2019 Vol.33(4)
Display Mode: |
2019, 33(4): 385-397.
doi: 10.1007/s13344-019-0037-1
Abstract:
This paper presents the effect of mooring diameters, fairlead slopes and pretensions on the dynamic responses of a truss spar platform in intact and damaged line conditions. The platform is modelled as a rigid body with three degrees-of-freedom and its motions are analysed in time-domain using the implicit Newmark Beta technique. The mooring restoring force-excursion relationship is evaluated using quasi-static approach. MATLAB codes DATSpar and QSAML, are developed to compute the dynamic responses of truss spar platform and to determine the mooring system stiffness. To eliminate the conventional trial and error approach in the mooring system design, a numerical tool is also developed and described in this paper for optimising the mooring configuration. It has a graphical user interface and includes regrouping particle swarm optimisation technique combined with DATSpar and QSAML. A case study of truss spar platform with ten mooring lines is analysed using this numerical tool. The results show that optimum mooring system design benefits the oil and gas industry to economise the project cost in terms of material, weight, structural load onto the platform as well as manpower requirements. This tool is useful especially for the preliminary design of truss spar platforms and its mooring system.
This paper presents the effect of mooring diameters, fairlead slopes and pretensions on the dynamic responses of a truss spar platform in intact and damaged line conditions. The platform is modelled as a rigid body with three degrees-of-freedom and its motions are analysed in time-domain using the implicit Newmark Beta technique. The mooring restoring force-excursion relationship is evaluated using quasi-static approach. MATLAB codes DATSpar and QSAML, are developed to compute the dynamic responses of truss spar platform and to determine the mooring system stiffness. To eliminate the conventional trial and error approach in the mooring system design, a numerical tool is also developed and described in this paper for optimising the mooring configuration. It has a graphical user interface and includes regrouping particle swarm optimisation technique combined with DATSpar and QSAML. A case study of truss spar platform with ten mooring lines is analysed using this numerical tool. The results show that optimum mooring system design benefits the oil and gas industry to economise the project cost in terms of material, weight, structural load onto the platform as well as manpower requirements. This tool is useful especially for the preliminary design of truss spar platforms and its mooring system.
2019, 33(4): 398-411.
doi: 10.1007/s13344-019-0038-0
Abstract:
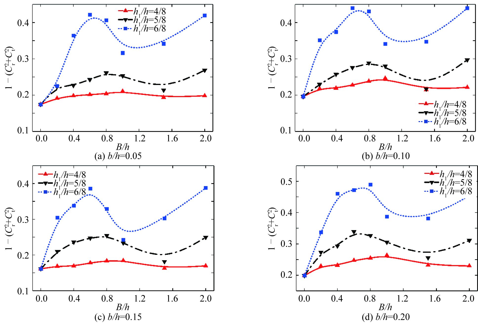
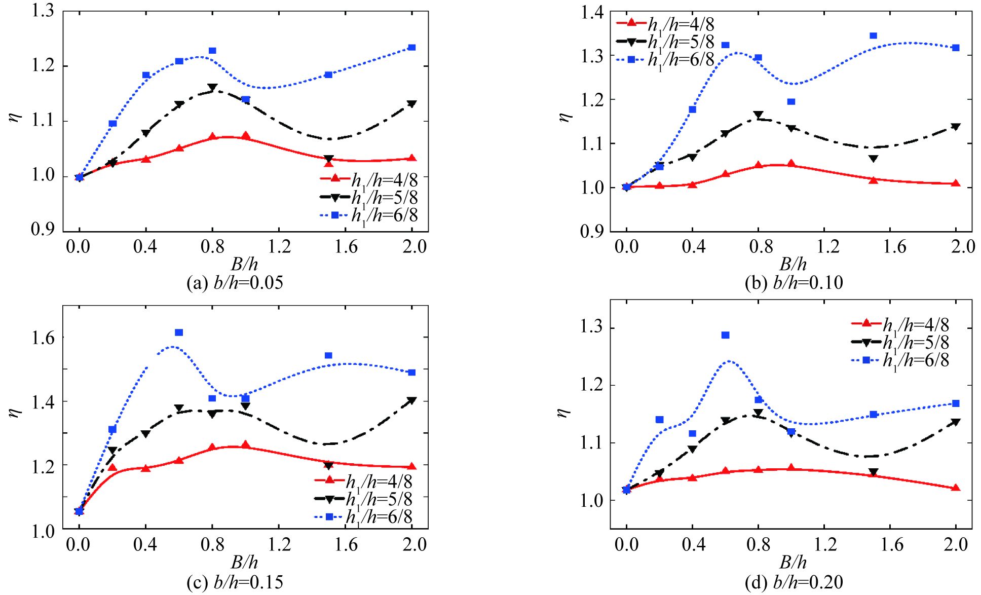
To evaluate the trapped wave energy and energy loss, the problem of wave scattering by twin fixed vertical surface-piercing plates over a stepped bottom is numerically simulated using the open source package OpenFOAM and the associated toolbox waves2Foam. The volume of fluid (VOF) method was employed to capture the free surface in the time domain. The validation of the present numerical model was performed by comparing with both the analytical and experimental results. The effects of the spacing between two plates and the configuration of stepped bottom on the hydrodynamic characteristics, such as reflection and transmission coefficients, viscous dissipation ratio, and relative wave height between the plates (termed as trapped wave energy), were examined. Moreover, the nonlinear effects of the incident wave height on the hydrodynamic characteristics were addressed as well. The results show that the step configuration can be tuned for efficient-performance of wave damping, and the optimum configurations of the step length B, the step height h1 and the spacing b, separately equaling λ/4, 3h/4, and 0.05h (λ and h are the wavelength and the water depth, respectively), are recommended for the trapping of wave energy.
To evaluate the trapped wave energy and energy loss, the problem of wave scattering by twin fixed vertical surface-piercing plates over a stepped bottom is numerically simulated using the open source package OpenFOAM and the associated toolbox waves2Foam. The volume of fluid (VOF) method was employed to capture the free surface in the time domain. The validation of the present numerical model was performed by comparing with both the analytical and experimental results. The effects of the spacing between two plates and the configuration of stepped bottom on the hydrodynamic characteristics, such as reflection and transmission coefficients, viscous dissipation ratio, and relative wave height between the plates (termed as trapped wave energy), were examined. Moreover, the nonlinear effects of the incident wave height on the hydrodynamic characteristics were addressed as well. The results show that the step configuration can be tuned for efficient-performance of wave damping, and the optimum configurations of the step length B, the step height h1 and the spacing b, separately equaling λ/4, 3h/4, and 0.05h (λ and h are the wavelength and the water depth, respectively), are recommended for the trapping of wave energy.
2019, 33(4): 412-423.
doi: 10.1007/s13344-019-0039-z
Abstract:
The swashing motion on mild beach slope is dominated by the motion of low frequency waves (LFWs). Companying such a motion, there are two types of swashing motion states, occurrence or no occurrence of LFW’s collision. The present study distinguishes the two states qualitatively by relating it to the number of generated LFWs for the case of two incident wave groups. A simplified swashing index is established theoretically for this purpose. A series of related experiments were performed to observe the generated out-going LFWs on different mild slope from 1:20 to 1:160 and to determine the critical value of the swashing index. Numerical simulations based on higher order Boussinesq equations are also performed to help the recognition of the LFWs generated in the experiment.
The swashing motion on mild beach slope is dominated by the motion of low frequency waves (LFWs). Companying such a motion, there are two types of swashing motion states, occurrence or no occurrence of LFW’s collision. The present study distinguishes the two states qualitatively by relating it to the number of generated LFWs for the case of two incident wave groups. A simplified swashing index is established theoretically for this purpose. A series of related experiments were performed to observe the generated out-going LFWs on different mild slope from 1:20 to 1:160 and to determine the critical value of the swashing index. Numerical simulations based on higher order Boussinesq equations are also performed to help the recognition of the LFWs generated in the experiment.
2019, 33(4): 424-435.
doi: 10.1007/s13344-019-0040-6
Abstract:
Complex factors including steep slopes, intense wave breaking, large bottom friction and remarkable wave setup should be considered while studying wave propagation over coral reefs, and how to simulate wave propagation and setup on coral reefs efficiently has become a primary focus. Several wave models can be used on coral reefs as have been published, but further testing and comparison of the reliability and applicability of these models are needed. A comparative study of four numerical wave models (i.e., FUNWAVE-TVD, Coulwave, NHWAVE and ZZL18) is carried out in this paper. These models’ governing equations and numerical methods are compared and analyzed firstly to obtain their differences and connections; then the simulation effects of the four wave models are tested in four representative laboratory experiments. The results show that all four models can reasonably predict the spectrum transformation. Coulwave, NHWAVE and ZZL18 can predict the wave height variation more accurately; Coulwave and FUNWAVE-TVD tend to underestimate wave setup on the reef top induced by spilling breaker, while NHWAVE and ZZL18 can predict wave setup relatively accurately for all types of breakers; NHWAVE and ZZL18 can predict wave reflection by steep reef slope more accurately. This study can provide evidence for choosing suitable models for practical engineering or establishing new models.
Complex factors including steep slopes, intense wave breaking, large bottom friction and remarkable wave setup should be considered while studying wave propagation over coral reefs, and how to simulate wave propagation and setup on coral reefs efficiently has become a primary focus. Several wave models can be used on coral reefs as have been published, but further testing and comparison of the reliability and applicability of these models are needed. A comparative study of four numerical wave models (i.e., FUNWAVE-TVD, Coulwave, NHWAVE and ZZL18) is carried out in this paper. These models’ governing equations and numerical methods are compared and analyzed firstly to obtain their differences and connections; then the simulation effects of the four wave models are tested in four representative laboratory experiments. The results show that all four models can reasonably predict the spectrum transformation. Coulwave, NHWAVE and ZZL18 can predict the wave height variation more accurately; Coulwave and FUNWAVE-TVD tend to underestimate wave setup on the reef top induced by spilling breaker, while NHWAVE and ZZL18 can predict wave setup relatively accurately for all types of breakers; NHWAVE and ZZL18 can predict wave reflection by steep reef slope more accurately. This study can provide evidence for choosing suitable models for practical engineering or establishing new models.
2019, 33(4): 436-445.
doi: 10.1007/s13344-019-0041-5
Abstract:
In order to increase the performance of horizontal tidal turbines, a multi-objective optimization model was proposed in this study. Firstly, the prediction model for horizontal tidal turbines was built, which coupled the blade element momentum (BEM) theory and the CFD calculation. Secondly, a multi-objective optimization method coupled the response surface method (RSM) with the multi-objective genetic algorithm NSGA-II was applied to obtain the optimal blade profiles. The pitch angle and the chord length distribution were chosen as the design variables, while the mean power coefficient and the variance of power coefficient were chosen as the objective functions. With the mean power coefficient improved by 4.1% and the variance of power coefficient decreased by 46.7%, results showed that both objective functions could be improved.
In order to increase the performance of horizontal tidal turbines, a multi-objective optimization model was proposed in this study. Firstly, the prediction model for horizontal tidal turbines was built, which coupled the blade element momentum (BEM) theory and the CFD calculation. Secondly, a multi-objective optimization method coupled the response surface method (RSM) with the multi-objective genetic algorithm NSGA-II was applied to obtain the optimal blade profiles. The pitch angle and the chord length distribution were chosen as the design variables, while the mean power coefficient and the variance of power coefficient were chosen as the objective functions. With the mean power coefficient improved by 4.1% and the variance of power coefficient decreased by 46.7%, results showed that both objective functions could be improved.
2019, 33(4): 446-458.
doi: 10.1007/s13344-019-0042-4
Abstract:
The study of the ultimate strength of stiffened plates is a hot topic in ocean engineering. The ultimate strength and behavior of collapse of stiffened plates were investigated using experimental and numerical methods. Two stiffened plates, with one and two half-bays in both longitudinal and transverse directions, were tested under the uniaxial compression. There were clamped boundaries at both ends of the stiffened panels and a restrained boundary on the transverse frames. The novel three-dimensional laser scanning technology was used to measure the initial geometric imperfections and the ultimate deformation of the stiffened panels after the test. The initial geometric deformation was imported into the finite element model, and the ultimate strength and behavior of collapse of the stiffened plates were calculated using the finite element analysis. FE analysis results based on the measured initial geometric imperfections were compared with the test results. It is concluded that structural deformation can be well measured by three-dimensional laser scanning technology, and can be conveniently imported into the finite element analysis. With the measured initial geometric imperfections considered, the FE analysis results agree well with the experimental results in ultimate strength, behavior of collapse, and the ultimate displacement distribution of the stiffened panels.
The study of the ultimate strength of stiffened plates is a hot topic in ocean engineering. The ultimate strength and behavior of collapse of stiffened plates were investigated using experimental and numerical methods. Two stiffened plates, with one and two half-bays in both longitudinal and transverse directions, were tested under the uniaxial compression. There were clamped boundaries at both ends of the stiffened panels and a restrained boundary on the transverse frames. The novel three-dimensional laser scanning technology was used to measure the initial geometric imperfections and the ultimate deformation of the stiffened panels after the test. The initial geometric deformation was imported into the finite element model, and the ultimate strength and behavior of collapse of the stiffened plates were calculated using the finite element analysis. FE analysis results based on the measured initial geometric imperfections were compared with the test results. It is concluded that structural deformation can be well measured by three-dimensional laser scanning technology, and can be conveniently imported into the finite element analysis. With the measured initial geometric imperfections considered, the FE analysis results agree well with the experimental results in ultimate strength, behavior of collapse, and the ultimate displacement distribution of the stiffened panels.
2019, 33(4): 459-467.
doi: 10.1007/s13344-019-0043-3
Abstract:
A phenomenological model for predicting the vortex-induced motion (VIM) of a single-column platform with non-linear stiffness has been proposed. The VIM model is based on the couple of the Duffing-van der Pol oscillators and the motion equations with non-linear terms. The model with liner stiffness is presented for comparison and their results are compared with the experiments in order to calibrate the model. The computed results show that the predicted VIM amplitudes and periods of oscillation are in qualitative agreements with the experimental data. Compared with the results with linear stiffness, it is found that the application of non-linear stiffness causes the significant reductions in the in-line and transverse motion amplitudes. Under the non-linear stiffness constraint, the lock-in behavior is still identified at 8<Ur<15, and the trajectories of the VIM on the xy plane with eight-figure patterns are maintained. The results with different non-linear geometrically parameters show that both in-line and transverse non-linear characteristics can significantly affect the predict in-line and transverse motion amplitudes. Furthermore, the computed results for different aspect ratios indicate that the in-line and transverse motion amplitudes increase with the growth of aspect ratio, and the range of lock-in region is enlarged for the large aspect ratio.
A phenomenological model for predicting the vortex-induced motion (VIM) of a single-column platform with non-linear stiffness has been proposed. The VIM model is based on the couple of the Duffing-van der Pol oscillators and the motion equations with non-linear terms. The model with liner stiffness is presented for comparison and their results are compared with the experiments in order to calibrate the model. The computed results show that the predicted VIM amplitudes and periods of oscillation are in qualitative agreements with the experimental data. Compared with the results with linear stiffness, it is found that the application of non-linear stiffness causes the significant reductions in the in-line and transverse motion amplitudes. Under the non-linear stiffness constraint, the lock-in behavior is still identified at 8<Ur<15, and the trajectories of the VIM on the xy plane with eight-figure patterns are maintained. The results with different non-linear geometrically parameters show that both in-line and transverse non-linear characteristics can significantly affect the predict in-line and transverse motion amplitudes. Furthermore, the computed results for different aspect ratios indicate that the in-line and transverse motion amplitudes increase with the growth of aspect ratio, and the range of lock-in region is enlarged for the large aspect ratio.
2019, 33(4): 468-476.
doi: 10.1007/s13344-019-0044-2
Abstract:
The mathematical model based on the Volume-Averaged/Reynolds-Averaged Navier–Stokes (VARANS) equations has been adopted in recent years to generally simulate the interaction between waves and porous structures. However, it is still hard to determine the two experimental coefficients (\begin{document}$ {\textit{α}}$\end{document} ![]()
![]()
and \begin{document}$ {\textit{β}}$\end{document} ![]()
![]()
) included in VARANS equations. In the present study, VARANS equation is adopted to describe the flow inside and outside the porous structures uniformly, with applying the volume averaged \begin{document}$ k-{\textit{ε}}$\end{document} ![]()
![]()
model to simulate the turbulence effect. A new calibration method is used to evaluate the accuracy of numerical simulation of wave motion on porous seabed with different coefficients, by taking the wave damping rate as an index. The calibration is achieved by completing a simulation matrix on two calibration cases. A region can be found in the parameter space to produce a lower error, which means that the simulation results are better consistent with the experimental results.
The mathematical model based on the Volume-Averaged/Reynolds-Averaged Navier–Stokes (VARANS) equations has been adopted in recent years to generally simulate the interaction between waves and porous structures. However, it is still hard to determine the two experimental coefficients (
2019, 33(4): 477-483.
doi: 10.1007/s13344-019-0045-1
Abstract:
The main purpose of this paper is to obtain the wave solutions of conformable time fractional Boussinesq– Whitham–Broer–Kaup equation arising as a model of shallow water waves. For this aim, the authors employed auxiliary equation method which is based on a nonlinear ordinary differential equation. By using conformable wave transform and chain rule, a nonlinear fractional partial differential equation is converted to a nonlinear ordinary differential equation. This is a significant impact because neither Caputo definition nor Riemann–Liouville definition satisfies the chain rule. While the exact solutions of the fractional partial derivatives cannot be obtained due to the existing drawbacks of Caputo or Riemann–Liouville definitions, the reliable solutions can be achieved for the equations defined by conformable fractional derivatives.
The main purpose of this paper is to obtain the wave solutions of conformable time fractional Boussinesq– Whitham–Broer–Kaup equation arising as a model of shallow water waves. For this aim, the authors employed auxiliary equation method which is based on a nonlinear ordinary differential equation. By using conformable wave transform and chain rule, a nonlinear fractional partial differential equation is converted to a nonlinear ordinary differential equation. This is a significant impact because neither Caputo definition nor Riemann–Liouville definition satisfies the chain rule. While the exact solutions of the fractional partial derivatives cannot be obtained due to the existing drawbacks of Caputo or Riemann–Liouville definitions, the reliable solutions can be achieved for the equations defined by conformable fractional derivatives.
2019, 33(4): 484-492.
doi: 10.1007/s13344-019-0046-0
Abstract:
In this study we have for the first time proposed a novel transformed linear simulation method for the estimation of wave crest amplitudes distribution and freak wave occurrence in a short crested mixed sea with a bimodal 3D spectrum. For implementing the proposed transformed linear simulation method, a Hermite transformation model expressed in a monotonic cubic polynomial has been constructed so that the first four moments of the original true process match the corresponding moments of the transformed model. The proposed novel simulation method has been applied to forecast the freak wave occurrence in two short crested mixed sea states, one with a directional wave spectrum based on the measured surface elevation data at the coast of Yura, and the other one with a typical directional bimodal Torsethaugen wave spectrum. It is shown in the two cases that the proposed novel simulation method can offer more accurate forecasting results than those obtained from the traditional linear simulation method or by using Rayleigh distribution model. It is also demonstrated in this article that the proposed novel simulation method is more efficient than the nonlinear simulation method.
In this study we have for the first time proposed a novel transformed linear simulation method for the estimation of wave crest amplitudes distribution and freak wave occurrence in a short crested mixed sea with a bimodal 3D spectrum. For implementing the proposed transformed linear simulation method, a Hermite transformation model expressed in a monotonic cubic polynomial has been constructed so that the first four moments of the original true process match the corresponding moments of the transformed model. The proposed novel simulation method has been applied to forecast the freak wave occurrence in two short crested mixed sea states, one with a directional wave spectrum based on the measured surface elevation data at the coast of Yura, and the other one with a typical directional bimodal Torsethaugen wave spectrum. It is shown in the two cases that the proposed novel simulation method can offer more accurate forecasting results than those obtained from the traditional linear simulation method or by using Rayleigh distribution model. It is also demonstrated in this article that the proposed novel simulation method is more efficient than the nonlinear simulation method.
2019, 33(4): 493-502.
doi: 10.1007/s13344-019-0047-z
Abstract:
Model tests are often conducted by researchers in a real or a numerical towing tank to calculate residuary resistance of a ship with the aid of Froude similarity. Common ITTC-1957 formula is usually employed to calculate frictional resistance. As computer technologies develop over time, CFD tools are used for calculating total resistance of a ship at full scale without establishing any dynamic similarities. In this paper, both Froude and Reynolds similarities are numerically implemented to four different model scales by using virtual fluids. The total resistance at different Fr numbers calculated by the numerical study is validated against the experimental data of DTMB 5512 (L=3.048 m) model hull. The results show that establishing Froude and Reynolds similarities together in numerical simulation is possible in principle. To determine whether it has advantages for prediction of full-scale ship total resistance by employing this method, it is also examined the model scale with the same number of elements and Reynolds number of the full-scale ship. Results show that numerical calculation of total resistance for a full-scale ship in a model scale by defining virtual fluids has only slight advantages on the prediction of residuary resistance. Additionally, no advantage in the calculation of frictional resistance is observed.
Model tests are often conducted by researchers in a real or a numerical towing tank to calculate residuary resistance of a ship with the aid of Froude similarity. Common ITTC-1957 formula is usually employed to calculate frictional resistance. As computer technologies develop over time, CFD tools are used for calculating total resistance of a ship at full scale without establishing any dynamic similarities. In this paper, both Froude and Reynolds similarities are numerically implemented to four different model scales by using virtual fluids. The total resistance at different Fr numbers calculated by the numerical study is validated against the experimental data of DTMB 5512 (L=3.048 m) model hull. The results show that establishing Froude and Reynolds similarities together in numerical simulation is possible in principle. To determine whether it has advantages for prediction of full-scale ship total resistance by employing this method, it is also examined the model scale with the same number of elements and Reynolds number of the full-scale ship. Results show that numerical calculation of total resistance for a full-scale ship in a model scale by defining virtual fluids has only slight advantages on the prediction of residuary resistance. Additionally, no advantage in the calculation of frictional resistance is observed.
2019, 33(4): 503-508.
doi: 10.1007/s13344-019-0048-y
Abstract:
The paper focuses on Cassini oval pressure hulls under uniform external pressure. The Cassini oval pressure hull is proposed based on the shape index of Cassini oval. The buckling of a series of Cassini oval pressure hulls with the shape index of 0.09–0.30 and one spherical pressure hull with the diameter of 2 m is devoted. Such hulls are numerically studied in the case of constant volume, material properties, and wall thickness. The results show that Cassini oval pressure hulls with the shape index of 0.10–0.11 can resist about 4% more external pressure than the spherical one. This deviates from the classical mechanics conclusion that spherical shell is the optimal shape for underwater pressure resistant structures.
The paper focuses on Cassini oval pressure hulls under uniform external pressure. The Cassini oval pressure hull is proposed based on the shape index of Cassini oval. The buckling of a series of Cassini oval pressure hulls with the shape index of 0.09–0.30 and one spherical pressure hull with the diameter of 2 m is devoted. Such hulls are numerically studied in the case of constant volume, material properties, and wall thickness. The results show that Cassini oval pressure hulls with the shape index of 0.10–0.11 can resist about 4% more external pressure than the spherical one. This deviates from the classical mechanics conclusion that spherical shell is the optimal shape for underwater pressure resistant structures.
ScholarOne Manuscripts Log In
Current Issue

- Volume 39
- Issue 4
- September 2025
- Editor-in-Chief:
- Superintended by:
CHINA ASSOCIATION FOR SCIENCE AND TECHNOLOGY
- Sponsored by:
Chinese Ocean Engineering Society (COES)
- Edited by:
Nanjing Hydraulic Research Institute
Highlights
Stay up to Date
