirchlet/Dirchlet-Neumman/Neumman (D/D-N/N), Dirchlet-Neumman (D-N), Neumman-Dirchlet (N-D) and Mixed Dirchlet-Neumman/Neumman-Dirchlet (Mixed D-N/N-D). Numerical simulations indicate that the domain decomposition methods can provide accurate results compared with that of the single domain method. According to the comparisons of computational efficiency, the D/D-N/N coupling strategy is recommended for the wave propagation problem. As for the wave-body interaction problem, the Mixed D-N/N-D coupling strategy can obtain the highest computational efficiency.
A higher-order boundary element method (HOBEM) for simulating the fully nonlinear regular wave propagation and diffraction around a fixed vertical circular cylinder is investigated. The domain decomposition method with continuity conditions enforced on the interfaces between the adjacent sub-domains is implemented for reducing the computational cost. By adjusting the algorithm of iterative procedure on the interfaces, four types of coupling strategies are established, that is, Dirchlet/Dirchlet-Neumman/Neumman (D/D-N/N), Dirchlet-Neumman (D-N), Neumman-Dirchlet (N-D) and Mixed Dirchlet-Neumman/Neumman-Dirchlet (Mixed D-N/N-D). Numerical simulations indicate that the domain decomposition methods can provide accurate results compared with that of the single domain method. According to the comparisons of computational efficiency, the D/D-N/N coupling strategy is recommended for the wave propagation problem. As for the wave-body interaction problem, the Mixed D-N/N-D coupling strategy can obtain the highest computational efficiency.
2018, 32(6): 655-664.
doi: 10.1007/s13344-018-0067-0
Abstract:
This paper first proposes a new approach for predicting the nonlinear wave trough distributions by utilizing a transformed linear simulation method. The linear simulation method is transformed based on a Hermite transformation model where the transformation is chosen to be a monotonic cubic polynomial and calibrated such that the first four moments of the transformed model match the moments of the true process. The proposed new approach is applied for calculating the wave trough distributions of a nonlinear sea state with the surface elevation data measured at the coast of Yura in the Japan Sea, and its accuracy and efficiency are convincingly validated by comparisons with the results from two theoretical distribution models, from a linear simulation model and a second-order nonlinear simulation model. Finally, it is further demonstrated in this paper that the new approach can be applied to all the situations characterized by similar nondimensional spectrum.
This paper first proposes a new approach for predicting the nonlinear wave trough distributions by utilizing a transformed linear simulation method. The linear simulation method is transformed based on a Hermite transformation model where the transformation is chosen to be a monotonic cubic polynomial and calibrated such that the first four moments of the transformed model match the moments of the true process. The proposed new approach is applied for calculating the wave trough distributions of a nonlinear sea state with the surface elevation data measured at the coast of Yura in the Japan Sea, and its accuracy and efficiency are convincingly validated by comparisons with the results from two theoretical distribution models, from a linear simulation model and a second-order nonlinear simulation model. Finally, it is further demonstrated in this paper that the new approach can be applied to all the situations characterized by similar nondimensional spectrum.
2018, 32(6): 665-674.
doi: 10.1007/s13344-018-0068-z
Abstract:
In this work, we focus on assessing the group effect of localized corrosion on the ultimate strength of the marine structural plates and study the load-deformation behaviors of plates of various slenderness and uniaxial compression. Meanwhile, we investigate different corroded patterns from a single circular pit to 25 circular pits distributed over the plate and carry out hundreds of nonlinear finite element simulations by combining the number, depth, distribution of pits with imperfections and slenderness of plate. The distribution of multiple pits causes scattering of stress concentration on the plate, then the plastic section of plate changes with wider distribution of damage simultaneously. The ultimate strength arises when un-loading zone comprised of the yielding strips and holes extends across the plate. It can be concluded that the corroded condition defined as group effect of pits manipulates the deformation state and the loading capacity of plate at the ultimate strength mode that coincides with the proportion of effective loading area and section in the process of post-buckling. To validate the effect of pits group, we perform the numerical experiments of the post-buckling of steel plates containing pits in a row with different orientation.
In this work, we focus on assessing the group effect of localized corrosion on the ultimate strength of the marine structural plates and study the load-deformation behaviors of plates of various slenderness and uniaxial compression. Meanwhile, we investigate different corroded patterns from a single circular pit to 25 circular pits distributed over the plate and carry out hundreds of nonlinear finite element simulations by combining the number, depth, distribution of pits with imperfections and slenderness of plate. The distribution of multiple pits causes scattering of stress concentration on the plate, then the plastic section of plate changes with wider distribution of damage simultaneously. The ultimate strength arises when un-loading zone comprised of the yielding strips and holes extends across the plate. It can be concluded that the corroded condition defined as group effect of pits manipulates the deformation state and the loading capacity of plate at the ultimate strength mode that coincides with the proportion of effective loading area and section in the process of post-buckling. To validate the effect of pits group, we perform the numerical experiments of the post-buckling of steel plates containing pits in a row with different orientation.
2018, 32(6): 675-682.
doi: 10.1007/s13344-018-0069-y
Abstract:
Longshore current instability is important to nearshore hydrodynamic and sediment transport. This paper investigates the longshore current instability growth model based experimental data with different velocity profiles of slopes 1:100 and 1:40 by adopting a linear shear instability model with the bottom friction effects. The results show that: (1) Only backshear mode exists in the instability of longshore current for slope 1:40 and frontshear and backshear modes may exist slope 1:100. (2) The peaks of linear instability growth mode for slope 1:100 correspond to three cases: the dominant peak is formed by the joint action of both frontshear and backshear, or by backshear alone without the existence of the smaller peak or formed by either the frontshear or backshear. (3) Bottom friction can decrease the corresponding unstable growth rate but it cannot change the unstable fluctuation period. The results of fluctuation period, wavelength and spatial variation obtained by the analysis of linear shear instability are in good agreement with experimental results.
Longshore current instability is important to nearshore hydrodynamic and sediment transport. This paper investigates the longshore current instability growth model based experimental data with different velocity profiles of slopes 1:100 and 1:40 by adopting a linear shear instability model with the bottom friction effects. The results show that: (1) Only backshear mode exists in the instability of longshore current for slope 1:40 and frontshear and backshear modes may exist slope 1:100. (2) The peaks of linear instability growth mode for slope 1:100 correspond to three cases: the dominant peak is formed by the joint action of both frontshear and backshear, or by backshear alone without the existence of the smaller peak or formed by either the frontshear or backshear. (3) Bottom friction can decrease the corresponding unstable growth rate but it cannot change the unstable fluctuation period. The results of fluctuation period, wavelength and spatial variation obtained by the analysis of linear shear instability are in good agreement with experimental results.
2018, 32(6): 683-695.
doi: 10.1007/s13344-018-0070-5
Abstract:
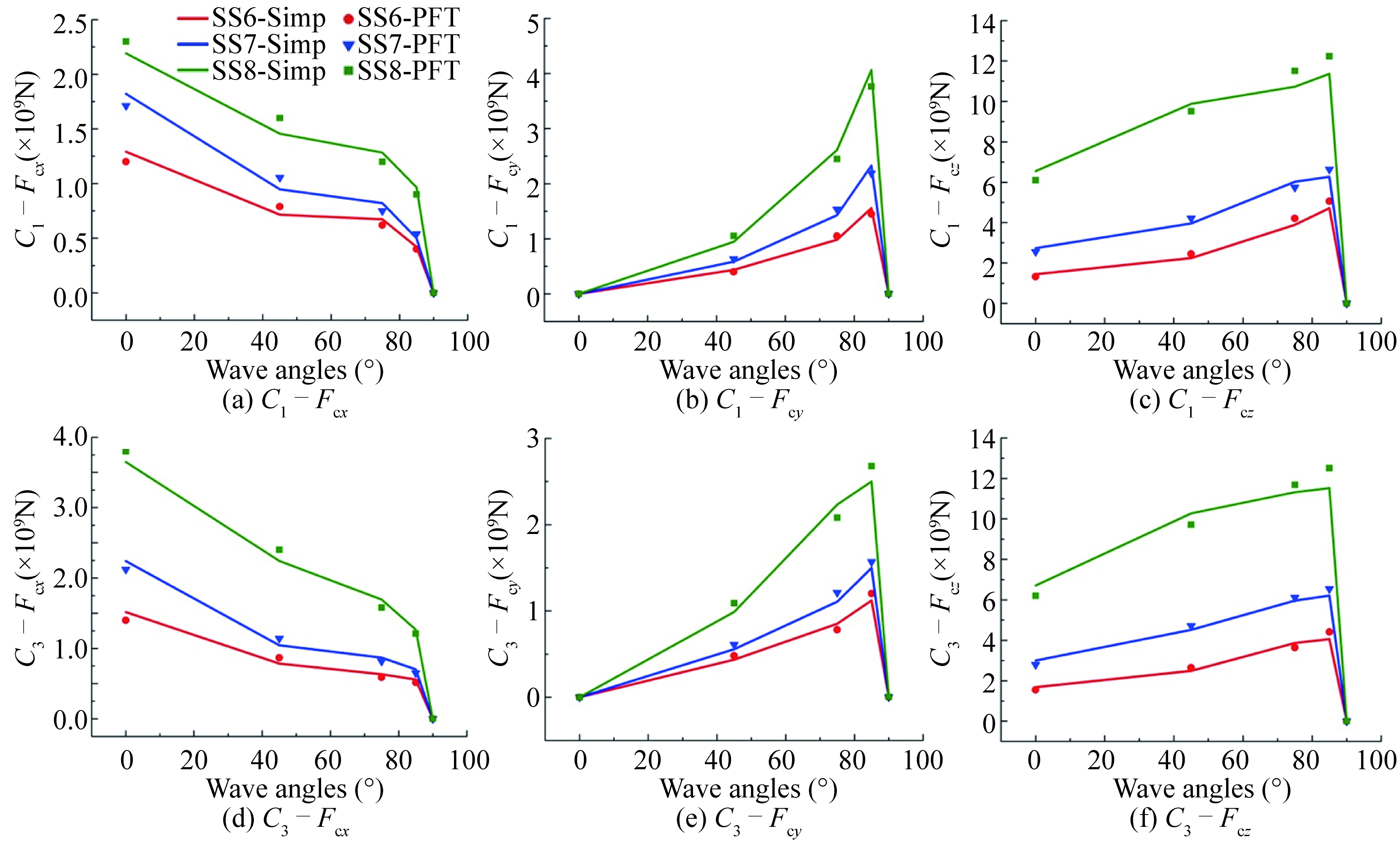
This paper investigates a simplified method to determine the optimal stiffness of flexible connectors on a mobile offshore base (MOB) during the preliminary design stage. A three-module numerical model of an MOB was used as a case study. Numerous constraint forces and relative displacements for the connectors at rough sea states with different wave angles were utilized to determine the optimized stiffness of the flexible connectors. The range of optimal stiffnesses for the connectors was obtained based on the combination and intersection of the optimized stiffness results, and the implementation steps were elaborated in detail. The percentage reductions of the optimized and optimal stiffness of the flexible connector were determined to quantitatively evaluate the decreases of the constraint force and relative displacement of the connectors compared with those calculated by using the original range of the connector stiffnesses. The results indicate the accuracy and feasibility of this method for determining the optimal stiffness of the flexible connectors and demonstrate the rationality and practicability of the optimal stiffness results. The research ideas, calculation process, and solutions for the optimal stiffness of the flexible connectors of an MOB in this paper can provide valuable technical support for the design of the connectors in similar semi-submersible floating structures.
This paper investigates a simplified method to determine the optimal stiffness of flexible connectors on a mobile offshore base (MOB) during the preliminary design stage. A three-module numerical model of an MOB was used as a case study. Numerous constraint forces and relative displacements for the connectors at rough sea states with different wave angles were utilized to determine the optimized stiffness of the flexible connectors. The range of optimal stiffnesses for the connectors was obtained based on the combination and intersection of the optimized stiffness results, and the implementation steps were elaborated in detail. The percentage reductions of the optimized and optimal stiffness of the flexible connector were determined to quantitatively evaluate the decreases of the constraint force and relative displacement of the connectors compared with those calculated by using the original range of the connector stiffnesses. The results indicate the accuracy and feasibility of this method for determining the optimal stiffness of the flexible connectors and demonstrate the rationality and practicability of the optimal stiffness results. The research ideas, calculation process, and solutions for the optimal stiffness of the flexible connectors of an MOB in this paper can provide valuable technical support for the design of the connectors in similar semi-submersible floating structures.
2018, 32(6): 696-705.
doi: 10.1007/s13344-018-0071-4
Abstract:
This paper presents an extended model predictive controller for maximizing the absorbed power of a point absorber wave energy converter. Owing to the great influence of controller parameters upon the absorbed power, the optimization of these parameters is carried out for the first time by a firefly algorithm (FA). Error, the difference between output velocity of buoy and input wave speed which leads to power maximization in the optimized MPC is compared with the classical MPC. Simulation results indicate that given the high accuracy and acceptable speed of the algorithm, it can adjust the parameters of the controller to the point where system error decreased effectively and the absorbed energy increased about 4 MW.
This paper presents an extended model predictive controller for maximizing the absorbed power of a point absorber wave energy converter. Owing to the great influence of controller parameters upon the absorbed power, the optimization of these parameters is carried out for the first time by a firefly algorithm (FA). Error, the difference between output velocity of buoy and input wave speed which leads to power maximization in the optimized MPC is compared with the classical MPC. Simulation results indicate that given the high accuracy and acceptable speed of the algorithm, it can adjust the parameters of the controller to the point where system error decreased effectively and the absorbed energy increased about 4 MW.
2018, 32(6): 706-717.
doi: 10.1007/s13344-018-0072-3
Abstract:
The penetration depth of torpedo anchor in two-layered soil bed was experimentally investigated. A total of 177 experimental data were obtained in laboratory by varying the undrained shear strength of the two-layered soil and the thickness of the top soil layer. The geometric parameters of the anchor and the soil properties (the liquid limit, plastic limit, specific gravity, undrained shear strength, density, and water content) were measured. Based on the energy analysis and present test data, an empirical formula to predict the penetration depth of torpedo anchor in two-layered soil bed was proposed. The proposed formula was extensively validated by laboratory and field data of previous researchers. The results were in good agreement with those obtained for two-layered and single-layered soil bed. Finally, a sensitivity analysis on the parameters in the formula was performed.
The penetration depth of torpedo anchor in two-layered soil bed was experimentally investigated. A total of 177 experimental data were obtained in laboratory by varying the undrained shear strength of the two-layered soil and the thickness of the top soil layer. The geometric parameters of the anchor and the soil properties (the liquid limit, plastic limit, specific gravity, undrained shear strength, density, and water content) were measured. Based on the energy analysis and present test data, an empirical formula to predict the penetration depth of torpedo anchor in two-layered soil bed was proposed. The proposed formula was extensively validated by laboratory and field data of previous researchers. The results were in good agreement with those obtained for two-layered and single-layered soil bed. Finally, a sensitivity analysis on the parameters in the formula was performed.
2018, 32(6): 718-729.
doi: 10.1007/s13344-018-0073-2
Abstract:
Point absorber wave energy device with multiple degrees of freedom (DOF) is assumed to have a better absorption ability of mechanical energy from ocean waves. In this paper, a coaxial symmetric articulated point absorber wave energy converter with two degrees of freedom is presented. The mechanical equations of the oscillation buoy with power take-off mechanism (PTO) in regular waves are established. The three-dimensional numerical wave tank is built in consideration of the buoy motion based upon the CFD method. The appropriate simulation elements are selected for the buoy and wave parameters. The feasibility of the CFD method is verified through the contrast between the numerical simulation results of typical wave conditions and test results. In such case, the buoy with single DOF of heave, pitch and their coupling motion considering free (no PTO damping) and damped oscillations in regular waves are simulated by using the verified CFD method respectively. The hydrodynamic and wave energy conversion characteristics with typical wave conditions are analyzed. The numerical results show that the heave and pitch can affect each other in the buoy coupling motion, hydrodynamic loads, wave energy absorption and flow field. The total capture width ratio with two coupled DOF motion is higher than that with a single DOF motion. The wave energy conversion of a certain DOF motion may be higher than that of the single certain DOF motion even though the wave is at the resonance period. When the wave periods are high enough, the interaction between the coupled DOF motions can be neglected.
Point absorber wave energy device with multiple degrees of freedom (DOF) is assumed to have a better absorption ability of mechanical energy from ocean waves. In this paper, a coaxial symmetric articulated point absorber wave energy converter with two degrees of freedom is presented. The mechanical equations of the oscillation buoy with power take-off mechanism (PTO) in regular waves are established. The three-dimensional numerical wave tank is built in consideration of the buoy motion based upon the CFD method. The appropriate simulation elements are selected for the buoy and wave parameters. The feasibility of the CFD method is verified through the contrast between the numerical simulation results of typical wave conditions and test results. In such case, the buoy with single DOF of heave, pitch and their coupling motion considering free (no PTO damping) and damped oscillations in regular waves are simulated by using the verified CFD method respectively. The hydrodynamic and wave energy conversion characteristics with typical wave conditions are analyzed. The numerical results show that the heave and pitch can affect each other in the buoy coupling motion, hydrodynamic loads, wave energy absorption and flow field. The total capture width ratio with two coupled DOF motion is higher than that with a single DOF motion. The wave energy conversion of a certain DOF motion may be higher than that of the single certain DOF motion even though the wave is at the resonance period. When the wave periods are high enough, the interaction between the coupled DOF motions can be neglected.
2018, 32(6): 730-736.
doi: 10.1007/s13344-018-0074-1
Abstract:
Nikuradse roughness (ks) is very important in the sediment transport prediction because it is related to the evaluations of the velocity distribution, shear stress and erosion depth. Dimensionless Nikuradse roughness (ks/D, where D is the sediment diameter) is usually given 1–2.5 on the immobile plan bed or at low shear stress. But it behaves differently on the mobile plan bed at high shear stress with much sediment picked up to movement when the Shields parameter (Θ) is larger than 0.8–1.0. The effective Nikuradse roughness on the mobile plan bed was derived indirectly from the erosion depth correlated to the mobile plan bed thickness considering the mass conservation in the present study. The proposed erosion depth confirmed the relation to the Shields parameters with an extra factor consisting of suspended sediment and its damping to turbulence. The decrement of the erosion depth caused by the increment of the sediment diameter at large shear stress was obtained, which was usually absent in classical empirical formulas based on the bedload theory. Good agreement with experiments was achieved by the present prediction of the Nikuradse roughness, erosion depth and sediment transport rate. Discussion was mainly focused on the prediction improvement caused by considering the impact of suspended sediment and its damping to turbulence.
Nikuradse roughness (ks) is very important in the sediment transport prediction because it is related to the evaluations of the velocity distribution, shear stress and erosion depth. Dimensionless Nikuradse roughness (ks/D, where D is the sediment diameter) is usually given 1–2.5 on the immobile plan bed or at low shear stress. But it behaves differently on the mobile plan bed at high shear stress with much sediment picked up to movement when the Shields parameter (Θ) is larger than 0.8–1.0. The effective Nikuradse roughness on the mobile plan bed was derived indirectly from the erosion depth correlated to the mobile plan bed thickness considering the mass conservation in the present study. The proposed erosion depth confirmed the relation to the Shields parameters with an extra factor consisting of suspended sediment and its damping to turbulence. The decrement of the erosion depth caused by the increment of the sediment diameter at large shear stress was obtained, which was usually absent in classical empirical formulas based on the bedload theory. Good agreement with experiments was achieved by the present prediction of the Nikuradse roughness, erosion depth and sediment transport rate. Discussion was mainly focused on the prediction improvement caused by considering the impact of suspended sediment and its damping to turbulence.
2018, 32(6): 737-745.
doi: 10.1007/s13344-018-0075-0
Abstract:
The local scour around a new pile-group foundation of offshore wind turbine subjected to a bi-directional current was physically modeled with a bi-directional flow flume. In a series of experiments, the flow velocity and topography of the seabed were measured based on a system composed of plane positioning equipment and an ADV. Experimental results indicate that the development of the scour hole was fast at the beginning, but then the scour rate decreased until reaching equilibrium. Erosion would occur around each pile of the foundation. In most cases, the scour pits were connected in pairs and the outside widths of the scour holes were larger than the inner widths. The maximum scour depth occurred at the side pile of the foundation for each test. In addition, a preliminary investigation shows that the larger the flow velocity, the larger the scour hole dimensions but the shorter equilibrium time. The field maximum scour depth around the foundation was obtained based on the physical experiments with the geometric length scales of 1:27.0, 1:42.5 and 1:68.0, and it agrees with the scour depth estimated by the HEC-18 equation.
The local scour around a new pile-group foundation of offshore wind turbine subjected to a bi-directional current was physically modeled with a bi-directional flow flume. In a series of experiments, the flow velocity and topography of the seabed were measured based on a system composed of plane positioning equipment and an ADV. Experimental results indicate that the development of the scour hole was fast at the beginning, but then the scour rate decreased until reaching equilibrium. Erosion would occur around each pile of the foundation. In most cases, the scour pits were connected in pairs and the outside widths of the scour holes were larger than the inner widths. The maximum scour depth occurred at the side pile of the foundation for each test. In addition, a preliminary investigation shows that the larger the flow velocity, the larger the scour hole dimensions but the shorter equilibrium time. The field maximum scour depth around the foundation was obtained based on the physical experiments with the geometric length scales of 1:27.0, 1:42.5 and 1:68.0, and it agrees with the scour depth estimated by the HEC-18 equation.
2018, 32(6): 746-754.
doi: 10.1007/s13344-018-0076-z
Abstract:
The Shipborne acoustic communication system of the submersible Shenhai Yongshi works in vertical, horizontal and slant channels according to the relative positions. For ease of use, an array combined by a vertical-cone directional transducer and a horizontal-toroid one is installed on the mothership. Improved techniques are proposed to combat adverse channel conditions, such as frequency selectivity, non-stationary ship noise, and Doppler effects of the platform’s nonlinear movement. For coherent modulation, a turbo-coded single-carrier scheme is used. In the receiver, the sparse decision-directed Normalized Least-Mean-Square soft equalizer automatically adjusts the tap pattern and weights according to the multipath structure, the two receivers’ asymmetry, the signal’s frequency selectivity and the noise’s spectrum fluctuation. The use of turbo code in turbo equalization significantly suppresses the error floor and decreases the equalizer’s iteration times, which is verified by both the extrinsic information transfer charts and bit-error-rate performance. For noncoherent modulation, a concatenated error correction scheme of nonbinary convolutional code and Hadamard code is adopted to utilize full frequency diversity. Robust and low-complexity synchronization techniques in the time and Doppler domains are proposed. Sea trials with the submersible to a maximum depth of over 4500 m show that the shipborne communication system performs robustly during the adverse conditions. From the ten-thousand communication records in the 28 dives in 2017, the failure rate of the coherent frames and that of the noncoherent packets are both below 10%, where both synchronization errors and decoding errors are taken into account.
The Shipborne acoustic communication system of the submersible Shenhai Yongshi works in vertical, horizontal and slant channels according to the relative positions. For ease of use, an array combined by a vertical-cone directional transducer and a horizontal-toroid one is installed on the mothership. Improved techniques are proposed to combat adverse channel conditions, such as frequency selectivity, non-stationary ship noise, and Doppler effects of the platform’s nonlinear movement. For coherent modulation, a turbo-coded single-carrier scheme is used. In the receiver, the sparse decision-directed Normalized Least-Mean-Square soft equalizer automatically adjusts the tap pattern and weights according to the multipath structure, the two receivers’ asymmetry, the signal’s frequency selectivity and the noise’s spectrum fluctuation. The use of turbo code in turbo equalization significantly suppresses the error floor and decreases the equalizer’s iteration times, which is verified by both the extrinsic information transfer charts and bit-error-rate performance. For noncoherent modulation, a concatenated error correction scheme of nonbinary convolutional code and Hadamard code is adopted to utilize full frequency diversity. Robust and low-complexity synchronization techniques in the time and Doppler domains are proposed. Sea trials with the submersible to a maximum depth of over 4500 m show that the shipborne communication system performs robustly during the adverse conditions. From the ten-thousand communication records in the 28 dives in 2017, the failure rate of the coherent frames and that of the noncoherent packets are both below 10%, where both synchronization errors and decoding errors are taken into account.
ScholarOne Manuscripts Log In
Current Issue
- Volume 39
- Issue 4
- September 2025
- Editor-in-Chief:
- Superintended by:
CHINA ASSOCIATION FOR SCIENCE AND TECHNOLOGY
- Sponsored by:
Chinese Ocean Engineering Society (COES)
- Edited by:
Nanjing Hydraulic Research Institute
Highlights
Stay up to Date

Article abstracts by RSS
E-mail Alerts