2020 Vol.34(2)
Display Mode: |
2020, 34(2): 151-161.
doi: 10.1007/s13344-020-0015-7
Abstract:
In order to investigate the effect of internal friction of umbilical cable on its vortex-induced vibration (VIV) responses, the experimental study on VIV of bond umbilical cable (BUC) and un-bond umbilical cable (UBUC) was carried out in an experimental tank. A current generator in the laboratory simulated the uniform current, and the current velocities were observed in real time by using a Doppler Velocimeter. In addition, different sizes of top tension were applied to the umbilical cable model. The VIV responses of the umbilical cable model were measured by using Fiber Bragg grating (FBG) strain sensors. The displacement responses of umbilical cable model were reconstructed based on the experimental strain data processed by modal superposition method. In this paper, the traveling wave characteristics, the spatial-temporal distribution characteristics of frequency and fatigue damage of the BUC and UBUC under VIV are studied. The experimental results show that there are obvious differences between BUC and UBUC in the response characteristics of VIV. The UBUC appears the traveling wave sooner than BUC, but its standing wave characteristics are more obvious than those of BUC at high velocities. Compared with BUC, the spatial-temporal distribution of UBUC frequencies appears wide-band distribution sooner, but has narrower bandwidth in the "lock-in" state. The level of fatigue damage of BUC was approximately the same as that of UBUC.
In order to investigate the effect of internal friction of umbilical cable on its vortex-induced vibration (VIV) responses, the experimental study on VIV of bond umbilical cable (BUC) and un-bond umbilical cable (UBUC) was carried out in an experimental tank. A current generator in the laboratory simulated the uniform current, and the current velocities were observed in real time by using a Doppler Velocimeter. In addition, different sizes of top tension were applied to the umbilical cable model. The VIV responses of the umbilical cable model were measured by using Fiber Bragg grating (FBG) strain sensors. The displacement responses of umbilical cable model were reconstructed based on the experimental strain data processed by modal superposition method. In this paper, the traveling wave characteristics, the spatial-temporal distribution characteristics of frequency and fatigue damage of the BUC and UBUC under VIV are studied. The experimental results show that there are obvious differences between BUC and UBUC in the response characteristics of VIV. The UBUC appears the traveling wave sooner than BUC, but its standing wave characteristics are more obvious than those of BUC at high velocities. Compared with BUC, the spatial-temporal distribution of UBUC frequencies appears wide-band distribution sooner, but has narrower bandwidth in the "lock-in" state. The level of fatigue damage of BUC was approximately the same as that of UBUC.
2020, 34(2): 162-171.
doi: 10.1007/s13344-020-0016-6
Abstract:
Wave hydrodynamics over fringing reefs is largely controlled by the reef surface roughness and hydrodynamic forcing. It is believed that climate change will result in a net increase in the water depth over the reef flat, a degrading of the surface roughness of coral reefs and changes in extreme incident wave heights. For an accurate assessment of how climate change affects the safety of reef-fringed coasts, a numerical study of the impact of climate change on irregular wave run-up over reef-fringed coasts was carried out based on a Boussinesq wave model, FUNWAVE-TVD. Validated with experimental data, the present model shows reasonable prediction of irregular wave evolution and run-up height over fringing reefs. Numerical experiments were then implemented based on the anticipated effects of climate change and carried out to investigate the effects of sea level rise, degrading of the reef surface roughness and increase of extreme incident wave height on the irregular wave run-up height over the back-reef beach respectively. Variations of run-up components (i.e., spectral characteristics of run-up and mean water level) were examined specifically and discussed to better understand the influencing mechanism of each climate change-related effect on the run-up.
Wave hydrodynamics over fringing reefs is largely controlled by the reef surface roughness and hydrodynamic forcing. It is believed that climate change will result in a net increase in the water depth over the reef flat, a degrading of the surface roughness of coral reefs and changes in extreme incident wave heights. For an accurate assessment of how climate change affects the safety of reef-fringed coasts, a numerical study of the impact of climate change on irregular wave run-up over reef-fringed coasts was carried out based on a Boussinesq wave model, FUNWAVE-TVD. Validated with experimental data, the present model shows reasonable prediction of irregular wave evolution and run-up height over fringing reefs. Numerical experiments were then implemented based on the anticipated effects of climate change and carried out to investigate the effects of sea level rise, degrading of the reef surface roughness and increase of extreme incident wave height on the irregular wave run-up height over the back-reef beach respectively. Variations of run-up components (i.e., spectral characteristics of run-up and mean water level) were examined specifically and discussed to better understand the influencing mechanism of each climate change-related effect on the run-up.
2020, 34(2): 172-184.
doi: 10.1007/s13344-020-0017-5
Abstract:
Helical strakes have been widely applied for suppressing the vibration of flexible cylinders undergoing vortex-shedding in offshore engineering. However, most research works have concerned on the application of helical strakes for the isolated flexible cylinder subjected to vortex-induced vibration (VIV). The effectiveness of helical strakes attached to side-by-side flexible cylinders in vibration reduction is still unclear. In this paper, the response characteristics of two side-by-side flexible cylinders with and without helical strakes were experimentally investigated in a towing tank. The configuration of the helical strakes used in the experiment had a pitch of 17.5D and a height of 0.25D (where D is the cylinder diameter), which is usually considered the most effective for VIV suppression of isolated marine risers and tendons. The center-to-center distance of the two cylinders was 3.0D. The uniform flow with a velocity ranging from 0.05 m/s to 1.0 m/s was generated by towing the cylinder models along the tank. Experimental results, including the displacement amplitude, the dominant frequency, the dominant mode, and the mean drag force coefficient, were summarized and discussed. For the case where only one cylinder in the two-cylinder system had helical strakes, the experimental results indicated that helical strakes can remarkably reduce the flow-induced vibration (FIV) of the staked cylinder. For the case of two straked cylinders in a side-by-side arrangement, it was found that the performance of helical strakes in suppressing the FIV is as good as that for the isolated cylinder.
Helical strakes have been widely applied for suppressing the vibration of flexible cylinders undergoing vortex-shedding in offshore engineering. However, most research works have concerned on the application of helical strakes for the isolated flexible cylinder subjected to vortex-induced vibration (VIV). The effectiveness of helical strakes attached to side-by-side flexible cylinders in vibration reduction is still unclear. In this paper, the response characteristics of two side-by-side flexible cylinders with and without helical strakes were experimentally investigated in a towing tank. The configuration of the helical strakes used in the experiment had a pitch of 17.5D and a height of 0.25D (where D is the cylinder diameter), which is usually considered the most effective for VIV suppression of isolated marine risers and tendons. The center-to-center distance of the two cylinders was 3.0D. The uniform flow with a velocity ranging from 0.05 m/s to 1.0 m/s was generated by towing the cylinder models along the tank. Experimental results, including the displacement amplitude, the dominant frequency, the dominant mode, and the mean drag force coefficient, were summarized and discussed. For the case where only one cylinder in the two-cylinder system had helical strakes, the experimental results indicated that helical strakes can remarkably reduce the flow-induced vibration (FIV) of the staked cylinder. For the case of two straked cylinders in a side-by-side arrangement, it was found that the performance of helical strakes in suppressing the FIV is as good as that for the isolated cylinder.
2020, 34(2): 185-197.
doi: 10.1007/s13344-020-0018-4
Abstract:
In this paper, a methodology for designing mooring system deployment for vessels at varying water depths is proposed. The Non-dominated Sorting Genetic Algorithm-II (NSGA-II) is combined with a self-dependently developed vessel-mooring coupled program to find the optimal mooring system deployment considering both station-keeping requirements and the safety of the mooring system. Two case studies are presented to demonstrate the methodology by designing the mooring system deployments for a very large floating structure (VLFS) module and a semi-submersible platform respectively at three different water depths. It can be concluded from the obtained results that the mooring system can achieve a better station-keeping ability with relatively shorter mooring line when deployed in the shallow water. The safety factor of mooring line is mainly dominated by the maximum instantaneous tension increment in the shallow water, while the pre-tension has a decisive influence on the safety factor of the mooring line in the deep water.
In this paper, a methodology for designing mooring system deployment for vessels at varying water depths is proposed. The Non-dominated Sorting Genetic Algorithm-II (NSGA-II) is combined with a self-dependently developed vessel-mooring coupled program to find the optimal mooring system deployment considering both station-keeping requirements and the safety of the mooring system. Two case studies are presented to demonstrate the methodology by designing the mooring system deployments for a very large floating structure (VLFS) module and a semi-submersible platform respectively at three different water depths. It can be concluded from the obtained results that the mooring system can achieve a better station-keeping ability with relatively shorter mooring line when deployed in the shallow water. The safety factor of mooring line is mainly dominated by the maximum instantaneous tension increment in the shallow water, while the pre-tension has a decisive influence on the safety factor of the mooring line in the deep water.
2020, 34(2): 198-209.
doi: 10.1007/s13344-020-0019-3
Abstract:
The morphological evolution characteristics of the North−South Passage area since the construction of the Yangtze Estuary Deepwater Navigation Channel Project (DNCP) are analyzed on the basis of the measured data. A two-dimensional morphodynamics numerical model of the Yangtze Estuary is established to verify the morphological evolution of the North−South Passage under the influence of the DNCP and to predict the future evolution in the next 40 years. Data analysis shows that the North Passage has experienced rapid adjustment stages and adaptive stages after the construction of the DNCP. Slow erosion occurred along the main channel, and slow siltation could be observed in the area between the groins. The South Passage showed a state of upper section erosion and down section deposition. At present, the whole South Passage is in a slight erosion state. According to the numerical model, the eroding and silting speed of the North Passage will slow down in the future. The present state that erosion occurs in the main channel and siltation occurs between the groins will continue. The South Passage will still maintain upper section erosion and down section deposition in the future. Due to the main channel erosion of the North Passage and siltation of the South Passage, the sediment division ratio of the North Passage will increase in the future but still be smaller than 50%. After morphological evolution of 40 years, the direction of residual sediment transport caused by M2 and M4 tidal components in the North Passage has not changed, but the transport rate will decrease. It is considered that the morphological evolution of the North−South Passage could reach a relatively stable state after 40 years.
The morphological evolution characteristics of the North−South Passage area since the construction of the Yangtze Estuary Deepwater Navigation Channel Project (DNCP) are analyzed on the basis of the measured data. A two-dimensional morphodynamics numerical model of the Yangtze Estuary is established to verify the morphological evolution of the North−South Passage under the influence of the DNCP and to predict the future evolution in the next 40 years. Data analysis shows that the North Passage has experienced rapid adjustment stages and adaptive stages after the construction of the DNCP. Slow erosion occurred along the main channel, and slow siltation could be observed in the area between the groins. The South Passage showed a state of upper section erosion and down section deposition. At present, the whole South Passage is in a slight erosion state. According to the numerical model, the eroding and silting speed of the North Passage will slow down in the future. The present state that erosion occurs in the main channel and siltation occurs between the groins will continue. The South Passage will still maintain upper section erosion and down section deposition in the future. Due to the main channel erosion of the North Passage and siltation of the South Passage, the sediment division ratio of the North Passage will increase in the future but still be smaller than 50%. After morphological evolution of 40 years, the direction of residual sediment transport caused by M2 and M4 tidal components in the North Passage has not changed, but the transport rate will decrease. It is considered that the morphological evolution of the North−South Passage could reach a relatively stable state after 40 years.
2020, 34(2): 210-222.
doi: 10.1007/s13344-020-0020-x
Abstract:
The characteristics of swells within the East China Sea have been reported byTao et al. (2017) , while the question of where the swells come from remains unanswered. By using the wave model WAVEWATCH III and the swell tracking method proposed by Hanson (2001) , the spatial sources of the swells are investigated during four typical typhoon scenarios, which usually affect the wave environment in the East China Sea, including the Recurving type, the Northward type, the Westward type (striking the East China Sea) and the Westward type (over the South China Sea). The numerical results show that parts of the swells are from the North West Pacific with a long-distance travelling. The moving paths of the swells are affected by the typhoon tracks, which result in various fetches. The Westward type (over the South China Sea) makes one peak in the evolution process. The landing process of the Westward type (striking the East China Sea) could result in swells with low energy. The swell energy depends on swell propagation distance, existence time and wind intensity of generation fetch. The consistent fetch and forceful wind intensity make swell carry more energy.
The characteristics of swells within the East China Sea have been reported by
2020, 34(2): 223-231.
doi: 10.1007/s13344-020-0021-9
Abstract:
Based on blade element momentum theory and generator characteristic test, a dynamic simulation model of 150 kW horizontal-axis tidal current turbine was established. The matching of the dynamic characteristics between the turbine and generator under various current velocities is studied, and the influence of the pitch angle on the matching is analyzed. For the problem of maximum power output in case of low current speed and limiting power in high current speed, the relation between optimal pitch angle and output power is analyzed. On the basis of dynamic characteristic analysis, the variable pitch control strategy is developed. The performance of the turbine under various tidal conditions is simulated. The research results show that the designed controller enables the turbine to operate efficiently under the condition of low current speed, and achieve the goal of limited power at high current speed.
Based on blade element momentum theory and generator characteristic test, a dynamic simulation model of 150 kW horizontal-axis tidal current turbine was established. The matching of the dynamic characteristics between the turbine and generator under various current velocities is studied, and the influence of the pitch angle on the matching is analyzed. For the problem of maximum power output in case of low current speed and limiting power in high current speed, the relation between optimal pitch angle and output power is analyzed. On the basis of dynamic characteristic analysis, the variable pitch control strategy is developed. The performance of the turbine under various tidal conditions is simulated. The research results show that the designed controller enables the turbine to operate efficiently under the condition of low current speed, and achieve the goal of limited power at high current speed.
2020, 34(2): 232-244.
doi: 10.1007/s13344-020-0022-8
Abstract:
In this study, non-cavitating and cavitating flow around the benchmark DTMB 4119 model propeller are solved using both viscous and potential based solvers. Cavitating and non-cavitating propeller radiated noises are then predicted by using a hybrid method in which RANS (Reynolds-averaged Navier−Stokes) and FWH (Ffowcs Williams Hawkings) equations are solved together in open water conditions. Sheet cavitation on the propeller blades is modelled by using a VOF (Volume of Fiuld) method equipped with Schnerr−Sauer cavitation model. Nevertheless, tip vortex cavitation noise is estimated by using two different semi-empirical techniques, namely Tip Vortex Index (TVI, based on potential flow theory) and Tip Vortex Contribution (TVC). As the reference distance between noise source and receiver is not defined in open water case for TVI technique, one of the outputs of this study is to propose a reference distance for TVI technique by coupling two semi-empirical techniques and ITTC distance normalization. At the defined distance, the starting point of the tip vortex cavitation is determined for different advance ratios and cavitation numbers using potential flow solver. Also, it is examined that whether the hybrid method and potential flow solver give the same noise results at the inception point of tip vortex cavitation. Results show that TVI method based on potential flow theory is reliable and can practically be used to replace the hybrid method (RANS with FWH approach) when tip vortex cavitation starts.
In this study, non-cavitating and cavitating flow around the benchmark DTMB 4119 model propeller are solved using both viscous and potential based solvers. Cavitating and non-cavitating propeller radiated noises are then predicted by using a hybrid method in which RANS (Reynolds-averaged Navier−Stokes) and FWH (Ffowcs Williams Hawkings) equations are solved together in open water conditions. Sheet cavitation on the propeller blades is modelled by using a VOF (Volume of Fiuld) method equipped with Schnerr−Sauer cavitation model. Nevertheless, tip vortex cavitation noise is estimated by using two different semi-empirical techniques, namely Tip Vortex Index (TVI, based on potential flow theory) and Tip Vortex Contribution (TVC). As the reference distance between noise source and receiver is not defined in open water case for TVI technique, one of the outputs of this study is to propose a reference distance for TVI technique by coupling two semi-empirical techniques and ITTC distance normalization. At the defined distance, the starting point of the tip vortex cavitation is determined for different advance ratios and cavitation numbers using potential flow solver. Also, it is examined that whether the hybrid method and potential flow solver give the same noise results at the inception point of tip vortex cavitation. Results show that TVI method based on potential flow theory is reliable and can practically be used to replace the hybrid method (RANS with FWH approach) when tip vortex cavitation starts.
2020, 34(2): 245-256.
doi: 10.1007/s13344-020-0023-7
Abstract:
This paper presents a multi-Bernoulli filter for tracking the direction of arrival (DOAs) of time-varying number of targets using sensor array. Our method operates directly on the measurements of sensor array and does not require any detection. Firstly, more information is reserved and compared with the after-detection measurements using a finite set of detected points. It can significantly improve the tracking performance, especially in low signal-to-noise ratio. Secondly, it inherits the advantages of the multi-Bernoulli approximation which models each of the targets individually. This allows more accurate multi-target state estimation, especially when targets cross. The proposed filter does not need clustering step and simulation results showcase the improved performance of the proposed filter.
This paper presents a multi-Bernoulli filter for tracking the direction of arrival (DOAs) of time-varying number of targets using sensor array. Our method operates directly on the measurements of sensor array and does not require any detection. Firstly, more information is reserved and compared with the after-detection measurements using a finite set of detected points. It can significantly improve the tracking performance, especially in low signal-to-noise ratio. Secondly, it inherits the advantages of the multi-Bernoulli approximation which models each of the targets individually. This allows more accurate multi-target state estimation, especially when targets cross. The proposed filter does not need clustering step and simulation results showcase the improved performance of the proposed filter.
2020, 34(2): 257-266.
doi: 10.1007/s13344-020-0024-6
Abstract:
Drag anchor is widely applied in offshore engineering for offshore mooring systems. The prediction of the invisible trajectory during its drag-in installation is challenging for anchor design in determining the anchor final position for ensuring sufficient holding capacity. The yield envelope method based on deep anchor failure for kinematic analysis was proposed as a promising trajectory prediction method for drag anchor. However, there is a lack of analysis on the effects of the parameters applied in the kinematic analysis. The current work studies the effects of the yield envelope parameters, anchor line bearing capacity factor and the anchor/soil interface friction. It is found that the accuracy of the yield envelope parameters has large impact on the prediction results based on deep yield envelopes. Analyses of cases with smooth fluke predict deeper embedment depth than that from analyses of cases with rough fluke. The decrease of the capacity factor results in the increase of the anchor embedment depth, the anchor line load, the anchor chain angle and the stable value of the normalized horizontal load component for the same drag length, while the stable value of the normalized vertical load component decreases when the capacity factor decreases. This illustrates the importance in applying reasonable parameters and improving the method for more reliable prediction of the anchor trajectory.
Drag anchor is widely applied in offshore engineering for offshore mooring systems. The prediction of the invisible trajectory during its drag-in installation is challenging for anchor design in determining the anchor final position for ensuring sufficient holding capacity. The yield envelope method based on deep anchor failure for kinematic analysis was proposed as a promising trajectory prediction method for drag anchor. However, there is a lack of analysis on the effects of the parameters applied in the kinematic analysis. The current work studies the effects of the yield envelope parameters, anchor line bearing capacity factor and the anchor/soil interface friction. It is found that the accuracy of the yield envelope parameters has large impact on the prediction results based on deep yield envelopes. Analyses of cases with smooth fluke predict deeper embedment depth than that from analyses of cases with rough fluke. The decrease of the capacity factor results in the increase of the anchor embedment depth, the anchor line load, the anchor chain angle and the stable value of the normalized horizontal load component for the same drag length, while the stable value of the normalized vertical load component decreases when the capacity factor decreases. This illustrates the importance in applying reasonable parameters and improving the method for more reliable prediction of the anchor trajectory.
2020, 34(2): 267-278.
doi: 10.1007/s13344-020-0025-5
Abstract:
Suction caisson foundations are often subjected to vertical uplift loads, but there are still no wide and spread engineering specifications on design and calculation method for uplift bearing capacity of suction caisson foundation. So it is important to establish an uplift failure criterion. In order to study the uplift bearing mechanism and failure mode of suction caisson foundation, a series of model tests were carried out considering the effects of aspect ratio, soil permeability and loading mode. Test results indicate that the residual negative pressure at the top of caisson is beneficial to enhance uplift bearing capacity. The smaller the permeability coefficient is, the higher the residual negative pressure will be. And the residual negative pressure is approximately equal to the water head that causes seepage in the caisson. When the load reaches the ultimate bearing capacity, both the top and bottom negative pressures are smaller than Su and both the top and bottom reverse bearing capacity factors are smaller than 1.0 in soft clay. Combined the uplift bearing characteristics of caisson in sandy soil and soft clay, the bearing capacity composition and the calculation method are proposed. It can provide a reference for the engineering design of suction caisson foundation under vertical load.
Suction caisson foundations are often subjected to vertical uplift loads, but there are still no wide and spread engineering specifications on design and calculation method for uplift bearing capacity of suction caisson foundation. So it is important to establish an uplift failure criterion. In order to study the uplift bearing mechanism and failure mode of suction caisson foundation, a series of model tests were carried out considering the effects of aspect ratio, soil permeability and loading mode. Test results indicate that the residual negative pressure at the top of caisson is beneficial to enhance uplift bearing capacity. The smaller the permeability coefficient is, the higher the residual negative pressure will be. And the residual negative pressure is approximately equal to the water head that causes seepage in the caisson. When the load reaches the ultimate bearing capacity, both the top and bottom negative pressures are smaller than Su and both the top and bottom reverse bearing capacity factors are smaller than 1.0 in soft clay. Combined the uplift bearing characteristics of caisson in sandy soil and soft clay, the bearing capacity composition and the calculation method are proposed. It can provide a reference for the engineering design of suction caisson foundation under vertical load.
2020, 34(2): 279-288.
doi: 10.1007/s13344-020-0026-4
Abstract:
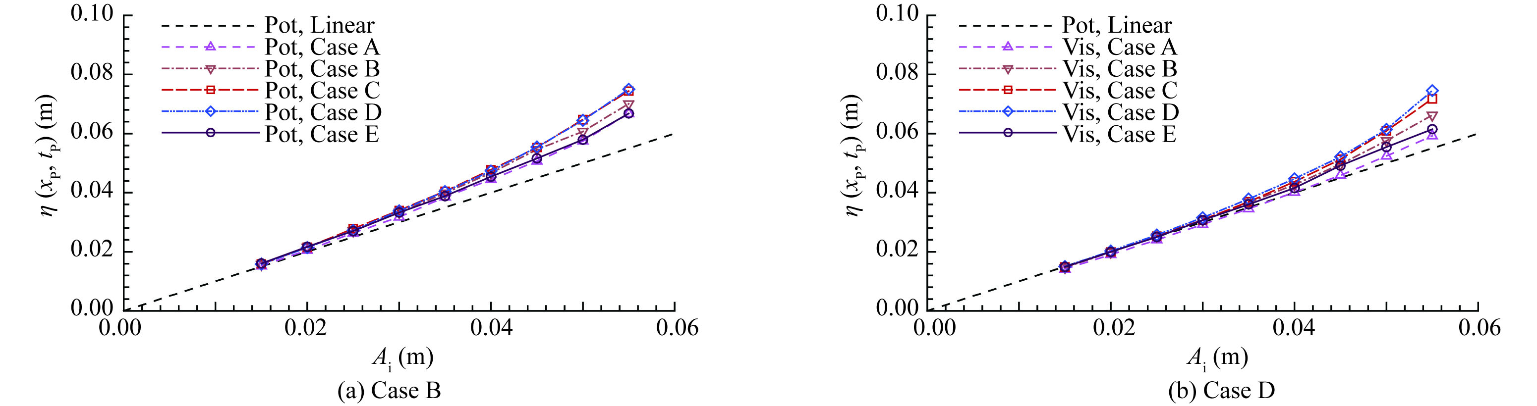
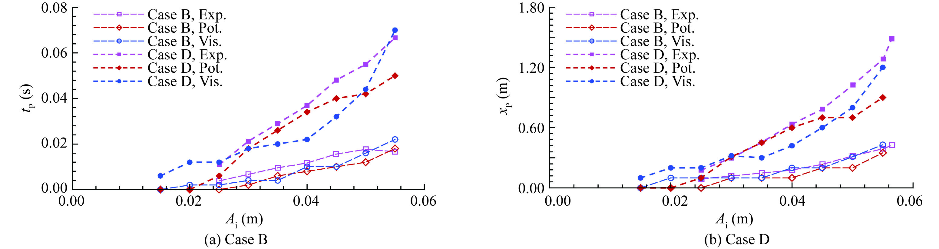
Numerical simulations on focused wave propagation are carried out by using three types of numerical models, including the linear potential flow, the nonlinear potential flow and the viscous fluid flow models. The wave−wave interaction of the focused wave group with different frequency bands and input wave amplitudes is examined, by which the influence of free surface nonlinearity and fluid viscosity on the related phenomenon of focused wave is investigated. The significant influence of free surface nonlinearity on the characteristics of focused wave can be observed, including the increased focused wave crest, delayed focused time and downstream shift of focused position with the increase of input amplitude. It can plot the evident difference between the results of the nonlinear potential flow and linear potential flow models. However, only a little discrepancy between the nonlinear potential flow and viscous fluid flow models can be observed, implying the insignificant effect of fluid viscosity on focused wave behavior. Therefore, the nonlinear potential flow model is recommended for simulating the non-breaking focused wave problem in this study.
Numerical simulations on focused wave propagation are carried out by using three types of numerical models, including the linear potential flow, the nonlinear potential flow and the viscous fluid flow models. The wave−wave interaction of the focused wave group with different frequency bands and input wave amplitudes is examined, by which the influence of free surface nonlinearity and fluid viscosity on the related phenomenon of focused wave is investigated. The significant influence of free surface nonlinearity on the characteristics of focused wave can be observed, including the increased focused wave crest, delayed focused time and downstream shift of focused position with the increase of input amplitude. It can plot the evident difference between the results of the nonlinear potential flow and linear potential flow models. However, only a little discrepancy between the nonlinear potential flow and viscous fluid flow models can be observed, implying the insignificant effect of fluid viscosity on focused wave behavior. Therefore, the nonlinear potential flow model is recommended for simulating the non-breaking focused wave problem in this study.
2020, 34(2): 289-298.
doi: 10.1007/s13344-020-0027-3
Abstract:
The paper studies the parametric stochastic roll motion in the random waves. The differential equation of the ship parametric roll under random wave is established with considering the nonlinear damping and ship speed. Random sea surface is treated as a narrow-band stochastic process, and the stochastic parametric excitation is studied based on the effective wave theory. The nonlinear restored arm function obtained from the numerical simulation is expressed as the approximate analytic function. By using the stochastic averaging method, the differential equation of motion is transformed into Ito’s stochastic differential equation. The steady-state probability density function of roll motion is obtained, and the results are validated with the numerical simulation and model test.
The paper studies the parametric stochastic roll motion in the random waves. The differential equation of the ship parametric roll under random wave is established with considering the nonlinear damping and ship speed. Random sea surface is treated as a narrow-band stochastic process, and the stochastic parametric excitation is studied based on the effective wave theory. The nonlinear restored arm function obtained from the numerical simulation is expressed as the approximate analytic function. By using the stochastic averaging method, the differential equation of motion is transformed into Ito’s stochastic differential equation. The steady-state probability density function of roll motion is obtained, and the results are validated with the numerical simulation and model test.
ScholarOne Manuscripts Log In
Current Issue

- Volume 39
- Issue 4
- September 2025
- Editor-in-Chief:
- Superintended by:
CHINA ASSOCIATION FOR SCIENCE AND TECHNOLOGY
- Sponsored by:
Chinese Ocean Engineering Society (COES)
- Edited by:
Nanjing Hydraulic Research Institute
Highlights
Stay up to Date
