2020 Vol.34(4)
Display Mode: |
2020, 34(4): 451-462.
doi: 10.1007/s13344-020-0041-5
Abstract:
The hydroelastic responses of a submerged horizontal solid/porous plate attached at the front of a very large rectangular floating structure (VLFS) under wave action has been investigated in the context of linear water wave theory. Darcy’s law is adopted to represent energy dissipation in pores. It is assumed that the porous plates are made of material with very fine pores so that the normal velocity across the perforated porous is linearly associated with the pressure drop. In the analytic method, the eigenfunction expansion-matching method (EEMM) for multiple domains is applied to solve the hydrodynamic problem and the elastic equation of motion is solved by the modal expansion method. The performance of the proposed submerged horizontal solid/porous plate can be significantly enhanced by selecting optimal design parameters, such as plate length, horizontal position, submerged depth and porosity. It is concluded that good damping effect can be achieved through installation of solid and porous plate. Porous plate has better damping effect at low frequencies, while solid plate has better damping effect at high frequencies. The optimal ratio of plate length to water depth is 0.25−0.375, and the optimal ratio of submerged depth to water depth is 0.09−0.181.
The hydroelastic responses of a submerged horizontal solid/porous plate attached at the front of a very large rectangular floating structure (VLFS) under wave action has been investigated in the context of linear water wave theory. Darcy’s law is adopted to represent energy dissipation in pores. It is assumed that the porous plates are made of material with very fine pores so that the normal velocity across the perforated porous is linearly associated with the pressure drop. In the analytic method, the eigenfunction expansion-matching method (EEMM) for multiple domains is applied to solve the hydrodynamic problem and the elastic equation of motion is solved by the modal expansion method. The performance of the proposed submerged horizontal solid/porous plate can be significantly enhanced by selecting optimal design parameters, such as plate length, horizontal position, submerged depth and porosity. It is concluded that good damping effect can be achieved through installation of solid and porous plate. Porous plate has better damping effect at low frequencies, while solid plate has better damping effect at high frequencies. The optimal ratio of plate length to water depth is 0.25−0.375, and the optimal ratio of submerged depth to water depth is 0.09−0.181.
2020, 34(4): 463-474.
doi: 10.1007/s13344-020-0042-4
Abstract:
Reynolds-averaged Navier−Stokes (RANS) turbulence modeling can lead to the excessive turbulence level around the interface in two-phase flow, which causes the unphysical motion of the interface in sloshing simulation. In order to avoid the unphysical motion of the interface, a novel eddy-viscosity eliminator based on sigmoid functions is designed to reduce the excessive turbulence level, and the eddy-viscosity eliminator based on polynomials is extracted from the cavitation simulations. Surface elevations by combining the eddy-viscosity eliminators and classical two-equation closure models are compared with the experiments, the ones by using the adaptive asymptotic model (AAM) and the ones by using the modified two-equation closure models. The root-mean-squared error (RMSE) is introduced to quantify the accuracies of surface elevations and the forces. The relation between the turbulence level in the transition layer and RMSEs of surface elevations is studied. Besides, the parametric analysis of the eddy-viscosity eliminators is carried out. The studies suggest that (1) the excessive turbulence level in the transition layer around the interface has a significant influence on the accuracies of surface elevations and the forces; (2) the eddy-viscosity eliminators can effectively reduce the excessive turbulence level in the transition layer to avoid the unphysical motion of the interface; (3) the\begin{document}$k - {\textit{ω}} $\end{document} ![]()
![]()
SST model combined with the eddy-viscosity eliminators is appropriate for predicting surface elevations and forces in RANS simulations of sloshing flow.
Reynolds-averaged Navier−Stokes (RANS) turbulence modeling can lead to the excessive turbulence level around the interface in two-phase flow, which causes the unphysical motion of the interface in sloshing simulation. In order to avoid the unphysical motion of the interface, a novel eddy-viscosity eliminator based on sigmoid functions is designed to reduce the excessive turbulence level, and the eddy-viscosity eliminator based on polynomials is extracted from the cavitation simulations. Surface elevations by combining the eddy-viscosity eliminators and classical two-equation closure models are compared with the experiments, the ones by using the adaptive asymptotic model (AAM) and the ones by using the modified two-equation closure models. The root-mean-squared error (RMSE) is introduced to quantify the accuracies of surface elevations and the forces. The relation between the turbulence level in the transition layer and RMSEs of surface elevations is studied. Besides, the parametric analysis of the eddy-viscosity eliminators is carried out. The studies suggest that (1) the excessive turbulence level in the transition layer around the interface has a significant influence on the accuracies of surface elevations and the forces; (2) the eddy-viscosity eliminators can effectively reduce the excessive turbulence level in the transition layer to avoid the unphysical motion of the interface; (3) the
2020, 34(4): 475-487.
doi: 10.1007/s13344-020-0043-3
Abstract:
Till now, little information is available on the flow-induced vibration (FIV) of multiple flexible cylinders with unequal diameters. Some FIV characteristics of unequal-diameter cylinders can be predicted based on the knowledge of equal-diameter cylinders, while there are still other features remaining unrevealed. In this paper, the FIV characteristics of two flexible cylinders with unequal diameters arranged side-by-side are experimentally investigated. The diameter ratio of the small cylinder (Small Cyl.) to the large cylinder (Large Cyl.) is nearly 0.5. The aspect ratios and mass ratios of the two flexible cylinders are 350/181 and 1.90/1.47, respectively. The centre-to-centre spacing ratio in the cross-flow (CF) direction is kept constant as 6.0 and the two cylinders can oscillate freely in both the CF and in-line (IL) directions. The towing velocity varies from 0.05 m/s to 1.00 m/s. The dominant modes and frequencies, CF and IL displacement amplitudes and response trajectories are discussed. Compared with the case of two identical cylinders in our previous study, the FIV responses demonstrate some similarities and differences. The similarities are as follows. Both cylinders exhibit multi-mode vibration features and they interact with each other. Meanwhile, the IL FIV shows a more complex behaviour than that in the CF direction. The difference is that as the diameter of one cylinder is increased, the effect on the smaller cylinder becomes more significant. For Large Cyl., the FIV response is similar to its isolated counterpart, which indicates that Small Cyl. has a negligible effect on the FIV of the larger one. Whereas Large Cyl. perplexes the FIV of Small Cyl. during the vibration process. The spacing would change when both cylinders are oscillating. Proximity interference between the two cylinders and wake shielding effect of the Large Cyl. may occur. The dominant frequencies of Small Cyl. are reduced and the wake-induced flutter of Small Cyl. is observed from the response trajectories at different measuring points.
Till now, little information is available on the flow-induced vibration (FIV) of multiple flexible cylinders with unequal diameters. Some FIV characteristics of unequal-diameter cylinders can be predicted based on the knowledge of equal-diameter cylinders, while there are still other features remaining unrevealed. In this paper, the FIV characteristics of two flexible cylinders with unequal diameters arranged side-by-side are experimentally investigated. The diameter ratio of the small cylinder (Small Cyl.) to the large cylinder (Large Cyl.) is nearly 0.5. The aspect ratios and mass ratios of the two flexible cylinders are 350/181 and 1.90/1.47, respectively. The centre-to-centre spacing ratio in the cross-flow (CF) direction is kept constant as 6.0 and the two cylinders can oscillate freely in both the CF and in-line (IL) directions. The towing velocity varies from 0.05 m/s to 1.00 m/s. The dominant modes and frequencies, CF and IL displacement amplitudes and response trajectories are discussed. Compared with the case of two identical cylinders in our previous study, the FIV responses demonstrate some similarities and differences. The similarities are as follows. Both cylinders exhibit multi-mode vibration features and they interact with each other. Meanwhile, the IL FIV shows a more complex behaviour than that in the CF direction. The difference is that as the diameter of one cylinder is increased, the effect on the smaller cylinder becomes more significant. For Large Cyl., the FIV response is similar to its isolated counterpart, which indicates that Small Cyl. has a negligible effect on the FIV of the larger one. Whereas Large Cyl. perplexes the FIV of Small Cyl. during the vibration process. The spacing would change when both cylinders are oscillating. Proximity interference between the two cylinders and wake shielding effect of the Large Cyl. may occur. The dominant frequencies of Small Cyl. are reduced and the wake-induced flutter of Small Cyl. is observed from the response trajectories at different measuring points.
2020, 34(4): 488-499.
doi: 10.1007/s13344-020-0044-2
Abstract:
Vortex-induced vibration (VIV) for flexible cylinders under combined uniform and oscillatory flow is a challenging and practical issue in ocean engineering. In this paper, a time domain numerical model is adopted to investigate the characteristics of cross-flow VIV response and fatigue damage under different combined flow cases. Firstly, the adopted VIV model and fatigue analysis procedure are validated well against the published experimental results of a 4-m cylinder model under pure oscillatory flows. Then, forty-five combined flow cases of the same cylinder model are designed to reveal the VIV response characteristics with different non-dimensional oscillation period T* and combined ratio r. The combined flow cases are classified into three categories to investigate the effect of r on cylinder’s dynamic response, and the effect of T* is described under long and short period cases. Finally, fatigue analysis is carried out to investigate how the structural fatigue damage varies with the variations of r and T*. The captured characteristics of structural response and fatigue damage are explained through the VIV mechanism analysis.
Vortex-induced vibration (VIV) for flexible cylinders under combined uniform and oscillatory flow is a challenging and practical issue in ocean engineering. In this paper, a time domain numerical model is adopted to investigate the characteristics of cross-flow VIV response and fatigue damage under different combined flow cases. Firstly, the adopted VIV model and fatigue analysis procedure are validated well against the published experimental results of a 4-m cylinder model under pure oscillatory flows. Then, forty-five combined flow cases of the same cylinder model are designed to reveal the VIV response characteristics with different non-dimensional oscillation period T* and combined ratio r. The combined flow cases are classified into three categories to investigate the effect of r on cylinder’s dynamic response, and the effect of T* is described under long and short period cases. Finally, fatigue analysis is carried out to investigate how the structural fatigue damage varies with the variations of r and T*. The captured characteristics of structural response and fatigue damage are explained through the VIV mechanism analysis.
2020, 34(4): 500-512.
doi: 10.1007/s13344-020-0045-1
Abstract:
A vortex-induced vibration (VIV) experiment on three side-by-side risers subjected to a uniform flow was carried out in a combined wave-current flume. The dynamic features of interference effect on three side-by-side risers were investigated by varying fluid velocity and inter-riser spacing. The distributions of dimensionless displacement, dominant frequency, and displacement trajectory of the model risers were measured using mode decomposition and wavelet transform techniques. The coupled interference of inter-riser fluid to adjacent risers at different spacings was disclosed by introducing the “interference ratio” concept. The results show that at spacings smaller than 6.0D, the three model risers display appreciable deviations in their displacement responses in cross-flow or in-line direction, attributable to the strong proximity disturbance and wake interference between the risers. When the spacing is increased to 8.0D, wake interference still makes great difference to the dynamic response of the risers in both directions. As reduced velocity increases, the three risers show higher agreement with an isolated riser in overall dominant vibration frequency in CF direction than that in IL direction at all spacings and the side risers, although symmetrically placed, do not vibrate symmetrically, as a result of the steady deflection of clearance flow within the riser group. Interference effect results in a remarkable unsteady mode competition within the risers; quantitation of the interference levels for the three risers at different spacings with interference ratio revealed that under low flow velocities and large spacing ratios, clearance flow constitutes a non-neglectable interferer for three side-by-side risers.
A vortex-induced vibration (VIV) experiment on three side-by-side risers subjected to a uniform flow was carried out in a combined wave-current flume. The dynamic features of interference effect on three side-by-side risers were investigated by varying fluid velocity and inter-riser spacing. The distributions of dimensionless displacement, dominant frequency, and displacement trajectory of the model risers were measured using mode decomposition and wavelet transform techniques. The coupled interference of inter-riser fluid to adjacent risers at different spacings was disclosed by introducing the “interference ratio” concept. The results show that at spacings smaller than 6.0D, the three model risers display appreciable deviations in their displacement responses in cross-flow or in-line direction, attributable to the strong proximity disturbance and wake interference between the risers. When the spacing is increased to 8.0D, wake interference still makes great difference to the dynamic response of the risers in both directions. As reduced velocity increases, the three risers show higher agreement with an isolated riser in overall dominant vibration frequency in CF direction than that in IL direction at all spacings and the side risers, although symmetrically placed, do not vibrate symmetrically, as a result of the steady deflection of clearance flow within the riser group. Interference effect results in a remarkable unsteady mode competition within the risers; quantitation of the interference levels for the three risers at different spacings with interference ratio revealed that under low flow velocities and large spacing ratios, clearance flow constitutes a non-neglectable interferer for three side-by-side risers.
2020, 34(4): 513-525.
doi: 10.1007/s13344-020-0046-0
Abstract:
This paper presents a numerical study on the high-frequency wave loads and ringing response of offshore wind turbine foundations exposed to moderately steep transient water waves. Input wave groups are generated by the technique of frequency-focusing, and the numerical simulation of focused waves is based on the NewWave model and a Fourier time-stepping procedure. The proposed model is validated by comparison with the published laboratory data. In respect of both the wave elevations and the underlying water particle kinematics, the numerical results are in excellent agreement with the experimental data. Furthermore, the local evolution of power spectra and the transfer of energy into higher frequencies can be clearly identified. Then the generalized FNV theory and Rainey’s model are applied respectively to calculate the nonlinear wave loads on a bottom-hinged vertical cylinder in focused waves. Resonant ringing response excited by the nonlinear high-frequency wave loads is found in the numerical simulation when frequency ratios (natural frequency of the structure to peak frequency of wave spectra) are equal to 3–5. Dynamic amplification factor of ringing response is also investigated for different dynamic properties (natural frequency and damping ratio) of the structure.
This paper presents a numerical study on the high-frequency wave loads and ringing response of offshore wind turbine foundations exposed to moderately steep transient water waves. Input wave groups are generated by the technique of frequency-focusing, and the numerical simulation of focused waves is based on the NewWave model and a Fourier time-stepping procedure. The proposed model is validated by comparison with the published laboratory data. In respect of both the wave elevations and the underlying water particle kinematics, the numerical results are in excellent agreement with the experimental data. Furthermore, the local evolution of power spectra and the transfer of energy into higher frequencies can be clearly identified. Then the generalized FNV theory and Rainey’s model are applied respectively to calculate the nonlinear wave loads on a bottom-hinged vertical cylinder in focused waves. Resonant ringing response excited by the nonlinear high-frequency wave loads is found in the numerical simulation when frequency ratios (natural frequency of the structure to peak frequency of wave spectra) are equal to 3–5. Dynamic amplification factor of ringing response is also investigated for different dynamic properties (natural frequency and damping ratio) of the structure.
2020, 34(4): 526-536.
doi: 10.1007/s13344-020-0047-z
Abstract:
A conceptual design of using novel telescopic piles to position a multi-modular very large floating structure (VLFS), which is supposed to be severed as a movable floating airport, is proposed. The telescopic piles can automatically plug in the soil to resist the environmental loads and pull out from the soil to evacuate or move on to the next operational sea. The feasibility demonstration of the conceptual design includes two parts: function verification and structure design. In the latter part of the conceptual design, a time-domain structural analysis is firstly conducted by using Abaqus software. The simulation results suggest that the preliminary structure scheme is not optimum due to the insufficient structure utilization, although both structure safety of the piles and positioning accuracy are guaranteed. To realize a cost reduction of construction and installation, a Genetic Algorithm-Finite Element Analysis (GA-FEA) method is employed to perform structural optimization. After optimization, 31 percent of the weight of each pile is reduced and higher structure utilization is maintained. The difference of the self-weight and allowable buoyancy of a single module (SMOD) of a semisubmersible-type VLFS is much larger than the weight of the piles. Combined with the function verification in our previous work, the conceptual design of using the novel telescopic pile to position VLFS is demonstrated to be feasible.
A conceptual design of using novel telescopic piles to position a multi-modular very large floating structure (VLFS), which is supposed to be severed as a movable floating airport, is proposed. The telescopic piles can automatically plug in the soil to resist the environmental loads and pull out from the soil to evacuate or move on to the next operational sea. The feasibility demonstration of the conceptual design includes two parts: function verification and structure design. In the latter part of the conceptual design, a time-domain structural analysis is firstly conducted by using Abaqus software. The simulation results suggest that the preliminary structure scheme is not optimum due to the insufficient structure utilization, although both structure safety of the piles and positioning accuracy are guaranteed. To realize a cost reduction of construction and installation, a Genetic Algorithm-Finite Element Analysis (GA-FEA) method is employed to perform structural optimization. After optimization, 31 percent of the weight of each pile is reduced and higher structure utilization is maintained. The difference of the self-weight and allowable buoyancy of a single module (SMOD) of a semisubmersible-type VLFS is much larger than the weight of the piles. Combined with the function verification in our previous work, the conceptual design of using the novel telescopic pile to position VLFS is demonstrated to be feasible.
2020, 34(4): 537-546.
doi: 10.1007/s13344-020-0048-y
Abstract:
The ultimate goal and highlight of this paper are to explore water levels along the coast of Bangladesh efficiently due to the nonlinear interaction of tide and surge by employing the method of lines (MOLs) with the aid of newly proposed RKAHeM(4, 4) technique. In this regard, the spatial derivatives of shallow water equations (SWEs) were discretized by means of a finite difference method to obtain a system of ordinary differential equations (ODEs) of initial valued with time as an independent variable. The obtained system of ODEs was solved by the RKAHeM(4, 4) technique. One-way nested grid technique was exercised to incorporate coastal complexities closely with minimum computational cost. A stable tidal oscillation was produced over the region of interest by applying the most influential tidal constituent M2 along the southern open boundary of the outer scheme. The newly developed model was applied to estimate water levels due to the non-linear interaction of tide and surge associated with the catastrophic cyclone April 1991 along the coast of Bangladesh. The approach employed in the study was found to perform well and ensure conformity with real-time observations.
The ultimate goal and highlight of this paper are to explore water levels along the coast of Bangladesh efficiently due to the nonlinear interaction of tide and surge by employing the method of lines (MOLs) with the aid of newly proposed RKAHeM(4, 4) technique. In this regard, the spatial derivatives of shallow water equations (SWEs) were discretized by means of a finite difference method to obtain a system of ordinary differential equations (ODEs) of initial valued with time as an independent variable. The obtained system of ODEs was solved by the RKAHeM(4, 4) technique. One-way nested grid technique was exercised to incorporate coastal complexities closely with minimum computational cost. A stable tidal oscillation was produced over the region of interest by applying the most influential tidal constituent M2 along the southern open boundary of the outer scheme. The newly developed model was applied to estimate water levels due to the non-linear interaction of tide and surge associated with the catastrophic cyclone April 1991 along the coast of Bangladesh. The approach employed in the study was found to perform well and ensure conformity with real-time observations.
2020, 34(4): 547-557.
doi: 10.1007/s13344-020-0049-x
Abstract:
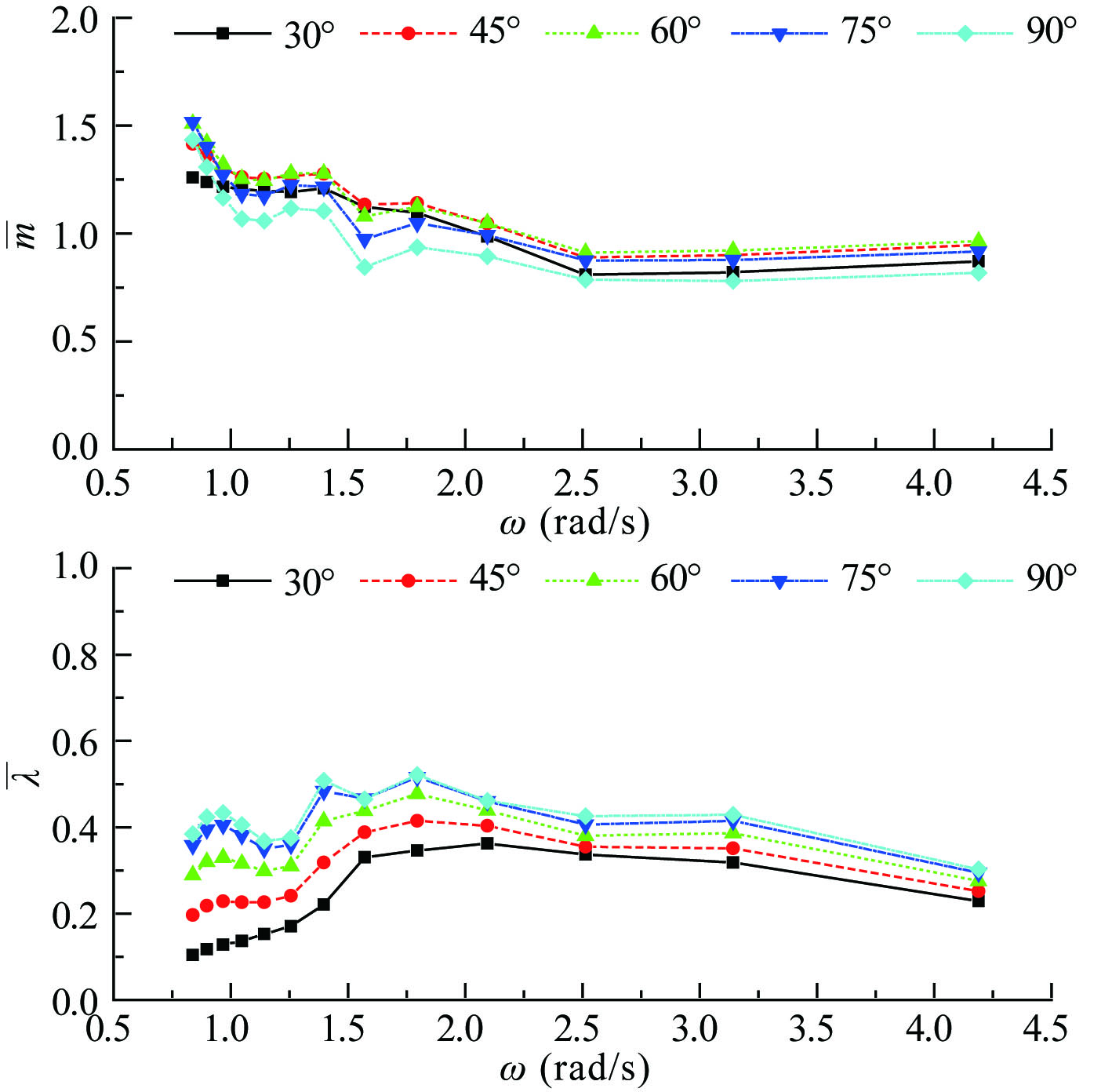
This paper presents an oscillating slider wave energy device which is based on a seabed anchoring and uses eagle beak as the absorber. The self-compiled program uses the boundary element theory based on the simple Green’s function to solve the wave forces and hydrodynamic parameters. And the equation of motion, the oscillation of the float and the capture width ratio are obtained by the modal method. The influences of the shape of the eagle beak, the angle of the slider and the wave heading on the capture ability of the device are investigated. According to the calculation results and the wave resources in the sea area, the optimal shape of the eagle beak and external damping can be selected to maximize the wave energy capture capability.
This paper presents an oscillating slider wave energy device which is based on a seabed anchoring and uses eagle beak as the absorber. The self-compiled program uses the boundary element theory based on the simple Green’s function to solve the wave forces and hydrodynamic parameters. And the equation of motion, the oscillation of the float and the capture width ratio are obtained by the modal method. The influences of the shape of the eagle beak, the angle of the slider and the wave heading on the capture ability of the device are investigated. According to the calculation results and the wave resources in the sea area, the optimal shape of the eagle beak and external damping can be selected to maximize the wave energy capture capability.
2020, 34(4): 558-570.
doi: 10.1007/s13344-020-0050-4
Abstract:
This paper investigates the possibility of utilizing response from natural ice loading for modal parameter identification of real offshore platforms. The test platform is the JZ20-2MUQ jacket platform located in the Liaodong Bay, China. A field experiment is carried out in winter season, as the platform is excited by floating ices. The feasibility is demonstrated by the acceleration response of two different segments. By the SSI-data method, the modal frequencies and damping ratios of four structural modes can be successfully identified from both segments. The estimated information from both segments is almost identical, which demonstrates that the modal identification is trustworthy. Furthermore, by taking the Jacket platform as a benchmark, the numerical performance of five popular time-domain EMA methods is systematically compared from different viewpoints. The comparisons are categorized as: (1) stochastic methods versus deterministic methods; (2) high-order methods versus low-order methods; (3) data-driven versus covariance-driven stochastic subspace identification methods.
This paper investigates the possibility of utilizing response from natural ice loading for modal parameter identification of real offshore platforms. The test platform is the JZ20-2MUQ jacket platform located in the Liaodong Bay, China. A field experiment is carried out in winter season, as the platform is excited by floating ices. The feasibility is demonstrated by the acceleration response of two different segments. By the SSI-data method, the modal frequencies and damping ratios of four structural modes can be successfully identified from both segments. The estimated information from both segments is almost identical, which demonstrates that the modal identification is trustworthy. Furthermore, by taking the Jacket platform as a benchmark, the numerical performance of five popular time-domain EMA methods is systematically compared from different viewpoints. The comparisons are categorized as: (1) stochastic methods versus deterministic methods; (2) high-order methods versus low-order methods; (3) data-driven versus covariance-driven stochastic subspace identification methods.
2020, 34(4): 571-580.
doi: 10.1007/s13344-020-0051-3
Abstract:
An investigation is conducted on the static ultimate limit state assessment of ship hull plates with elastically restrained edges subjected to axial compression. Both material and geometric non-linearities were considered in finite element (FE) analysis. The initial geometric imperfection of the plate was considered, while the residual stress introduced by welding was not considered. The ultimate strength of simply supported ship hull plates compared well with the existing empirical formula to validate the correctness of the applied boundary conditions, initial imperfection and mesh size. The extensive FE calculations on the ultimate strength of ship hull plates with elastically restrained edges are presented. Then a new simple empirical formula for plate ultimate strength is developed, which includes the effect of the rotational restraint stiffness, rotational restraint stiffness, and aspect ratios. By applying the new formula and FE method to ship hull plates in real ships, a good coincidence of the results between these two methods is obtained, which indicates that the new formula can accurately predict the ultimate strength of ship hull plates with elastically restrained edges.
An investigation is conducted on the static ultimate limit state assessment of ship hull plates with elastically restrained edges subjected to axial compression. Both material and geometric non-linearities were considered in finite element (FE) analysis. The initial geometric imperfection of the plate was considered, while the residual stress introduced by welding was not considered. The ultimate strength of simply supported ship hull plates compared well with the existing empirical formula to validate the correctness of the applied boundary conditions, initial imperfection and mesh size. The extensive FE calculations on the ultimate strength of ship hull plates with elastically restrained edges are presented. Then a new simple empirical formula for plate ultimate strength is developed, which includes the effect of the rotational restraint stiffness, rotational restraint stiffness, and aspect ratios. By applying the new formula and FE method to ship hull plates in real ships, a good coincidence of the results between these two methods is obtained, which indicates that the new formula can accurately predict the ultimate strength of ship hull plates with elastically restrained edges.
2020, 34(4): 581-588.
doi: 10.1007/s13344-020-0052-2
Abstract:
Study on the transport and mixing in coastal waters is of great concern to the ocean resources exploitation and ecological system protection. Lagrangian methods are direct and effective of researching mass transport. Two Lagrangian tools were adopted and combined to describe water transport in a long-narrow bay, Xiangshan Bay, China. Based on the fields of tidal velocity simulated from the 3-D hydrodynamic model, Lagrangian Coherent Structures (LCSs) and synoptic Lagrangian maps (SLMs) were calculated in the study area. Through comparison of the results, the features and relation of the two tools were discussed. The results show that the LCSs act as the separatrix of the water regions with different transport characteristics and can identify the water areas with different transport time scales. The comprehensive application of the Lagrangian tools is helpful to obtain more insight into the water transport process.
Study on the transport and mixing in coastal waters is of great concern to the ocean resources exploitation and ecological system protection. Lagrangian methods are direct and effective of researching mass transport. Two Lagrangian tools were adopted and combined to describe water transport in a long-narrow bay, Xiangshan Bay, China. Based on the fields of tidal velocity simulated from the 3-D hydrodynamic model, Lagrangian Coherent Structures (LCSs) and synoptic Lagrangian maps (SLMs) were calculated in the study area. Through comparison of the results, the features and relation of the two tools were discussed. The results show that the LCSs act as the separatrix of the water regions with different transport characteristics and can identify the water areas with different transport time scales. The comprehensive application of the Lagrangian tools is helpful to obtain more insight into the water transport process.
2020, 34(4): 589-596.
doi: 10.1007/s13344-020-0053-1
Abstract:
The study of mooring forces is an important issue in marine engineering and offshore structures. Although being widely applied in mooring system, numerical simulations suffer from difficulties in their multivariate and nonlinear modeling. Data-driven model is employed in this paper to predict the mooring forces in different lines, which is a new attempt to study the mooring forces. The height and period of regular wave, length of berth, ship load, draft and rolling period are considered as potential influencing factors. Input variables are determined using mutual information (MI) and principal component analysis (PCA), and imported to an artificial neural network (NN) model for prediction. With study case of 200 and 300 thousand tons ships experimental data obtained in Dalian University of Technology, MI is found to be more appropriate to provide effective input variables than PCA. Although the three factors regarding ship characteristics are highly correlated, it is recommended to input all of them to the NN model. The accuracy of predicting aft spring line force attains as high as 91.2%. The present paper demonstrates the feasibility of MI-NN model in mapping the mooring forces and their influencing factors.
The study of mooring forces is an important issue in marine engineering and offshore structures. Although being widely applied in mooring system, numerical simulations suffer from difficulties in their multivariate and nonlinear modeling. Data-driven model is employed in this paper to predict the mooring forces in different lines, which is a new attempt to study the mooring forces. The height and period of regular wave, length of berth, ship load, draft and rolling period are considered as potential influencing factors. Input variables are determined using mutual information (MI) and principal component analysis (PCA), and imported to an artificial neural network (NN) model for prediction. With study case of 200 and 300 thousand tons ships experimental data obtained in Dalian University of Technology, MI is found to be more appropriate to provide effective input variables than PCA. Although the three factors regarding ship characteristics are highly correlated, it is recommended to input all of them to the NN model. The accuracy of predicting aft spring line force attains as high as 91.2%. The present paper demonstrates the feasibility of MI-NN model in mapping the mooring forces and their influencing factors.
ScholarOne Manuscripts Log In
Current Issue

- Volume 39
- Issue 4
- September 2025
- Editor-in-Chief:
- Superintended by:
CHINA ASSOCIATION FOR SCIENCE AND TECHNOLOGY
- Sponsored by:
Chinese Ocean Engineering Society (COES)
- Edited by:
Nanjing Hydraulic Research Institute
Highlights
Stay up to Date
