2020 Vol.34(1)
Display Mode: |
2020, 34(1): 1-9.
doi: 10.1007/s13344-020-0001-0
Abstract:
Drag anchor is one of the most commonly used anchorage foundation types. The prediction of embedded trajectory in the process of drag anchor installation is of great importance to the safety design of mooring system. In this paper, the ultimate anchor holding capacity in the seabed soil is calculated through the established finite element model, and then the embedded motion trajectory is predicted applying the incremental calculation method. Firstly, the drag anchor initial embedded depth and inclination angle are assumed, which are regarded as the start embedded point. Secondly, in each incremental step, the incremental displacement of drag anchor is added along the parallel direction of anchor plate, so the displacement increment of drag anchor in the horizontal and vertical directions can be calculated. Thirdly, the finite element model of anchor is established considering the seabed soil and anchor interaction, and the ultimate drag anchor holding capacity at new position can be obtained. Fourthly, the angle between inverse catenary mooring line and horizontal plane at the attachment point at this increment step can be calculated through the inverse catenary equation. Finally, the incremental step is ended until the angle of drag anchor and seabed soil is zero as the ultimate embedded state condition, thus, the whole embedded trajectory of drag anchor is obtained. Meanwhile, the influences of initial parameter changes on the embedded trajectory are considered. Based on the proposed method, the prediction of drag anchor trajectory and the holding capacity of mooring position system can be provided.
Drag anchor is one of the most commonly used anchorage foundation types. The prediction of embedded trajectory in the process of drag anchor installation is of great importance to the safety design of mooring system. In this paper, the ultimate anchor holding capacity in the seabed soil is calculated through the established finite element model, and then the embedded motion trajectory is predicted applying the incremental calculation method. Firstly, the drag anchor initial embedded depth and inclination angle are assumed, which are regarded as the start embedded point. Secondly, in each incremental step, the incremental displacement of drag anchor is added along the parallel direction of anchor plate, so the displacement increment of drag anchor in the horizontal and vertical directions can be calculated. Thirdly, the finite element model of anchor is established considering the seabed soil and anchor interaction, and the ultimate drag anchor holding capacity at new position can be obtained. Fourthly, the angle between inverse catenary mooring line and horizontal plane at the attachment point at this increment step can be calculated through the inverse catenary equation. Finally, the incremental step is ended until the angle of drag anchor and seabed soil is zero as the ultimate embedded state condition, thus, the whole embedded trajectory of drag anchor is obtained. Meanwhile, the influences of initial parameter changes on the embedded trajectory are considered. Based on the proposed method, the prediction of drag anchor trajectory and the holding capacity of mooring position system can be provided.
A Numerical Investigation of the Reduction of Solitary Wave Runup by A Row of Vertical Slotted Piles
2020, 34(1): 10-20.
doi: 10.1007/s13344-020-0002-z
Abstract:
To improve the current understanding of the reduction of tsunami-like solitary wave runup by the pile breakwater on a sloping beach, we developed a 3D numerical wave tank based on the CFD tool OpenFOAM® in this study. The Navier−Stokes equations were applied to solve the two-phase incompressible flow, combined with an LES model to solve the turbulence and a VOF method to capture the free surface. The adopted model was firstly validated with existing empirical formulas for solitary wave runup on the slope without the pile structure. It is then validated using our new laboratory observations of the free surface elevation, the velocity and the pressure around a row of vertical slotted piles subjected to solitary waves, as well as the wave runup on the slope behind the piles. Subsequently, a set of numerical simulations were implemented to analyze the wave reflection, the wave transmission, and the shoreline runup with various offshore wave heights, offshore water depths, adjacent pile spaces and beach slopes. Finally, an improved empirical equation accounting for the maximum wave runup on the slope was proposed by taking the presence of the pile breakwater into consideration.
To improve the current understanding of the reduction of tsunami-like solitary wave runup by the pile breakwater on a sloping beach, we developed a 3D numerical wave tank based on the CFD tool OpenFOAM® in this study. The Navier−Stokes equations were applied to solve the two-phase incompressible flow, combined with an LES model to solve the turbulence and a VOF method to capture the free surface. The adopted model was firstly validated with existing empirical formulas for solitary wave runup on the slope without the pile structure. It is then validated using our new laboratory observations of the free surface elevation, the velocity and the pressure around a row of vertical slotted piles subjected to solitary waves, as well as the wave runup on the slope behind the piles. Subsequently, a set of numerical simulations were implemented to analyze the wave reflection, the wave transmission, and the shoreline runup with various offshore wave heights, offshore water depths, adjacent pile spaces and beach slopes. Finally, an improved empirical equation accounting for the maximum wave runup on the slope was proposed by taking the presence of the pile breakwater into consideration.
2020, 34(1): 21-29.
doi: 10.1007/s13344-020-0003-y
Abstract:
As drilling operations move into remote locations and extreme water depths, recoil analysis requires more careful considerations and the incidence of emergency disconnect is increased inevitably. To accurately capture the recoil dynamics of a deep-water riser in an emergency disconnect scenario, researchers typically focus on modelling the influential subsystems (e.g., the tensioner, the mud discharge and seawater refilling process) which can be solved in the preprocessing, and then the determined parameters are transmitted into an existing global riser analysis software. Distinctively, the current study devotes efforts into the coupling effects resulting from that the suspended riser reacts the platform heave motion via the tensioner system in the course of recoil and the discharging fluid column follows the oscillation of the riser in the mud discharge process. Four simulation models are established based on lumped mass method employing different formulas for the top boundary condition of the riser and the discharging flow acceleration. It demonstrates that the coupling effects discussed above can significantly affect the recoil behavior during the transition phase from initial disconnect to the final hang-off state. It is recommended to develop a fully-coupled integrated model for recoil analysis and anti-recoil control system design before extreme deep-water applications.
As drilling operations move into remote locations and extreme water depths, recoil analysis requires more careful considerations and the incidence of emergency disconnect is increased inevitably. To accurately capture the recoil dynamics of a deep-water riser in an emergency disconnect scenario, researchers typically focus on modelling the influential subsystems (e.g., the tensioner, the mud discharge and seawater refilling process) which can be solved in the preprocessing, and then the determined parameters are transmitted into an existing global riser analysis software. Distinctively, the current study devotes efforts into the coupling effects resulting from that the suspended riser reacts the platform heave motion via the tensioner system in the course of recoil and the discharging fluid column follows the oscillation of the riser in the mud discharge process. Four simulation models are established based on lumped mass method employing different formulas for the top boundary condition of the riser and the discharging flow acceleration. It demonstrates that the coupling effects discussed above can significantly affect the recoil behavior during the transition phase from initial disconnect to the final hang-off state. It is recommended to develop a fully-coupled integrated model for recoil analysis and anti-recoil control system design before extreme deep-water applications.
2020, 34(1): 30-45.
doi: 10.1007/s13344-020-0004-x
Abstract:
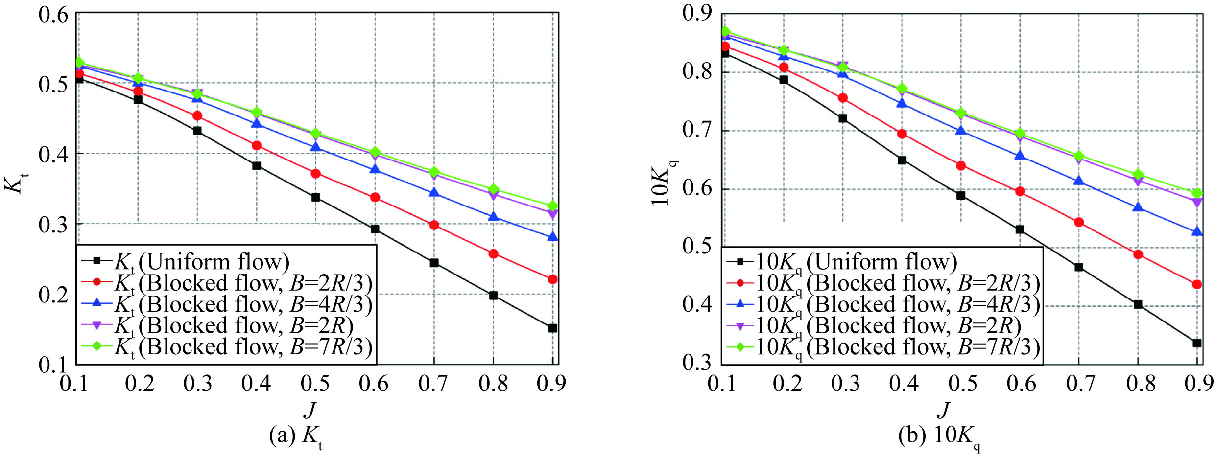
During ice-breaking navigation, a massive amount of crushed ice blocks with different sizes is accumulated under the hull of an ice-going ship. This ice slides into the flow field in the forward side of the podded propulsor, affecting the surrounding flow field and aggravating the non-uniformity of the propeller wake. A pulsating load is formed on the propeller, which affects the hydrodynamic performance of the podded propulsor. To study the changes in the propeller hydrodynamic performance during the ice–podded propulsor interaction, the overlapping grid technique is used to simulate the unsteady hydrodynamic performance of the podded propulsor at different propeller rotation angles and different ice block sizes. Hence, the hydrodynamic blade behavior during propeller rotation under the interaction between the ice and podded propulsor is discussed. The unsteady propeller loads and surrounding flow fields obtained for ice blocks with different sizes interacting with the podded propulsor are analyzed in detail. The variation in the hydrodynamic performance during the circular motion of a propeller and the influence of ice size variation on the propeller thrust and torque are determined. The calculation results have certain reference significance for experiment-based research, theoretical calculations and numerical simulation concerning ice–podded propulsor interaction.
During ice-breaking navigation, a massive amount of crushed ice blocks with different sizes is accumulated under the hull of an ice-going ship. This ice slides into the flow field in the forward side of the podded propulsor, affecting the surrounding flow field and aggravating the non-uniformity of the propeller wake. A pulsating load is formed on the propeller, which affects the hydrodynamic performance of the podded propulsor. To study the changes in the propeller hydrodynamic performance during the ice–podded propulsor interaction, the overlapping grid technique is used to simulate the unsteady hydrodynamic performance of the podded propulsor at different propeller rotation angles and different ice block sizes. Hence, the hydrodynamic blade behavior during propeller rotation under the interaction between the ice and podded propulsor is discussed. The unsteady propeller loads and surrounding flow fields obtained for ice blocks with different sizes interacting with the podded propulsor are analyzed in detail. The variation in the hydrodynamic performance during the circular motion of a propeller and the influence of ice size variation on the propeller thrust and torque are determined. The calculation results have certain reference significance for experiment-based research, theoretical calculations and numerical simulation concerning ice–podded propulsor interaction.
2020, 34(1): 46-55.
doi: 10.1007/s13344-020-0005-9
Abstract:
This paper numerically and experimentally investigates the hydrodynamic interaction between two semi-submersible type VLFS modules in the frequency domain. Model tests were conducted to investigate the relationship between interactions and wave headings. Numerical studies were performed by solving the radiation-diffraction problem and were validated against the experimental results. Motion Response Amplitude Operators (RAOs) were obtained from numerical and experimental studies. The dependency of the hydrodynamic interaction effect on wave headings is clarified. The influence of different wave periods on the motion responses of two-module VLFS and wave elevations in the gap is studied. The results indicate that the hydrodynamic interactions of the two modules are directly related to the wave headings and the periods of the incident wave. The shielding effect plays an important role in short wave, and the influence decreases with the increase of the incident wavelength. The numerical results based on the diffraction-radiation code can give a relatively good estimation to the responses in short wave while for long wave, it would over-predict the response.
This paper numerically and experimentally investigates the hydrodynamic interaction between two semi-submersible type VLFS modules in the frequency domain. Model tests were conducted to investigate the relationship between interactions and wave headings. Numerical studies were performed by solving the radiation-diffraction problem and were validated against the experimental results. Motion Response Amplitude Operators (RAOs) were obtained from numerical and experimental studies. The dependency of the hydrodynamic interaction effect on wave headings is clarified. The influence of different wave periods on the motion responses of two-module VLFS and wave elevations in the gap is studied. The results indicate that the hydrodynamic interactions of the two modules are directly related to the wave headings and the periods of the incident wave. The shielding effect plays an important role in short wave, and the influence decreases with the increase of the incident wavelength. The numerical results based on the diffraction-radiation code can give a relatively good estimation to the responses in short wave while for long wave, it would over-predict the response.
2020, 34(1): 56-68.
doi: 10.1007/s13344-020-0006-8
Abstract:
The numerical method of lines (MOLs) in coordination with the classical fourth-order Runge‒Kutta (RK(4, 4)) method is used to solve shallow water equations (SWEs) for foreseeing water levels owing to the nonlinear interaction of tide and surge accompanying with a storm along the coast of Bangladesh. The SWEs are developed by extending the body forces with tide generating forces (TGFs). Spatial variables of the SWEs along with the boundary conditions are approximated by means of finite difference technique on an Arakawa C-grid to attain a system of ordinary differential equations (ODEs) of initial valued in time, which are being solved with the aid of the RK(4, 4) method. Nested grid technique is adopted to solve coastal complexities closely with least computational cost. A stable tidal solution in the region of our choice is produced by applying the tidal forcing with the major tidal constituent M2 (lunar semi-diurnal) along the southern open-sea boundary of the outer scheme. Numerical experimentations are carried out to simulate water levels generated by the cyclonic storm AILA along the coast of Bangladesh. The model simulated results are found to be in a reasonable agreement with the limited available reported data and observations.
The numerical method of lines (MOLs) in coordination with the classical fourth-order Runge‒Kutta (RK(4, 4)) method is used to solve shallow water equations (SWEs) for foreseeing water levels owing to the nonlinear interaction of tide and surge accompanying with a storm along the coast of Bangladesh. The SWEs are developed by extending the body forces with tide generating forces (TGFs). Spatial variables of the SWEs along with the boundary conditions are approximated by means of finite difference technique on an Arakawa C-grid to attain a system of ordinary differential equations (ODEs) of initial valued in time, which are being solved with the aid of the RK(4, 4) method. Nested grid technique is adopted to solve coastal complexities closely with least computational cost. A stable tidal solution in the region of our choice is produced by applying the tidal forcing with the major tidal constituent M2 (lunar semi-diurnal) along the southern open-sea boundary of the outer scheme. Numerical experimentations are carried out to simulate water levels generated by the cyclonic storm AILA along the coast of Bangladesh. The model simulated results are found to be in a reasonable agreement with the limited available reported data and observations.
2020, 34(1): 69-79.
doi: 10.1007/s13344-020-0007-7
Abstract:
For the growth and departure of bubbles from an orifice, a free energy lattice Boltzmann model is adopted to deal with this complex multiphase flow phenomenon. A virtual layer is set at the boundary of the flow domain to deal with the no-slip boundary condition. Effects of the viscosity, surface tension, gas inertial force and buoyancy on the characteristics of bubbles when they grow and departure from an orifice in quiescent liquid are studied. The releasing period and departure diameter of the bubble are influenced by the residual gas at the orifice, and the interaction between bubbles is taken into consideration. The relations between the releasing period or departure diameter and the gravity acceleration show fair agreements with previous numerical and theoretical results. And the influence of the gas outflow velocity on bubble formation is discussed as well. For the bubbles growing in cross-flow field, effects of the cross-flow speed and the gas outflow velocity on the bubble formation are discussed, which is related to the application in ship resistance reduction. And optimal choice of the ship speed and gas outflow velocity is studied. Cases in this paper also prove that this high density ratio LBM model has its flexibility and effectiveness on multiphase flow simulations.
For the growth and departure of bubbles from an orifice, a free energy lattice Boltzmann model is adopted to deal with this complex multiphase flow phenomenon. A virtual layer is set at the boundary of the flow domain to deal with the no-slip boundary condition. Effects of the viscosity, surface tension, gas inertial force and buoyancy on the characteristics of bubbles when they grow and departure from an orifice in quiescent liquid are studied. The releasing period and departure diameter of the bubble are influenced by the residual gas at the orifice, and the interaction between bubbles is taken into consideration. The relations between the releasing period or departure diameter and the gravity acceleration show fair agreements with previous numerical and theoretical results. And the influence of the gas outflow velocity on bubble formation is discussed as well. For the bubbles growing in cross-flow field, effects of the cross-flow speed and the gas outflow velocity on the bubble formation are discussed, which is related to the application in ship resistance reduction. And optimal choice of the ship speed and gas outflow velocity is studied. Cases in this paper also prove that this high density ratio LBM model has its flexibility and effectiveness on multiphase flow simulations.
2020, 34(1): 80-88.
doi: 10.1007/s13344-020-0008-6
Abstract:
The mechanisms of soil−structure interaction have drawn much attention in the past years in the installation and operation of jack-up platform. A bionic spudcan produced by biomimetic of egg and snail shell is proposed, and the performance of the penetration and extraction are analyzed by numerical method. The geometric contour of egg and snail shell is measured, and its mathematical model is established respectively. According to the structure of existing spudcan of jack-up platform, three kinds of typical biomimetic spudcan are designed. Furthermore, numerical analysis models of biomimetic spudcan are established respectively to study the soil−structure interaction mechanism in the process of penetration and extraction, and contrastive analysis of resistance characteristics are carried out. To conclude, the results show that the biomimetic spudcan facilitates the platform installation, and it is also beneficial to the improvement of the bearing capacity of spudcan.
The mechanisms of soil−structure interaction have drawn much attention in the past years in the installation and operation of jack-up platform. A bionic spudcan produced by biomimetic of egg and snail shell is proposed, and the performance of the penetration and extraction are analyzed by numerical method. The geometric contour of egg and snail shell is measured, and its mathematical model is established respectively. According to the structure of existing spudcan of jack-up platform, three kinds of typical biomimetic spudcan are designed. Furthermore, numerical analysis models of biomimetic spudcan are established respectively to study the soil−structure interaction mechanism in the process of penetration and extraction, and contrastive analysis of resistance characteristics are carried out. To conclude, the results show that the biomimetic spudcan facilitates the platform installation, and it is also beneficial to the improvement of the bearing capacity of spudcan.
2020, 34(1): 89-98.
doi: 10.1007/s13344-020-0009-5
Abstract:
Comprehensive experimental and numerical studies have been undertaken to investigate wave energy dissipation performance and main influencing factors of a lower arc-plate breakwater. The numerical model, which considers nonlinear interactions between waves and the arc-plate breakwater, has been constructed by using the velocity wave-generating method, the volume of fluid (VOF) method and the finite volume method. The results show that the relative width, relative height and relative submergence of the breakwater are three main influencing factors and have significant influence on wave energy dissipation of the lower arc-plate open breakwater. The transmission coefficient is found to decrease with the increasing relative width, and the minimum transmission coefficient is 0.15 when the relative width is 0.45. The reflection coefficient is found to vary slightly with the relative width, and the maximum reflection coefficient is 0.53 when the relative width is 0.45. The transmission and reflection coefficients are shown to increase with the relative wave height for approximately 85% of the experimental tests when the relative width is 0.19−0.45. The transmission coefficients at relative submergences of −0.04, −0.02 and 0 are clearly shown to be greater than those at relative submergences of 0.02 and 0.04, while the reflection coefficient exhibits the opposite relationship. After the wave interacts with the lower arc-plate breakwater, the wave energy is mainly converted into transmission, reflection and dissipation energies. The wave attenuation performance is clearly weakened for waves with greater heights and longer periods.
Comprehensive experimental and numerical studies have been undertaken to investigate wave energy dissipation performance and main influencing factors of a lower arc-plate breakwater. The numerical model, which considers nonlinear interactions between waves and the arc-plate breakwater, has been constructed by using the velocity wave-generating method, the volume of fluid (VOF) method and the finite volume method. The results show that the relative width, relative height and relative submergence of the breakwater are three main influencing factors and have significant influence on wave energy dissipation of the lower arc-plate open breakwater. The transmission coefficient is found to decrease with the increasing relative width, and the minimum transmission coefficient is 0.15 when the relative width is 0.45. The reflection coefficient is found to vary slightly with the relative width, and the maximum reflection coefficient is 0.53 when the relative width is 0.45. The transmission and reflection coefficients are shown to increase with the relative wave height for approximately 85% of the experimental tests when the relative width is 0.19−0.45. The transmission coefficients at relative submergences of −0.04, −0.02 and 0 are clearly shown to be greater than those at relative submergences of 0.02 and 0.04, while the reflection coefficient exhibits the opposite relationship. After the wave interacts with the lower arc-plate breakwater, the wave energy is mainly converted into transmission, reflection and dissipation energies. The wave attenuation performance is clearly weakened for waves with greater heights and longer periods.
2020, 34(1): 99-109.
doi: 10.1007/s13344-020-0010-z
Abstract:
The dynamic behavior of floating offshore wind turbine (FOWT) is crucial for its design and optimization. A novel dynamics analysis method for the spar-type FOWT system is proposed in this paper based on the theorem of moment of momentum and the Newton’s second law. The full nonlinearity of the equations of motion (EOMs) and the full nonlinear coupling between external loads and the motions are preserved in this method. Compared with the conventional methods, this method is more transparent and it can be applied directly to the large-amplitude rotation cases. An in-house code is developed to implement this method. The capability of in-house code is verified by comparing its simulation results with those predicted by FAST. Based on the in-house code, the dynamic responses of a spar-type FOWT system are investigated under various conditions.
The dynamic behavior of floating offshore wind turbine (FOWT) is crucial for its design and optimization. A novel dynamics analysis method for the spar-type FOWT system is proposed in this paper based on the theorem of moment of momentum and the Newton’s second law. The full nonlinearity of the equations of motion (EOMs) and the full nonlinear coupling between external loads and the motions are preserved in this method. Compared with the conventional methods, this method is more transparent and it can be applied directly to the large-amplitude rotation cases. An in-house code is developed to implement this method. The capability of in-house code is verified by comparing its simulation results with those predicted by FAST. Based on the in-house code, the dynamic responses of a spar-type FOWT system are investigated under various conditions.
2020, 34(1): 110-118.
doi: 10.1007/s13344-020-0011-y
Abstract:
In this study, 1D and 2D shallow-water models were coupled to simulate unsteady flow in channel networks and embayment. The 1D model solved the 1D shallow-water equations (St. Venant) using the Preissmann box method and targeted long narrow reaches of the river networks, while the 2D model targeted broad channels and embayment and solved the 2D shallow-water equations using a semi-implicit scheme applied to an unstructured grid of triangular cells. The 1D and 2D models were solved simultaneously by building a matrix for the free surface elevation at every 1D junction and 2D cell center. Velocities were then computed explicitly based on the results at the previous time step and the updated water level. The originality of the scheme arose from a novel coupling method. The results showed that the coupled 1D/2D model produced identical results as the full 2D model in classical to benchmark problems with considerable savings in computational effort. Application of the model to the Pearl River Estuary in southern China showed that complex patterns of tidal wave propagation could be efficiently modeled.
In this study, 1D and 2D shallow-water models were coupled to simulate unsteady flow in channel networks and embayment. The 1D model solved the 1D shallow-water equations (St. Venant) using the Preissmann box method and targeted long narrow reaches of the river networks, while the 2D model targeted broad channels and embayment and solved the 2D shallow-water equations using a semi-implicit scheme applied to an unstructured grid of triangular cells. The 1D and 2D models were solved simultaneously by building a matrix for the free surface elevation at every 1D junction and 2D cell center. Velocities were then computed explicitly based on the results at the previous time step and the updated water level. The originality of the scheme arose from a novel coupling method. The results showed that the coupled 1D/2D model produced identical results as the full 2D model in classical to benchmark problems with considerable savings in computational effort. Application of the model to the Pearl River Estuary in southern China showed that complex patterns of tidal wave propagation could be efficiently modeled.
2020, 34(1): 119-130.
doi: 10.1007/s13344-020-0012-x
Abstract:
Owing to the complex environmental conditions, suspension could induce complicated forces on submarine pipelines and even cause vortex-induced vibration, resulting in fatigue damage of pipelines. Through aiming at the 28-inch submarine pipeline in the East China Sea, the pipeline was segmented according to the similarity, considering the factors of pipe assembly, typhoon, current, wave and seabed topography. The effects of span length on natural frequency in each section of submarine pipeline were analyzed by finite element model. The maximum safe span length allowed by each pipeline section was verified by fatigue cumulative damage theory, and the fatigue life of each pipeline section were predicted. The results showed that each order natural frequency of the pipeline decreased with the increase of span length. The calculated results of empirical formulas were much smaller than those of the FEM analysis. The increase of the gap between the suspended pipeline and the seabed was beneficial to enhance the fatigue life of the suspended pipeline.
Owing to the complex environmental conditions, suspension could induce complicated forces on submarine pipelines and even cause vortex-induced vibration, resulting in fatigue damage of pipelines. Through aiming at the 28-inch submarine pipeline in the East China Sea, the pipeline was segmented according to the similarity, considering the factors of pipe assembly, typhoon, current, wave and seabed topography. The effects of span length on natural frequency in each section of submarine pipeline were analyzed by finite element model. The maximum safe span length allowed by each pipeline section was verified by fatigue cumulative damage theory, and the fatigue life of each pipeline section were predicted. The results showed that each order natural frequency of the pipeline decreased with the increase of span length. The calculated results of empirical formulas were much smaller than those of the FEM analysis. The increase of the gap between the suspended pipeline and the seabed was beneficial to enhance the fatigue life of the suspended pipeline.
2020, 34(1): 131-136.
doi: 10.1007/s13344-020-0013-9
Abstract:
According to the characteristics of submerged floating tunnel anchored by tension legs, simplifying the tube as point mass and assuming that the tension leg is a nonlinear beam model hinged at both ends, the nonlinear vibration equation of the tension leg is derived. The equation is solved by the Galerkin method and Runge−Kutta method. Subsequently, numerical analysis of typical submerged floating tunnel tension leg is carried out. It is shown that, the parametric vibration response of the submerged floating tunnel tension leg is related to the amplitude and frequency of the end excitation. Without considering axial resonance and transverse resonance, it is reasonable that higher order modes are abandoned and only the first three modes are considered. The axial resonance amplitude of the second or third order mode is equivalent to the first order mode axial resonance amplitude, which should not be ignored.
According to the characteristics of submerged floating tunnel anchored by tension legs, simplifying the tube as point mass and assuming that the tension leg is a nonlinear beam model hinged at both ends, the nonlinear vibration equation of the tension leg is derived. The equation is solved by the Galerkin method and Runge−Kutta method. Subsequently, numerical analysis of typical submerged floating tunnel tension leg is carried out. It is shown that, the parametric vibration response of the submerged floating tunnel tension leg is related to the amplitude and frequency of the end excitation. Without considering axial resonance and transverse resonance, it is reasonable that higher order modes are abandoned and only the first three modes are considered. The axial resonance amplitude of the second or third order mode is equivalent to the first order mode axial resonance amplitude, which should not be ignored.
2020, 34(1): 137-150.
doi: 10.1007/s13344-020-0014-8
Abstract:
Tidal current power is one of the promising and reliable renewable energies with the advantage of continuous and predictable resource. It can make stable electricity regardless of weather conditions or seasons all year around. The required technologies for tidal current power in the ocean have been developed for years and now recognized that it could be commercialized after intensive field tests and successful demonstrations. There are several tidal farm development projects in the world, such as the MeyGen project in UK with its commercialization at hand. However, various research subjects in the tidal current energy field are seeking improvements and industrialization of tidal current power in terms of economy and technical reliability. This paper introduces the resource assessment procedure of tidal energy that has been applied in Korea coastal regions. The key research subjects for tidal current power together with the interaction effect of multi-arrangement is described. Also, this paper is to introduce the research output of each subject such as turbine design, experimental validation, turbine interaction and wake, multi-array module, FSI (fluid-structure interaction), and duct application.
Tidal current power is one of the promising and reliable renewable energies with the advantage of continuous and predictable resource. It can make stable electricity regardless of weather conditions or seasons all year around. The required technologies for tidal current power in the ocean have been developed for years and now recognized that it could be commercialized after intensive field tests and successful demonstrations. There are several tidal farm development projects in the world, such as the MeyGen project in UK with its commercialization at hand. However, various research subjects in the tidal current energy field are seeking improvements and industrialization of tidal current power in terms of economy and technical reliability. This paper introduces the resource assessment procedure of tidal energy that has been applied in Korea coastal regions. The key research subjects for tidal current power together with the interaction effect of multi-arrangement is described. Also, this paper is to introduce the research output of each subject such as turbine design, experimental validation, turbine interaction and wake, multi-array module, FSI (fluid-structure interaction), and duct application.
ScholarOne Manuscripts Log In
Current Issue

- Volume 39
- Issue 4
- September 2025
- Editor-in-Chief:
- Superintended by:
CHINA ASSOCIATION FOR SCIENCE AND TECHNOLOGY
- Sponsored by:
Chinese Ocean Engineering Society (COES)
- Edited by:
Nanjing Hydraulic Research Institute
Highlights
Stay up to Date
