2019 Vol.33(2)
Display Mode: |
						            2019, 33(2): 127-136. 
					            	doi: 10.1007/s13344-019-0013-9 
			    					
									
						        
									Abstract: 
In this paper, we establish a generalized extreme Value-Pareto distribution model and derive an analytical expression of Weibull–Pareto distribution model. Based on a data sample of 26-year wave height, we adopt the new model to estimate the design wave height for 500, 700 and 1000-year return periods. Results show that the design wave height from Weibull–Pareto distribution is between that of the Weibull distribution and that of the Pearson-III distribution. For the 500-year return period design wave height, the results from the new model is 1.601% lower than those from the Weibull distribution and 1.319% higher than those from the Pearson-III distribution. The Weibull–Pareto distribution innovatively considers the fractal features, extreme-value statistics and the truncated data in the derivation process. Therefore, it is a more holistic and practical model for estimating the design parameters in marine and coastal environments.
						     
						        
						        
						        
							  
							In this paper, we establish a generalized extreme Value-Pareto distribution model and derive an analytical expression of Weibull–Pareto distribution model. Based on a data sample of 26-year wave height, we adopt the new model to estimate the design wave height for 500, 700 and 1000-year return periods. Results show that the design wave height from Weibull–Pareto distribution is between that of the Weibull distribution and that of the Pearson-III distribution. For the 500-year return period design wave height, the results from the new model is 1.601% lower than those from the Weibull distribution and 1.319% higher than those from the Pearson-III distribution. The Weibull–Pareto distribution innovatively considers the fractal features, extreme-value statistics and the truncated data in the derivation process. Therefore, it is a more holistic and practical model for estimating the design parameters in marine and coastal environments.
						            2019, 33(2): 137-147. 
					            	doi: 10.1007/s13344-019-0014-8 
			    					
									
						        
									Abstract: 
In order to investigate the aerodynamic characteristics of 6-MW wind turbine, experimental study on the aerodynamic characteristics of the model rotor system and on characterization of a wind generation system is carried out. In the test, a thrust-matched rotor system and a geometry-matched rotor system, which utilize redesigned thrust-matched and original geometry-matched blades, respectively, are applied. The 6-MW wind turbine system is introduced briefly. The proper scaling laws for model tests are established in the paper, which are then implemented in the construction of a model wind turbine with optimally designed blades. And the parameters of the model are provided. The aerodynamic characteristics of the proposed 6-MW wind rotor system are explored by testing a 1:65.3 scale model at the State Key Laboratory of Ocean Engineering at Shanghai Jiao Tong University. Before carrying out the wind rotor system test, the turbulence intensity and spatial uniformity of the wind generation system are tested and results demonstrate that the characterization of the wind generation system is satisfied and the average turbulence intensity of less than 10% within the wind rotor plane is proved in the test. And then, the aerodynamic characteristics of 6-MW wind rotor system are investigated. The response characteristic differences between the thrust-matched rotor system and the geometry-matched rotor system are presented. Results indicate that the aerodynamic characteristics of 6-MW wind rotor with the thrust-matched rotor system are satisfied. The conclusion is that the thrust-matched rotor system can better reflect the characteristics of the prototype wind turbine. A set of model test method is proposed in the work and preparations for further model basin test of the 6-MW SPAR-type floating offshore wind turbine system are made.
						     
						        
						        
						        
							  
							In order to investigate the aerodynamic characteristics of 6-MW wind turbine, experimental study on the aerodynamic characteristics of the model rotor system and on characterization of a wind generation system is carried out. In the test, a thrust-matched rotor system and a geometry-matched rotor system, which utilize redesigned thrust-matched and original geometry-matched blades, respectively, are applied. The 6-MW wind turbine system is introduced briefly. The proper scaling laws for model tests are established in the paper, which are then implemented in the construction of a model wind turbine with optimally designed blades. And the parameters of the model are provided. The aerodynamic characteristics of the proposed 6-MW wind rotor system are explored by testing a 1:65.3 scale model at the State Key Laboratory of Ocean Engineering at Shanghai Jiao Tong University. Before carrying out the wind rotor system test, the turbulence intensity and spatial uniformity of the wind generation system are tested and results demonstrate that the characterization of the wind generation system is satisfied and the average turbulence intensity of less than 10% within the wind rotor plane is proved in the test. And then, the aerodynamic characteristics of 6-MW wind rotor system are investigated. The response characteristic differences between the thrust-matched rotor system and the geometry-matched rotor system are presented. Results indicate that the aerodynamic characteristics of 6-MW wind rotor with the thrust-matched rotor system are satisfied. The conclusion is that the thrust-matched rotor system can better reflect the characteristics of the prototype wind turbine. A set of model test method is proposed in the work and preparations for further model basin test of the 6-MW SPAR-type floating offshore wind turbine system are made.
						            2019, 33(2): 148-159. 
					            	doi: 10.1007/s13344-019-0015-7 
			    					
									
						        
									Abstract: 
In the present work, the improved version of the meshless singular boundary method (ISBM) is developed for analyzing the performance of bottom standing submerged permeable breakwaters in regular normally incident waves and in the proximity of a vertical wall. Both single and dual prismatic breakwaters of rectangular and trapezoidal forms are examined. The physical problem is cast in terms of the Laplace equation governing an irrotational flow and incompressible fluid motion with appropriate mixed type boundary conditions, and solved numerically using the ISBM. To model the permeability of the breakwaters fully absorbing boundary conditions are assumed. Numerical results are presented in terms of hydrodynamic quantities of the reflection coefficients. These are firstly validated against the results of a multi-domain boundary element method (BEM) developed independently for a previous study. The agreement between the results of the two methods is excellent. The coefficients of reflection are then computed and discussed for a variety of structural conditions including the breakwaters height, width, spacing, and absorbing permeability. Effects of the proximity of the vertical plane wall are also investigated. The breakwater’s width is found to have only marginal effects compared with its height. Permeability tends to decrease the minimum reflections. These coefficients show periodic variations with the spacing relative to the wavelength. Trapezoidal breakwaters are found to be more cost-effective than the rectangular breakwaters. Dual breakwater systems are confirmed to perform much better than single structures.
						     
						        
						        
						        
							  
							In the present work, the improved version of the meshless singular boundary method (ISBM) is developed for analyzing the performance of bottom standing submerged permeable breakwaters in regular normally incident waves and in the proximity of a vertical wall. Both single and dual prismatic breakwaters of rectangular and trapezoidal forms are examined. The physical problem is cast in terms of the Laplace equation governing an irrotational flow and incompressible fluid motion with appropriate mixed type boundary conditions, and solved numerically using the ISBM. To model the permeability of the breakwaters fully absorbing boundary conditions are assumed. Numerical results are presented in terms of hydrodynamic quantities of the reflection coefficients. These are firstly validated against the results of a multi-domain boundary element method (BEM) developed independently for a previous study. The agreement between the results of the two methods is excellent. The coefficients of reflection are then computed and discussed for a variety of structural conditions including the breakwaters height, width, spacing, and absorbing permeability. Effects of the proximity of the vertical plane wall are also investigated. The breakwater’s width is found to have only marginal effects compared with its height. Permeability tends to decrease the minimum reflections. These coefficients show periodic variations with the spacing relative to the wavelength. Trapezoidal breakwaters are found to be more cost-effective than the rectangular breakwaters. Dual breakwater systems are confirmed to perform much better than single structures.
						            2019, 33(2): 160-171. 
					            	doi: 10.1007/s13344-019-0016-6 
			    					
									
						        
									Abstract: 
With growing computational power, the first-order wave-maker theory has become well established and is widely used for numerical wave flumes. However, existing numerical models based on the first-order wave-maker theory lose accuracy as nonlinear effects become prominent. Because spurious harmonic waves and primary waves have different propagation velocities, waves simulated by using the first-order wave-maker theory have an unstable wave profile. In this paper, a numerical wave flume with a piston-type wave-maker based on the second-order wave-maker theory has been established. Dynamic mesh technique was developed. The boundary treatment for irregular wave simulation was specially dealt with. Comparisons of the free-surface elevations using the first-order and second-order wave-maker theory prove that second-order wave-maker theory can generate stable wave profiles in both the spatial and time domains. Harmonic analysis and spectral analysis were used to prove the superiority of the second-order wave-maker theory from other two aspects. To simulate irregular waves, the numerical flume was improved to solve the problem of the water depth variation due to low-frequency motion of the wave board. In summary, the new numerical flume using the second-order wave-maker theory can guarantee the accuracy of waves by adding an extra motion of the wave board. The boundary treatment method can provide a reference for the improvement of nonlinear numerical flume.
						     
						        
						        
						        
							  
							With growing computational power, the first-order wave-maker theory has become well established and is widely used for numerical wave flumes. However, existing numerical models based on the first-order wave-maker theory lose accuracy as nonlinear effects become prominent. Because spurious harmonic waves and primary waves have different propagation velocities, waves simulated by using the first-order wave-maker theory have an unstable wave profile. In this paper, a numerical wave flume with a piston-type wave-maker based on the second-order wave-maker theory has been established. Dynamic mesh technique was developed. The boundary treatment for irregular wave simulation was specially dealt with. Comparisons of the free-surface elevations using the first-order and second-order wave-maker theory prove that second-order wave-maker theory can generate stable wave profiles in both the spatial and time domains. Harmonic analysis and spectral analysis were used to prove the superiority of the second-order wave-maker theory from other two aspects. To simulate irregular waves, the numerical flume was improved to solve the problem of the water depth variation due to low-frequency motion of the wave board. In summary, the new numerical flume using the second-order wave-maker theory can guarantee the accuracy of waves by adding an extra motion of the wave board. The boundary treatment method can provide a reference for the improvement of nonlinear numerical flume.
						            2019, 33(2): 172-184. 
					            	doi: 10.1007/s13344-019-0017-5 
			    					
									
						        
									Abstract: 
This study analyzes and summarizes seven main characteristics of the marine data sampled by multiple underwater gliders. These characteristics such as the big data volume and data sparseness make it extremely difficult to do some meaningful applications like early warning of marine environment. In order to make full use of the sea trial data, this paper gives the definition of two types of marine data cube which can integrate the big marine data sampled by multiple underwater gliders along saw-tooth paths, and proposes a data fitting algorithm based on time extraction and space compression (DFTS) to construct the temperature and conductivity data cubes. This research also presents an early warning algorithm based on data cube (EWDC) to realize the early warning of a new sampled data file. Experiments results show that the proposed methods are reasonable and effective. Our work is the first study to do some realistic applications on the data sampled by multiple underwater vehicles, and it provides a research framework for processing and analyzing the big marine data oriented to the applications of underwater gliders.
						     
						        
						        
						        
							  
							This study analyzes and summarizes seven main characteristics of the marine data sampled by multiple underwater gliders. These characteristics such as the big data volume and data sparseness make it extremely difficult to do some meaningful applications like early warning of marine environment. In order to make full use of the sea trial data, this paper gives the definition of two types of marine data cube which can integrate the big marine data sampled by multiple underwater gliders along saw-tooth paths, and proposes a data fitting algorithm based on time extraction and space compression (DFTS) to construct the temperature and conductivity data cubes. This research also presents an early warning algorithm based on data cube (EWDC) to realize the early warning of a new sampled data file. Experiments results show that the proposed methods are reasonable and effective. Our work is the first study to do some realistic applications on the data sampled by multiple underwater vehicles, and it provides a research framework for processing and analyzing the big marine data oriented to the applications of underwater gliders.
						            2019, 33(2): 185-197. 
					            	doi: 10.1007/s13344-019-0018-4 
			    					
									
						        
									Abstract: 
The Bohai Sea is a seasonal icy sea area that has the lowest latitude of any sea experiencing icing in the northern hemisphere, and simulation studies on oil spills during its sea ice period are the key to analyzing winter oil spill accidents. This study applied the three-dimensional free surface to establish a high-resolution hydrodynamic model and simulate tidal distributions in the Bohai Sea. Then, the oil spill model of the open sea area and thermodynamic model were combined to establish a numerical model for the Bohai oil spill during the winter sea ice period. The hydrodynamic model and sea ice growth and melting model were verified, and the parameters were adjusted based on the measured values, which indicate that the numerical model established in this paper is of high accuracy, stability and ubiquity. Finally, after checking the calculations repeatedly, the diffusion coefficient for the Bohai Sea was determined to be 1.0×10–7 m2/s. It is better that the comprehensive weathering attenuation coefficient is lower than that of a non-winter oil spill, with 1.3×10–7 m2/s being the most appropriate coefficient. This study can provide the reliable technical support for the operational safety and reduction in losses caused by winter oil spill accidents for the petroleum industry.
						     
						        
						        
						        
							  
							The Bohai Sea is a seasonal icy sea area that has the lowest latitude of any sea experiencing icing in the northern hemisphere, and simulation studies on oil spills during its sea ice period are the key to analyzing winter oil spill accidents. This study applied the three-dimensional free surface to establish a high-resolution hydrodynamic model and simulate tidal distributions in the Bohai Sea. Then, the oil spill model of the open sea area and thermodynamic model were combined to establish a numerical model for the Bohai oil spill during the winter sea ice period. The hydrodynamic model and sea ice growth and melting model were verified, and the parameters were adjusted based on the measured values, which indicate that the numerical model established in this paper is of high accuracy, stability and ubiquity. Finally, after checking the calculations repeatedly, the diffusion coefficient for the Bohai Sea was determined to be 1.0×10–7 m2/s. It is better that the comprehensive weathering attenuation coefficient is lower than that of a non-winter oil spill, with 1.3×10–7 m2/s being the most appropriate coefficient. This study can provide the reliable technical support for the operational safety and reduction in losses caused by winter oil spill accidents for the petroleum industry.
						            2019, 33(2): 198-206. 
					            	doi: 10.1007/s13344-019-0019-3 
			    					
									
						        
									Abstract: 
The modified suction caisson (MSC) is a novel type of foundation for ocean engineering, consisting of a short external closed-top cylinder-shaped structure surrounding the upper part of the regular suction caisson (RSC). The MSC can provide larger lateral bearing capacity and limit the deflection compared with the RSC. Therefore, the MSC can be much more appropriate to use as an offshore wind turbine foundation. Model tests on the MSC in saturated sand subjected to monotonic lateral loading were carried out to investigate the effects of external structure sizes on the sand surface deformation and the earth pressure distribution along the embedded depth. Test results show that the deformation range of the sand surface increases with the increasing width and length of the external structure. The magnitude of sand upheaval around the MSC is smaller than that of the RSC and the sand upheaval value around the MSC in the loading direction decreases with the increasing external structure dimensions. The net earth pressure in the loading direction acting on the internal compartment of the MSC is smaller than that of the RSC at the same embedded depth. The maximum net earth pressure acting on the external structure outer wall in the loading direction is larger than that of the internal compartment, indicating that a considerable amount of the lateral load and moment is resisted by the external skirt structure.
						     
						        
						        
						        
							  
							The modified suction caisson (MSC) is a novel type of foundation for ocean engineering, consisting of a short external closed-top cylinder-shaped structure surrounding the upper part of the regular suction caisson (RSC). The MSC can provide larger lateral bearing capacity and limit the deflection compared with the RSC. Therefore, the MSC can be much more appropriate to use as an offshore wind turbine foundation. Model tests on the MSC in saturated sand subjected to monotonic lateral loading were carried out to investigate the effects of external structure sizes on the sand surface deformation and the earth pressure distribution along the embedded depth. Test results show that the deformation range of the sand surface increases with the increasing width and length of the external structure. The magnitude of sand upheaval around the MSC is smaller than that of the RSC and the sand upheaval value around the MSC in the loading direction decreases with the increasing external structure dimensions. The net earth pressure in the loading direction acting on the internal compartment of the MSC is smaller than that of the RSC at the same embedded depth. The maximum net earth pressure acting on the external structure outer wall in the loading direction is larger than that of the internal compartment, indicating that a considerable amount of the lateral load and moment is resisted by the external skirt structure.
						            2019, 33(2): 207-218. 
					            	doi: 10.1007/s13344-019-0020-x 
			    					
									
						        
									Abstract: 
Sediment transport capacity is a fundamental parameter in sediment transport theory and its accurate calculation is important from both theoretical and engineering viewpoints. The capacity of sediment transport has been studied extensively by many researchers in the last decades. Nevertheless, the underlying mechanism behind sediment transport capacity in estuaries remains poorly understood. The current study aims to explore the impact of the river–tide interaction on sediment transport and establish a formula of sediment transport capacity under the river–tide interaction. The impact of the river–tide interaction on the hydrodynamics and sediment dynamics in the Changjiang Estuary was analyzed, a practical method for describing the variation in tide-runoff ratio was established, and a formula of sediment transport capacity considering the impact of river–tide interaction was proposed by introducing the tide-runoff ratio. The new method bridged the gap between two well-known sediment transport capacity methods by considering the variation in the index a for the gravitational term and overcomes the drawback of distinguishing flood/dry season or spring/ebb tide in the calculation of estuarine sediment transport. A large amount of flow and sediment data obtained from the Changjiang Estuary were collected to verify the proposed formula. The effect of salt-fresh water mixture and the morphological evolution on sediment transport capacity of the Changjiang Estuary were discussed.
						     
						        
						        
						        
							  
							Sediment transport capacity is a fundamental parameter in sediment transport theory and its accurate calculation is important from both theoretical and engineering viewpoints. The capacity of sediment transport has been studied extensively by many researchers in the last decades. Nevertheless, the underlying mechanism behind sediment transport capacity in estuaries remains poorly understood. The current study aims to explore the impact of the river–tide interaction on sediment transport and establish a formula of sediment transport capacity under the river–tide interaction. The impact of the river–tide interaction on the hydrodynamics and sediment dynamics in the Changjiang Estuary was analyzed, a practical method for describing the variation in tide-runoff ratio was established, and a formula of sediment transport capacity considering the impact of river–tide interaction was proposed by introducing the tide-runoff ratio. The new method bridged the gap between two well-known sediment transport capacity methods by considering the variation in the index a for the gravitational term and overcomes the drawback of distinguishing flood/dry season or spring/ebb tide in the calculation of estuarine sediment transport. A large amount of flow and sediment data obtained from the Changjiang Estuary were collected to verify the proposed formula. The effect of salt-fresh water mixture and the morphological evolution on sediment transport capacity of the Changjiang Estuary were discussed.
						            2019, 33(2): 219-225. 
					            	doi: 10.1007/s13344-019-0021-9 
			    					
									
						        
									Abstract: 
Based on the wave radiation and diffraction theory, this paper investigates a new type breakwater with upper arc-shaped plate by using the boundary element method (BEM). By comparing with other three designs of plate type breakwater (lower arc-shaped plate, single horizontal plate and double horizontal plate), this new type breakwater has been proved more effective. The wave exiting force, transmission and reflection coefficients are analyzed and discussed. In order to reveal the wave elimination mechanism of this type of breakwater, the velocity field around the breakwater is obtained. It is shown that: (1) The sway exciting force is minimal. (2) When the ratio of the submergence and wave amplitude is 0.05, the wave elimination effect will increase by 50% compared with other three types of breakwater. (3) The obvious backflow is found above the plate in the velocity field analysis.
						     
						        
						        
						        
							  
							Based on the wave radiation and diffraction theory, this paper investigates a new type breakwater with upper arc-shaped plate by using the boundary element method (BEM). By comparing with other three designs of plate type breakwater (lower arc-shaped plate, single horizontal plate and double horizontal plate), this new type breakwater has been proved more effective. The wave exiting force, transmission and reflection coefficients are analyzed and discussed. In order to reveal the wave elimination mechanism of this type of breakwater, the velocity field around the breakwater is obtained. It is shown that: (1) The sway exciting force is minimal. (2) When the ratio of the submergence and wave amplitude is 0.05, the wave elimination effect will increase by 50% compared with other three types of breakwater. (3) The obvious backflow is found above the plate in the velocity field analysis.
						            2019, 33(2): 226-236. 
					            	doi: 10.1007/s13344-019-0022-8 
			    					
									
						        
									Abstract: 
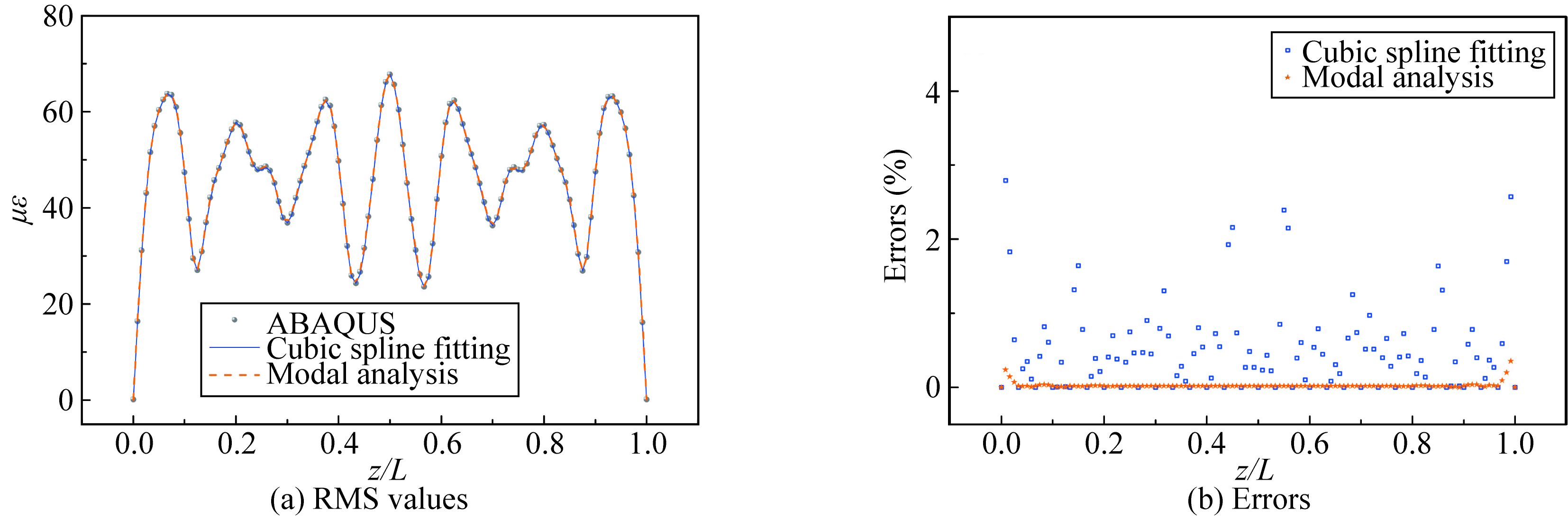
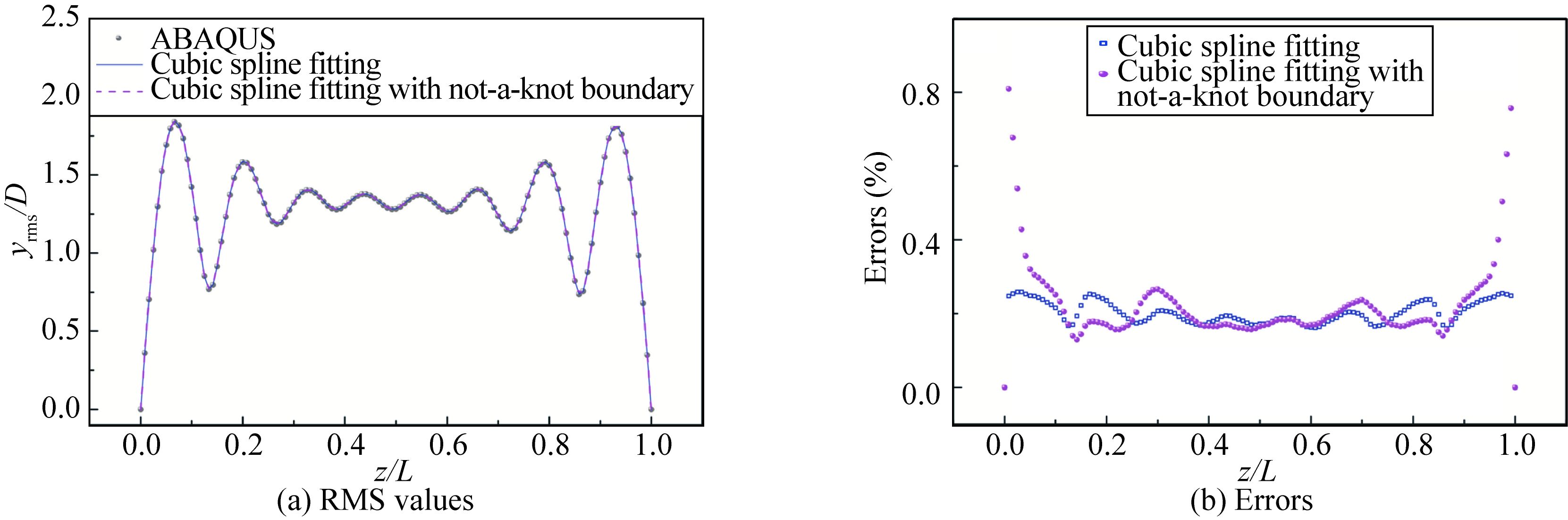
How to reconstruct a dynamic displacement of slender flexible structures is the key technology to develop smart structures and structural health monitoring (SHM), which are beneficial for controlling the structural vibration and protecting the structural safety. In this paper, the displacement reconstruction method based on cubic spline fitting is put forward to reconstruct the dynamic displacement of slender flexible structures without the knowledge of mode-shapes and applied loading. The obtained strains and displacements are compared with the results calculated by ABAQUS to check the method’s validity. It can be found that the proposed method can accurately identify the strains and displacement of slender flexible structures undergoing linear vibrations, nonlinear vibrations, and parametric vibrations. Under the concentrated force, the strains of slender flexible structures will change suddenly along the axial direction. With locally densified measurement points, the present reconstruction method still works well for the strain concentration problem.
						     
						        
						        
						        
							  
							How to reconstruct a dynamic displacement of slender flexible structures is the key technology to develop smart structures and structural health monitoring (SHM), which are beneficial for controlling the structural vibration and protecting the structural safety. In this paper, the displacement reconstruction method based on cubic spline fitting is put forward to reconstruct the dynamic displacement of slender flexible structures without the knowledge of mode-shapes and applied loading. The obtained strains and displacements are compared with the results calculated by ABAQUS to check the method’s validity. It can be found that the proposed method can accurately identify the strains and displacement of slender flexible structures undergoing linear vibrations, nonlinear vibrations, and parametric vibrations. Under the concentrated force, the strains of slender flexible structures will change suddenly along the axial direction. With locally densified measurement points, the present reconstruction method still works well for the strain concentration problem.
						            2019, 33(2): 237-244. 
					            	doi: 10.1007/s13344-019-0023-7 
			    					
									
						        
									Abstract: 
Although multiple-input multiple-output (MIMO) underwater acoustic (UWA) communication has been intensively investigated in the past years, existing works mainly focus on open-water environment. There is no work reporting MIMO acoustic communication in under-ice environment. This paper presents results from a recent MIMO acoustic communication experiment which was conducted in Bohai Gulf during winter. In this experiment, high frequency MIMO signals centered at 10 kHz were transmitted from a two-element source array to a four-element vertical receiving array at 1 km range. According to the received signal of different array elements, MIMO acoustic communication in under-ice environment suffers less effect from co-channel interference compared with that in open-water environment. In this paper, time reversal followed by a single channel decision feedback equalizer is used to process the experimental data. It is demonstrated that this simple receiver is capable of realizing robust performance using fewer hydrophones (i.e. 2) without the explicit use of complex co-channel interference cancelation algorithms, such as parallel interference cancelation or serial interference cancelation.
						     
						        
						        
						        
							  
							Although multiple-input multiple-output (MIMO) underwater acoustic (UWA) communication has been intensively investigated in the past years, existing works mainly focus on open-water environment. There is no work reporting MIMO acoustic communication in under-ice environment. This paper presents results from a recent MIMO acoustic communication experiment which was conducted in Bohai Gulf during winter. In this experiment, high frequency MIMO signals centered at 10 kHz were transmitted from a two-element source array to a four-element vertical receiving array at 1 km range. According to the received signal of different array elements, MIMO acoustic communication in under-ice environment suffers less effect from co-channel interference compared with that in open-water environment. In this paper, time reversal followed by a single channel decision feedback equalizer is used to process the experimental data. It is demonstrated that this simple receiver is capable of realizing robust performance using fewer hydrophones (i.e. 2) without the explicit use of complex co-channel interference cancelation algorithms, such as parallel interference cancelation or serial interference cancelation.
						            2019, 33(2): 245-251. 
					            	doi: 10.1007/s13344-019-0024-6 
			    					
									
						        
									Abstract: 
The International Maritime Organization has developed the second-generation intact stability criteria. Thus, damage stability criteria can be established in the future. In order to identity the capsizing probability of damaged ship under dead ship condition, this paper investigates two methods that can be used to research the capsizing probability in time domain, which mainly focus on the nonlinear righting lever GZ curve solution. One method subjects the influence of damaged tanks on the hull shape down to the wind and wave, and the other method is consistent with the real-time calculation of the GZ curve. On the basis of one degree of freedom rolling equation, the solution is Monte Carlo method, and a damaged fishery bureau vessel is taken as a sample ship. In addition, the results of the time-domain capsizing probability under different loading conditions are compared and analyzed. The relation of GM and heeling angle with the capsizing probability is investigated, and its possible reason is analyzed. On the basis of combining the time-domain flooding process with the capsizing probability calculation, this research aims to lay the foundation for the study of capsizing probability in time domain under dead ship condition, as well as provide technical support for capsizing mechanism of dead ship stability and damage stability criteria establishment in waves.
						     
						        
						        
						        
							  
							The International Maritime Organization has developed the second-generation intact stability criteria. Thus, damage stability criteria can be established in the future. In order to identity the capsizing probability of damaged ship under dead ship condition, this paper investigates two methods that can be used to research the capsizing probability in time domain, which mainly focus on the nonlinear righting lever GZ curve solution. One method subjects the influence of damaged tanks on the hull shape down to the wind and wave, and the other method is consistent with the real-time calculation of the GZ curve. On the basis of one degree of freedom rolling equation, the solution is Monte Carlo method, and a damaged fishery bureau vessel is taken as a sample ship. In addition, the results of the time-domain capsizing probability under different loading conditions are compared and analyzed. The relation of GM and heeling angle with the capsizing probability is investigated, and its possible reason is analyzed. On the basis of combining the time-domain flooding process with the capsizing probability calculation, this research aims to lay the foundation for the study of capsizing probability in time domain under dead ship condition, as well as provide technical support for capsizing mechanism of dead ship stability and damage stability criteria establishment in waves.
ScholarOne Manuscripts Log In
Current Issue
        						
			- Volume 39
 - Issue 4
 - September 2025
 
- Editor-in-Chief:
 - Superintended by:
CHINA ASSOCIATION FOR SCIENCE AND TECHNOLOGY
 - Sponsored by:
Chinese Ocean Engineering Society (COES)
 - Edited by:
Nanjing Hydraulic Research Institute
 
Highlights
Stay up to Date

Article abstracts by RSS
E-mail Alerts