2020 Vol.34(5)
Display Mode: |
2020, 34(5): 597-607.
doi: 10.1007/s13344-020-0054-0
Abstract:
Under unanticipated natural disasters, any failure of structure components may cause the crash of an entire structure system. Resilience is an important metric for the structure system. Although many resilience metrics and assessment approaches are proposed for engineering system, they are not suitable for complex structure systems, since the failure mechanisms of them are different under the influences of natural disasters. This paper proposes a novel resilience assessment metric for structure system from a macroscopic perspective, named structure resilience, and develops a corresponding assessment approach based on remaining useful life of key components. Dynamic Bayesian networks (DBNs) and Markov are applied to establish the resilience assessment model. In the degradation process, natural degradation and accelerated degradation are modelled by using Bayesian networks, and then coupled by using DBNs. In the recovery process, the model is established by combining Markov and DBNs. Subsea oil and gas pipelines are adopted to demonstrate the application of the proposed structure metric and assessment approach.
Under unanticipated natural disasters, any failure of structure components may cause the crash of an entire structure system. Resilience is an important metric for the structure system. Although many resilience metrics and assessment approaches are proposed for engineering system, they are not suitable for complex structure systems, since the failure mechanisms of them are different under the influences of natural disasters. This paper proposes a novel resilience assessment metric for structure system from a macroscopic perspective, named structure resilience, and develops a corresponding assessment approach based on remaining useful life of key components. Dynamic Bayesian networks (DBNs) and Markov are applied to establish the resilience assessment model. In the degradation process, natural degradation and accelerated degradation are modelled by using Bayesian networks, and then coupled by using DBNs. In the recovery process, the model is established by combining Markov and DBNs. Subsea oil and gas pipelines are adopted to demonstrate the application of the proposed structure metric and assessment approach.
2020, 34(5): 608-620.
doi: 10.1007/s13344-020-0055-z
Abstract:
The floating offshore wind turbine (FOWT) is widely used for harvesting marine wind energy. Its dynamic responses under offshore wind and wave environment provide essential reference for the design and installation. In this study, the dynamic responses of a 6MW Spar type FOWT designed for the water depth of 100 m are investigated by means of the wave tank experiment and numerical analysis. A scaled model is manufactured for the experiment at a ratio of 65.3, while the numerical model is constructed on the open-source platform FAST (Fatigue, Aerodynamics, Structures, and Turbulence). Still water tests, wind-induced only tests, wave-induced only tests and combined wind-wave-current tests are all conducted experimentally and numerically. The accuracy of the experimental set-up as well as the loading generation has been verified. Surge, pitch and heave motions are selected to analyze and the numerical results agree well with the experimental values. Even though results obtained by using the FOWT calculation model established in FAST software show some deviations from the test results, the trends are always consistent. Both experimental and numerical studies demonstrate that they are reliable for the designed 6MW Spar type FOWT.
The floating offshore wind turbine (FOWT) is widely used for harvesting marine wind energy. Its dynamic responses under offshore wind and wave environment provide essential reference for the design and installation. In this study, the dynamic responses of a 6MW Spar type FOWT designed for the water depth of 100 m are investigated by means of the wave tank experiment and numerical analysis. A scaled model is manufactured for the experiment at a ratio of 65.3, while the numerical model is constructed on the open-source platform FAST (Fatigue, Aerodynamics, Structures, and Turbulence). Still water tests, wind-induced only tests, wave-induced only tests and combined wind-wave-current tests are all conducted experimentally and numerically. The accuracy of the experimental set-up as well as the loading generation has been verified. Surge, pitch and heave motions are selected to analyze and the numerical results agree well with the experimental values. Even though results obtained by using the FOWT calculation model established in FAST software show some deviations from the test results, the trends are always consistent. Both experimental and numerical studies demonstrate that they are reliable for the designed 6MW Spar type FOWT.
2020, 34(5): 621-630.
doi: 10.1007/s13344-020-0056-y
Abstract:
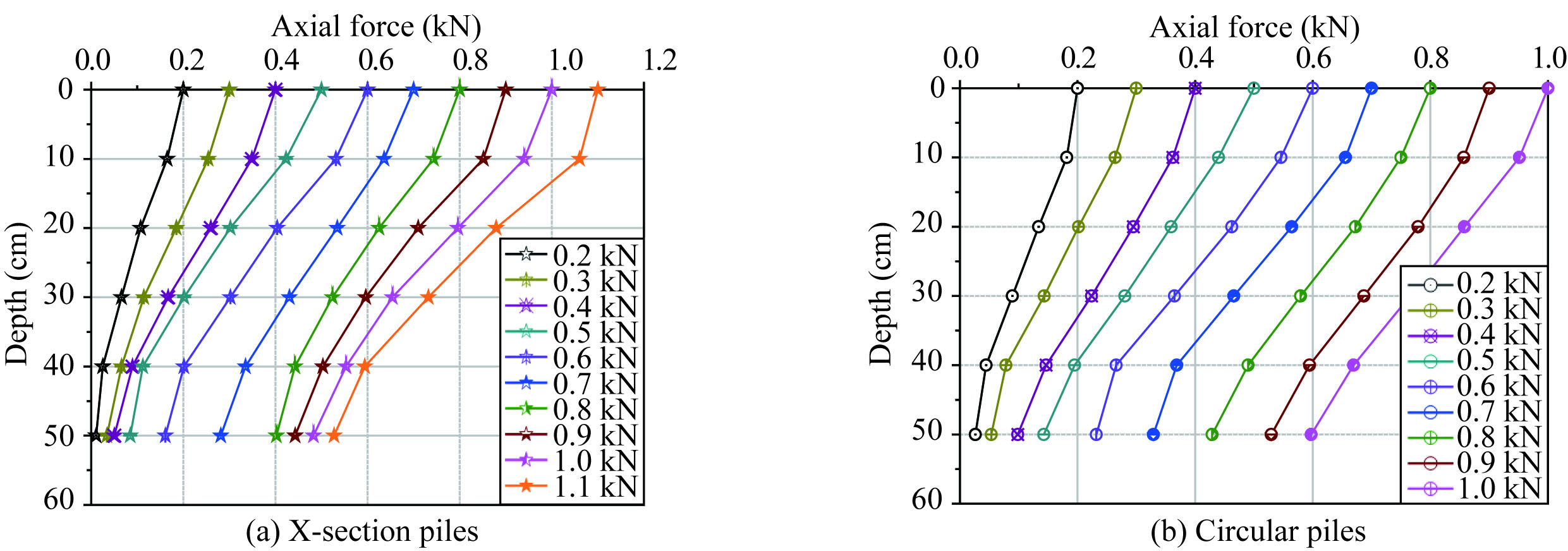
To reveal the bearing capacity of the X-section pile group in coral sand, a series of model load tests are conducted. The testing results are presented as load−settlement curves, pile−soil stress ratios, distributions of side friction and axial force, and load-sharing ratio between side and tip resistances. The reliability and accuracy of the numerical simulation model are verified by comparing the results of the model test. Comparative analysis between X-section and circular section piles with the same cross-sectional area indicates that the bearing capacity of the X-section pile group is much larger than that of the circular pile group. The axial force of X-section piles is smaller while the peak skin friction is larger than that of circular piles at the same depth. The skin friction of the core pile is the largest, followed by the side pile and the corner pile is the smallest when the load is relatively small; however, it is converse when the load is larger than 10 kN. Compared with piles in silica sand, the pile in coral sand has a lower bearing capacity, and the sand breakage leads to the steep drop failure of pile foundation. Moreover, pile positions under the raft have less effect on the load-share differences among corner, side and core piles in coral sand. This study provides a reference for the construction of pile foundations in coral sand.
To reveal the bearing capacity of the X-section pile group in coral sand, a series of model load tests are conducted. The testing results are presented as load−settlement curves, pile−soil stress ratios, distributions of side friction and axial force, and load-sharing ratio between side and tip resistances. The reliability and accuracy of the numerical simulation model are verified by comparing the results of the model test. Comparative analysis between X-section and circular section piles with the same cross-sectional area indicates that the bearing capacity of the X-section pile group is much larger than that of the circular pile group. The axial force of X-section piles is smaller while the peak skin friction is larger than that of circular piles at the same depth. The skin friction of the core pile is the largest, followed by the side pile and the corner pile is the smallest when the load is relatively small; however, it is converse when the load is larger than 10 kN. Compared with piles in silica sand, the pile in coral sand has a lower bearing capacity, and the sand breakage leads to the steep drop failure of pile foundation. Moreover, pile positions under the raft have less effect on the load-share differences among corner, side and core piles in coral sand. This study provides a reference for the construction of pile foundations in coral sand.
2020, 34(5): 631-640.
doi: 10.1007/s13344-020-0063-z
Abstract:
A consensus algorithm proposed in the paper is applied to tackle remarkable problems of unmeasurable velocities, the environmental disturbances, and the limited communication environment for the multiple unmanned underwater vehicles (multi-UUVs). Firstly, for a complex nonlinear and coupled model of the unmanned underwater vehicle (UUV), a technique of feedback linearization is developed to transform the nonlinear UUV model into a second-order integral UUV model. Secondly, to address the problem of the unavailable velocity information and environmental disturbances for the multi-UUVs system, we design a distributed extended state observer (DESO) to estimate the unmeasurable velocities and environmental disturbances using the relative position information. Finally, we propose a protocol based on the estimation information from the DESO and demonstrate that the multi-UUVs system with the switching directed topologies under the protocol can reach consensus asymptotically. The theoretical result proposed in the literature is verified by one numerical example.
A consensus algorithm proposed in the paper is applied to tackle remarkable problems of unmeasurable velocities, the environmental disturbances, and the limited communication environment for the multiple unmanned underwater vehicles (multi-UUVs). Firstly, for a complex nonlinear and coupled model of the unmanned underwater vehicle (UUV), a technique of feedback linearization is developed to transform the nonlinear UUV model into a second-order integral UUV model. Secondly, to address the problem of the unavailable velocity information and environmental disturbances for the multi-UUVs system, we design a distributed extended state observer (DESO) to estimate the unmeasurable velocities and environmental disturbances using the relative position information. Finally, we propose a protocol based on the estimation information from the DESO and demonstrate that the multi-UUVs system with the switching directed topologies under the protocol can reach consensus asymptotically. The theoretical result proposed in the literature is verified by one numerical example.
2020, 34(5): 641-650.
doi: 10.1007/s13344-020-0057-x
Abstract:
In order to improve the simulation efficiency, a novel transformed linear Gaussian model has been first proposed in this paper for generating equivalent “nonlinear” irregular waves. It is demonstrated by calculation examples that for obtaining equivalent “nonlinear” waves with the same accuracy, the transformed linear Gaussian model is about 2.7 times faster than the traditional nonlinear simulation method and is about 2.14 times faster than the method proposed by Agarwal and Manuel (2011). The loads and dynamic responses calculation results regarding an offshore jacket wind turbine in this paper demonstrate that nonlinearly simulated irregular waves with bottom effects should be considered in order to design an un-conservative support structure for the offshore wind turbine. Furthermore, by studying the calculation results in this article we have found that the loads and dynamic responses of the offshore wind turbine when inputting transformed linearly simulated waves with bottom effects are almost identical to the corresponding values when inputting nonlinearly simulated waves with bottom effects. All these calculation results clearly demonstrate the superiority and effectiveness of using our novel transformed linear Gaussian model for predicting the wave loads and dynamic responses of an offshore wind turbine operating in a realistic nonlinear sea with bottom effects.
In order to improve the simulation efficiency, a novel transformed linear Gaussian model has been first proposed in this paper for generating equivalent “nonlinear” irregular waves. It is demonstrated by calculation examples that for obtaining equivalent “nonlinear” waves with the same accuracy, the transformed linear Gaussian model is about 2.7 times faster than the traditional nonlinear simulation method and is about 2.14 times faster than the method proposed by Agarwal and Manuel (2011). The loads and dynamic responses calculation results regarding an offshore jacket wind turbine in this paper demonstrate that nonlinearly simulated irregular waves with bottom effects should be considered in order to design an un-conservative support structure for the offshore wind turbine. Furthermore, by studying the calculation results in this article we have found that the loads and dynamic responses of the offshore wind turbine when inputting transformed linearly simulated waves with bottom effects are almost identical to the corresponding values when inputting nonlinearly simulated waves with bottom effects. All these calculation results clearly demonstrate the superiority and effectiveness of using our novel transformed linear Gaussian model for predicting the wave loads and dynamic responses of an offshore wind turbine operating in a realistic nonlinear sea with bottom effects.
2020, 34(5): 651-663.
doi: 10.1007/s13344-020-0058-9
Abstract:
In this paper, a new control system is proposed for dynamic positioning (DP) of marine vessels with unknown dynamics and subject to external disturbances. The control system is composed of a substructure for wave filtering and state estimation together with a nonlinear PD-type controller. For wave filtering and state estimation, a cascade combination of a modified notch filter and an estimation stage is considered. In estimation stage, a modified extended-state observer (ESO) is proposed to estimate vessel velocities and unknown dynamics. The main advantage of the proposed method is its robustness to model uncertainties and external disturbances and it does not require prior knowledge of vessel model parameters. Besides, the stability of the cascade structure is analyzed and input to state stability (ISS) is guaranteed. Later on, a nonlinear PD-type controller with feedforward of filtered estimated dynamics is utilized. Detailed stability analyses are presented for the closed-loop DP control system and global uniform ultimate boundedness is proved using large scale systems method. Simulations are conducted to evaluate the performance of the proposed method for wave filtering and state estimation and comparisons are made with two conventional methods in terms of estimation accuracy and the presence of uncertainties. Besides, comparisons are made in closed-loop control system to demonstrate the performance of the proposed method compared with conventional methods. The proposed control system results in better performance in the presence of uncertainties, external disturbance and even in transients when the vessel is subjected to sudden changes in environmental disturbances.
In this paper, a new control system is proposed for dynamic positioning (DP) of marine vessels with unknown dynamics and subject to external disturbances. The control system is composed of a substructure for wave filtering and state estimation together with a nonlinear PD-type controller. For wave filtering and state estimation, a cascade combination of a modified notch filter and an estimation stage is considered. In estimation stage, a modified extended-state observer (ESO) is proposed to estimate vessel velocities and unknown dynamics. The main advantage of the proposed method is its robustness to model uncertainties and external disturbances and it does not require prior knowledge of vessel model parameters. Besides, the stability of the cascade structure is analyzed and input to state stability (ISS) is guaranteed. Later on, a nonlinear PD-type controller with feedforward of filtered estimated dynamics is utilized. Detailed stability analyses are presented for the closed-loop DP control system and global uniform ultimate boundedness is proved using large scale systems method. Simulations are conducted to evaluate the performance of the proposed method for wave filtering and state estimation and comparisons are made with two conventional methods in terms of estimation accuracy and the presence of uncertainties. Besides, comparisons are made in closed-loop control system to demonstrate the performance of the proposed method compared with conventional methods. The proposed control system results in better performance in the presence of uncertainties, external disturbance and even in transients when the vessel is subjected to sudden changes in environmental disturbances.
2020, 34(5): 664-676.
doi: 10.1007/s13344-020-0059-8
Abstract:
The fluid motion in partially filled tanks with internal baffles has wide engineering applications. The installation of baffles is expected to reduce the effect of sloshing as well as the consequent environmental damages. In the present study, a series of experimental tests are performed to investigate the sloshing phenomenon in a baffled rectangular storage tank. In addition, the sloshing phenomenon is also modeled by using OpenFoam. Based on the experimental and numerical studies, optimization of the geometric parameters of the tank is performed based on some criteria such as tank area, entropy generation, and the horizontal force exerted on the tank area due to the sloshing phenomenon. The optimization is also carried out based on the entropy generation minimization analysis. It is noted that the optimum baffle height is in the range of hb/hw=0.5−0.75 in the present study (where hb and hw are the baffle height and water depth, respectively). Based on the results, the optimal design of the tank is achieved with RA= 0.9−1.0 (where RA=L/W, L and W are the length and width of the tank, respectively). The results also show that the increase of hb can lead to a decrease of the maximum pressure and horizontal force exerted on the tank. It is also noted that the horizontal force exerted on the tank firstly continues to increase as the sway motion amplitude increases. However, as the normalized motion amplitude parameter, a/L (The parameter a is the motion amplitude), exceeds 0.067, the effect of motion amplitude on the force is not obvious. The same optimization is also performed in the multiple-variable-baffled tank and prismatic storage tank.
The fluid motion in partially filled tanks with internal baffles has wide engineering applications. The installation of baffles is expected to reduce the effect of sloshing as well as the consequent environmental damages. In the present study, a series of experimental tests are performed to investigate the sloshing phenomenon in a baffled rectangular storage tank. In addition, the sloshing phenomenon is also modeled by using OpenFoam. Based on the experimental and numerical studies, optimization of the geometric parameters of the tank is performed based on some criteria such as tank area, entropy generation, and the horizontal force exerted on the tank area due to the sloshing phenomenon. The optimization is also carried out based on the entropy generation minimization analysis. It is noted that the optimum baffle height is in the range of hb/hw=0.5−0.75 in the present study (where hb and hw are the baffle height and water depth, respectively). Based on the results, the optimal design of the tank is achieved with RA= 0.9−1.0 (where RA=L/W, L and W are the length and width of the tank, respectively). The results also show that the increase of hb can lead to a decrease of the maximum pressure and horizontal force exerted on the tank. It is also noted that the horizontal force exerted on the tank firstly continues to increase as the sway motion amplitude increases. However, as the normalized motion amplitude parameter, a/L (The parameter a is the motion amplitude), exceeds 0.067, the effect of motion amplitude on the force is not obvious. The same optimization is also performed in the multiple-variable-baffled tank and prismatic storage tank.
2020, 34(5): 677-687.
doi: 10.1007/s13344-020-0061-1
Abstract:
One approach to support floating tidal current turbines is by using a moored catamaran, a barge type platform. Considering its low draft, one might expect that it performs best at typical straits with sea states of small wavelets to small waves. The problem is that the high rotational motion responses of the catamaran due to wave loads tend to reduce the turbine performance. This paper looks for a possibility to deteriorate these rotational responses by introducing a platform with four buoyant legs referred to as a quad-spar considering its good stability performance. The platforms are moored by four catenary cables as their mooring system. The motion response modeling was undertaken by Computational Fluid Dynamic (CFD) simulation based on three-dimensional potential flow theory. Considering sea states of straits with typical tidal current energy potentials, the environmental load was set on random wave with the significant wave height, Hs, of about 0.09 to 1.5 m and the wave period, T, of about 1.5 to 6 s corresponding to the wave frequency,\begin{document}$ \omega $\end{document} ![]()
![]()
, of about 1.1 to 4.2 rad/s. This study found that lower motion responses can be satisfied by the quad-spar, in which its yaw, roll and pitch responses are on average about 5%, 44%, and 38%, respectively, compared to those of the catamaran. This result indicates that the quad-spar is more effective in reducing rotational motion responses needed to keep a high performance of the tidal current energy system.
One approach to support floating tidal current turbines is by using a moored catamaran, a barge type platform. Considering its low draft, one might expect that it performs best at typical straits with sea states of small wavelets to small waves. The problem is that the high rotational motion responses of the catamaran due to wave loads tend to reduce the turbine performance. This paper looks for a possibility to deteriorate these rotational responses by introducing a platform with four buoyant legs referred to as a quad-spar considering its good stability performance. The platforms are moored by four catenary cables as their mooring system. The motion response modeling was undertaken by Computational Fluid Dynamic (CFD) simulation based on three-dimensional potential flow theory. Considering sea states of straits with typical tidal current energy potentials, the environmental load was set on random wave with the significant wave height, Hs, of about 0.09 to 1.5 m and the wave period, T, of about 1.5 to 6 s corresponding to the wave frequency,
2020, 34(5): 688-696.
doi: 10.1007/s13344-020-0062-0
Abstract:
Propeller cavitation is a problematic issue because of its negative effects, such as performances losses, noise, vibration and erosion. Numerical methodology is an effective and efficient technical tool for the study of propeller cavitation, however, it is hard to capture tip-vortex cavitation in the previous work by using common turbulence models based on turbulent-viscosity hypothesis. In this work, the Reynolds-Averaged Naiver−Stokes (RANS) approach, adopting the Reynolds stress turbulence model (RSM), is taken to study the unsteady characteristics of the cavitation on the four-bladed INSEAN E779A model propeller. The numerical simulation was carried out using the commercial CFD software ANSYS Fluent 14.0. One kind of uniform wake flow and two kinds of nonuniform wake flows are considered here. The results in the uniform flow show a good agreement with previous experimental results on both the sheet cavitation and the tip vortex cavitation and prove the ability of the RSM on capturing the tip vortex cavitation. Two kinds of nonuniform wake flows are designed based on the previous experimental researches and the unsteady characteristics of the propeller cavitation are analyzed by comparing the results in the uniform and two nonuniform wake flows together.
Propeller cavitation is a problematic issue because of its negative effects, such as performances losses, noise, vibration and erosion. Numerical methodology is an effective and efficient technical tool for the study of propeller cavitation, however, it is hard to capture tip-vortex cavitation in the previous work by using common turbulence models based on turbulent-viscosity hypothesis. In this work, the Reynolds-Averaged Naiver−Stokes (RANS) approach, adopting the Reynolds stress turbulence model (RSM), is taken to study the unsteady characteristics of the cavitation on the four-bladed INSEAN E779A model propeller. The numerical simulation was carried out using the commercial CFD software ANSYS Fluent 14.0. One kind of uniform wake flow and two kinds of nonuniform wake flows are considered here. The results in the uniform flow show a good agreement with previous experimental results on both the sheet cavitation and the tip vortex cavitation and prove the ability of the RSM on capturing the tip vortex cavitation. Two kinds of nonuniform wake flows are designed based on the previous experimental researches and the unsteady characteristics of the propeller cavitation are analyzed by comparing the results in the uniform and two nonuniform wake flows together.
2020, 34(5): 697-707.
doi: 10.1007/s13344-020-0060-2
Abstract:
Conventional design of pier structures is based on the assumption of fully rigid joints. In practice, the real connections are semi-rigid that cause changes in dynamic characteristics. In this study, quality of the joints is investigated by considering changes in natural frequencies. For this purpose, numerical and experimental modal analyses are carried out on related physical model of a pier type structure. When numerical results are evaluated, natural frequencies generally do not match the expected experimental results. Uncertainties in different aspects of engineering problems are always a challenge for researchers. The numerical models which are constructed on the basis of highly idealized scheme may not be able to represent all of the physical aspects of the physical one. For this study, determination of percentage of semi-rigid joints is considered as an optimization problem based on the numerical and experimental frequencies. Probabilistic sensitivity analysis is also used to determine the search space. A new technique of optimization problem is solved by a combination of smart particle swarm optimization (PSO) and genetic algorithms, and a complicated and efficient system for model updating process is introduced. It is observed that the hybrid PSO-Genetic algorithm is applicable and appropriate in model updating process. It performs better than PSO algorithm, considering the good agreement between theoretical frequencies and experimental ones, before and after model updating.
Conventional design of pier structures is based on the assumption of fully rigid joints. In practice, the real connections are semi-rigid that cause changes in dynamic characteristics. In this study, quality of the joints is investigated by considering changes in natural frequencies. For this purpose, numerical and experimental modal analyses are carried out on related physical model of a pier type structure. When numerical results are evaluated, natural frequencies generally do not match the expected experimental results. Uncertainties in different aspects of engineering problems are always a challenge for researchers. The numerical models which are constructed on the basis of highly idealized scheme may not be able to represent all of the physical aspects of the physical one. For this study, determination of percentage of semi-rigid joints is considered as an optimization problem based on the numerical and experimental frequencies. Probabilistic sensitivity analysis is also used to determine the search space. A new technique of optimization problem is solved by a combination of smart particle swarm optimization (PSO) and genetic algorithms, and a complicated and efficient system for model updating process is introduced. It is observed that the hybrid PSO-Genetic algorithm is applicable and appropriate in model updating process. It performs better than PSO algorithm, considering the good agreement between theoretical frequencies and experimental ones, before and after model updating.
2020, 34(5): 708-717.
doi: 10.1007/s13344-020-0064-y
Abstract:
The experiment of flow past a freely suspended circular cylinder in the wake of an upstream stationary cylinder was carried out in a re-circulating water channel using the Particle Image Velocimetry (PIV) technique. The upstream cylinder was fixed, while the downstream cylinder was suspended from a platform and allowed to move freely in the horizontal plane. The centre-to-centre spacing ratio between two tandem cylinders was initially kept at a constant value of 3.0. The instantaneous flow field and the orbital trajectories were analyzed to reveal the effect of the presence of the upstream cylinder and flow velocity on the dynamic response of the downstream suspended cylinder. The results showed that the upstream stationary cylinder has significant effect on modifying the flow patterns behind two tandem cylinders. Different trajectories of the downstream suspended cylinder with variation of flow velocity U were observed, such as: (1) depicting a figure-8 type motion at U = 0.27 m/s; (2) undergoing intermittent oscillations as it travels downstream at 0.3 m/s ≤ U ≤ 0.37 m/s; (3) successive moving downstream, no obvious streamwise oscillation observed at U = 0.43 m/s.
The experiment of flow past a freely suspended circular cylinder in the wake of an upstream stationary cylinder was carried out in a re-circulating water channel using the Particle Image Velocimetry (PIV) technique. The upstream cylinder was fixed, while the downstream cylinder was suspended from a platform and allowed to move freely in the horizontal plane. The centre-to-centre spacing ratio between two tandem cylinders was initially kept at a constant value of 3.0. The instantaneous flow field and the orbital trajectories were analyzed to reveal the effect of the presence of the upstream cylinder and flow velocity on the dynamic response of the downstream suspended cylinder. The results showed that the upstream stationary cylinder has significant effect on modifying the flow patterns behind two tandem cylinders. Different trajectories of the downstream suspended cylinder with variation of flow velocity U were observed, such as: (1) depicting a figure-8 type motion at U = 0.27 m/s; (2) undergoing intermittent oscillations as it travels downstream at 0.3 m/s ≤ U ≤ 0.37 m/s; (3) successive moving downstream, no obvious streamwise oscillation observed at U = 0.43 m/s.
2020, 34(5): 718-729.
doi: 10.1007/s13344-020-0065-x
Abstract:
In order to reduce the hydrodynamic and structural influences on the detection accuracy especially in the very-low-frequency range, some vibration restraint methods are raised, which are the wrapped fairing improvement, the floating body shape improvement and the cable vibration reduction treatment. Through the improvement analysis and experimental comparison, the final treatments are proposed, namely the multilayer wrapped fairing structure with composite materials, the floating body with NACA0024 airfoil section and X-shape tail spoiler, as well as the brush cable. The sea test is carried out to evaluate the vibration restraint effect. Through comparison of the responses to the ocean ambient noise and the direction of arrival (DOA) estimations with the same underwater transmitting transducer, the results indicate that the horizontal floating platform with vibration restraint treatment has obvious flow resisting effect especially in low frequency range and more accurate DOA estimation.
In order to reduce the hydrodynamic and structural influences on the detection accuracy especially in the very-low-frequency range, some vibration restraint methods are raised, which are the wrapped fairing improvement, the floating body shape improvement and the cable vibration reduction treatment. Through the improvement analysis and experimental comparison, the final treatments are proposed, namely the multilayer wrapped fairing structure with composite materials, the floating body with NACA0024 airfoil section and X-shape tail spoiler, as well as the brush cable. The sea test is carried out to evaluate the vibration restraint effect. Through comparison of the responses to the ocean ambient noise and the direction of arrival (DOA) estimations with the same underwater transmitting transducer, the results indicate that the horizontal floating platform with vibration restraint treatment has obvious flow resisting effect especially in low frequency range and more accurate DOA estimation.
2020, 34(5): 730-737.
doi: 10.1007/s13344-020-0066-9
Abstract:
Multiple reflections of the waves between structure and wavemaker in hydraulic flumes could change the frequency content of the desired incident wave or result in resonance. A prominent approach to avoid multiple reflections is active control of the wavemaker. This paper proposes a simple and practical active control algorithm for piston-type wavemaker. The block diagram of the control system is presented in real time domain. It is shown that there is no need to use any transfer function or filter in the feedback and feed forward loops and the use of constant gains can yield acceptable results. In the operating frequency range (0.25−2 Hz), it is revealed that the proposed system is very effective at suppressing the excitation of resonant sloshing for regular wave. In the case of irregular waves, it is depicted that the experimental waves agree quite well with the desired wave elevation in frequency domain. In addition, comparison of the results obtained both with and without absorption discloses the good characteristics in time domain.
Multiple reflections of the waves between structure and wavemaker in hydraulic flumes could change the frequency content of the desired incident wave or result in resonance. A prominent approach to avoid multiple reflections is active control of the wavemaker. This paper proposes a simple and practical active control algorithm for piston-type wavemaker. The block diagram of the control system is presented in real time domain. It is shown that there is no need to use any transfer function or filter in the feedback and feed forward loops and the use of constant gains can yield acceptable results. In the operating frequency range (0.25−2 Hz), it is revealed that the proposed system is very effective at suppressing the excitation of resonant sloshing for regular wave. In the case of irregular waves, it is depicted that the experimental waves agree quite well with the desired wave elevation in frequency domain. In addition, comparison of the results obtained both with and without absorption discloses the good characteristics in time domain.
2020, 34(5): 738-745.
doi: 10.1007/s13344-020-0067-8
Abstract:
With the rapid development of ocean technology, the deep-sea manned submersible is regarded as a high-tech equipment for the exploration and exploitation of ocean resources. The safety of manned cabin has a decisive effect on the whole system. Ti-6Al-4V with the superior strength-to-weight ratio and corrosion resistance has been used for the manned cabin. The manned cabin experiences loading spectrum with different maximum stresses and different dwell time during their service life. The load sequence effects on dwell fatigue crack growth behavior of Ti-6Al-4V under different dwell time are investigated experimentally in this paper. The experimental results show that the crack tip plastic zone is enlarged by the dwell time and the overload retardation zone increases with dwell time under the same overload rate. A dwell fatigue crack growth model is proposed by modifying the crack tip plastic zone under the loading history with combinations of the single overload and dwell time factors are included in the modified model. Based on the experimental data, the overload retardation zone and the crack growth rates of Ti-6Al-4V are predicted by the modified model. A reasonable model for the load sequence effect on the dwell fatigue crack growth rates of Ti-6Al-4V is verified.
With the rapid development of ocean technology, the deep-sea manned submersible is regarded as a high-tech equipment for the exploration and exploitation of ocean resources. The safety of manned cabin has a decisive effect on the whole system. Ti-6Al-4V with the superior strength-to-weight ratio and corrosion resistance has been used for the manned cabin. The manned cabin experiences loading spectrum with different maximum stresses and different dwell time during their service life. The load sequence effects on dwell fatigue crack growth behavior of Ti-6Al-4V under different dwell time are investigated experimentally in this paper. The experimental results show that the crack tip plastic zone is enlarged by the dwell time and the overload retardation zone increases with dwell time under the same overload rate. A dwell fatigue crack growth model is proposed by modifying the crack tip plastic zone under the loading history with combinations of the single overload and dwell time factors are included in the modified model. Based on the experimental data, the overload retardation zone and the crack growth rates of Ti-6Al-4V are predicted by the modified model. A reasonable model for the load sequence effect on the dwell fatigue crack growth rates of Ti-6Al-4V is verified.
ScholarOne Manuscripts Log In
Current Issue

- Volume 39
- Issue 4
- September 2025
- Editor-in-Chief:
- Superintended by:
CHINA ASSOCIATION FOR SCIENCE AND TECHNOLOGY
- Sponsored by:
Chinese Ocean Engineering Society (COES)
- Edited by:
Nanjing Hydraulic Research Institute
Highlights
Stay up to Date
