2020 Vol.34(6)
Display Mode: |
2020, 34(6): 747-759.
doi: 10.1007/s13344-020-0068-7
Abstract:
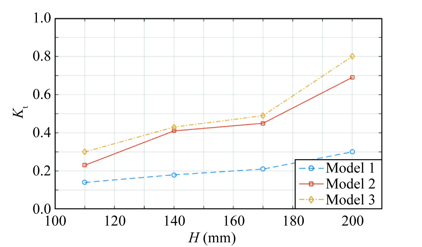
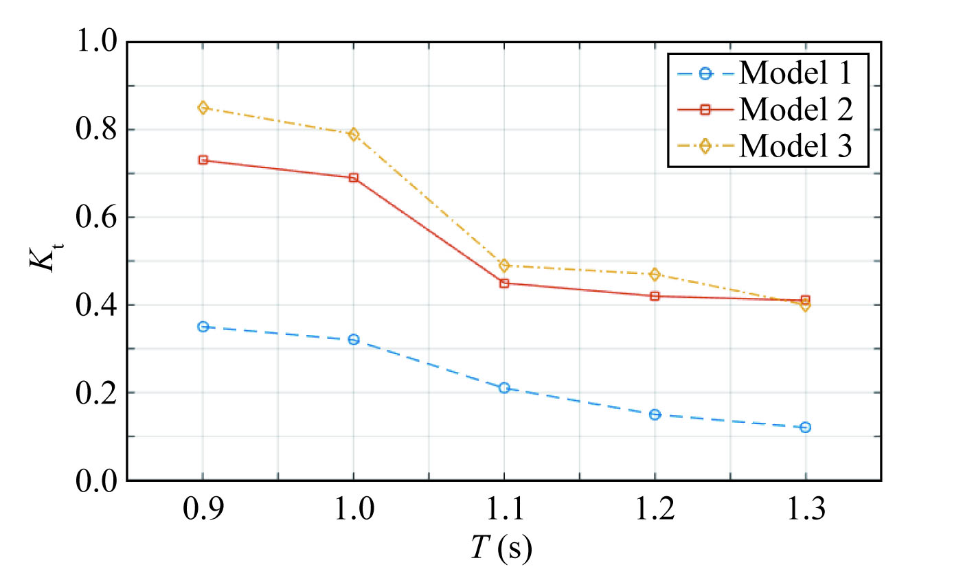
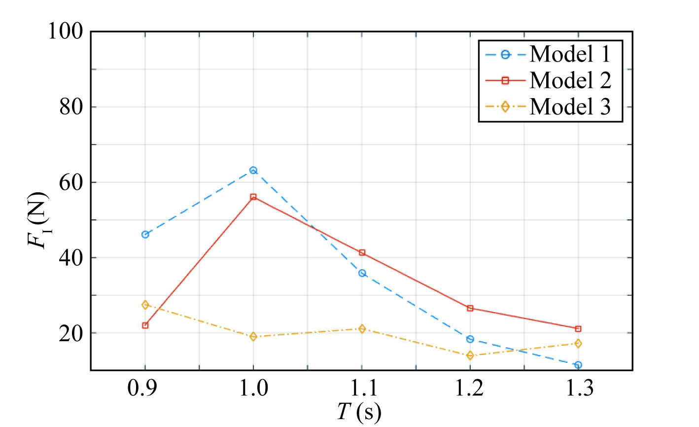
Based on potential flow theory, a dissipative semi-analytical solution is developed for the wave resonance in the narrow gap between a fixed floating box and a vertical wall by using velocity potential decompositions and matched eigenfunction expansions. The energy dissipation near the box is modelled in the potential flow solution by introducing a quadratic pressure loss condition on the gap entrance. Such a treatment is inspired by the classical local head loss formula for the sudden change of cross section in channel flow, where the energy dissipation is assumed to be proportional to the square of local velocity for high Reynolds number flows. The dimensionless energy loss coefficient is calibrated based on experimental data. And it is found to be insensitive to the incident wave height and wave frequency. With the calibrated energy loss coefficient, the resonant wave height in gap and the reflection coefficient are calculated by the present dissipative semi-analytical solution. The predictions are in good agreement with experimental data. Case studies suggest that the maximum relative energy dissipation occurs near the resonant frequency, which leads to the minimum reflection coefficient. The horizontal wave forces on the box and the vertical wall attain also maximum values near the resonant frequency, while the vertical wave force on the box decreases abruptly there to a small value.
Based on potential flow theory, a dissipative semi-analytical solution is developed for the wave resonance in the narrow gap between a fixed floating box and a vertical wall by using velocity potential decompositions and matched eigenfunction expansions. The energy dissipation near the box is modelled in the potential flow solution by introducing a quadratic pressure loss condition on the gap entrance. Such a treatment is inspired by the classical local head loss formula for the sudden change of cross section in channel flow, where the energy dissipation is assumed to be proportional to the square of local velocity for high Reynolds number flows. The dimensionless energy loss coefficient is calibrated based on experimental data. And it is found to be insensitive to the incident wave height and wave frequency. With the calibrated energy loss coefficient, the resonant wave height in gap and the reflection coefficient are calculated by the present dissipative semi-analytical solution. The predictions are in good agreement with experimental data. Case studies suggest that the maximum relative energy dissipation occurs near the resonant frequency, which leads to the minimum reflection coefficient. The horizontal wave forces on the box and the vertical wall attain also maximum values near the resonant frequency, while the vertical wave force on the box decreases abruptly there to a small value.
2020, 34(6): 760-771.
doi: 10.1007/s13344-020-0069-6
Abstract:
Wave energy is a renewable source with significant amount in relation to the global demand. A good concept of a device applied to extract this type of energy is the onshore oscillating water column wave energy converter (OWC-WEC). This study shows a numerical analysis of the diameter determination of two types of turbines, Wells and Impulse, installed in an onshore OWC device subjected to a hypothetical sea state. Commercial software FLUENT®, which is based on RANS−VoF (Reynolds-Averaged Navier−Stokes equations and Volume of Fluid technique), is employed. A methodology that imposes air pressure on the chamber, considering the air compressibility effect, is used. The mathematical domain consists of a 10 m deep flume with a 10 m long and 10 m wide OWC chamber at its end (geometry is similar to that of the Pico’s plant installed in Azores islands, Portugal). On the top of the chamber, a turbine works with air exhalation and inhalation induced by the water free surface which oscillates due to the incident wave. The hypothetical sea state, represented by a group of regular waves with periods from 6 to 12 s and heights from 1.00 to 2.00 m (each wave with an occurrence frequency), is considered to show the potential of the presented methodology. Maximum efficiency (relation between the average output and incident wave powers) of 46% was obtained by using a Wells turbine with the diameter of 2.25 m, whereas the efficiency was 44% by an Impulse turbine with the diameter of 1.70 m.
Wave energy is a renewable source with significant amount in relation to the global demand. A good concept of a device applied to extract this type of energy is the onshore oscillating water column wave energy converter (OWC-WEC). This study shows a numerical analysis of the diameter determination of two types of turbines, Wells and Impulse, installed in an onshore OWC device subjected to a hypothetical sea state. Commercial software FLUENT®, which is based on RANS−VoF (Reynolds-Averaged Navier−Stokes equations and Volume of Fluid technique), is employed. A methodology that imposes air pressure on the chamber, considering the air compressibility effect, is used. The mathematical domain consists of a 10 m deep flume with a 10 m long and 10 m wide OWC chamber at its end (geometry is similar to that of the Pico’s plant installed in Azores islands, Portugal). On the top of the chamber, a turbine works with air exhalation and inhalation induced by the water free surface which oscillates due to the incident wave. The hypothetical sea state, represented by a group of regular waves with periods from 6 to 12 s and heights from 1.00 to 2.00 m (each wave with an occurrence frequency), is considered to show the potential of the presented methodology. Maximum efficiency (relation between the average output and incident wave powers) of 46% was obtained by using a Wells turbine with the diameter of 2.25 m, whereas the efficiency was 44% by an Impulse turbine with the diameter of 1.70 m.
2020, 34(6): 772-783.
doi: 10.1007/s13344-020-0070-0
Abstract:
Reliable assessment of the lateral pile–soil interaction is of pronounced importance for the design of mono-pile foundations of offshore wind turbines. As the offshore engineering moves to deeper waters, the diameter of mono-piles is getting larger, usually about 5 m and could be up to 8 m, which may lead to partially drained behaviors of sand in the vicinity of the pile and thus imply limitations of conventional design methods in which fully drained conditions were assumed. To shed light on this issue, a fully-coupled finite element model was established using an in-house developed finite element code DBLEAVES, incorporating a cyclic mobility constitutive model that is capable of describing the instantaneous contractive and dilative response of sands simultaneously. Triaxial and centrifuge model tests were conducted to calibrate the constitutive model and validate the pile–soil interaction model respectively. This is followed by a parametric study primarily focusing on the effects of loading rates. The initial stiffness of the p–y curve was found to increase with the loading rate whilst the bearing capacity showed the inverse, and the mechanism behind this phenomenon is examined in detail. Then an explicit model was developed to evaluate the development of excess pore pressure in the pile front upon lateral loading, and an upper boundary of normalized loading rate was identified to distinguish fully and partially drained conditions.
Reliable assessment of the lateral pile–soil interaction is of pronounced importance for the design of mono-pile foundations of offshore wind turbines. As the offshore engineering moves to deeper waters, the diameter of mono-piles is getting larger, usually about 5 m and could be up to 8 m, which may lead to partially drained behaviors of sand in the vicinity of the pile and thus imply limitations of conventional design methods in which fully drained conditions were assumed. To shed light on this issue, a fully-coupled finite element model was established using an in-house developed finite element code DBLEAVES, incorporating a cyclic mobility constitutive model that is capable of describing the instantaneous contractive and dilative response of sands simultaneously. Triaxial and centrifuge model tests were conducted to calibrate the constitutive model and validate the pile–soil interaction model respectively. This is followed by a parametric study primarily focusing on the effects of loading rates. The initial stiffness of the p–y curve was found to increase with the loading rate whilst the bearing capacity showed the inverse, and the mechanism behind this phenomenon is examined in detail. Then an explicit model was developed to evaluate the development of excess pore pressure in the pile front upon lateral loading, and an upper boundary of normalized loading rate was identified to distinguish fully and partially drained conditions.
2020, 34(6): 784-794.
doi: 10.1007/s13344-020-0071-z
Abstract:
Suction caissons can readily penetrate into the seabed under the combination of the self-weight and suction resulted from the encased water being increasingly pumped out. During suction-assisted penetration, the equivalent overburden at the skirt-tip level outside the caisson is generally higher than that inside because the vertical stress within the soil plug is reduced by the exerted suction. This may result in a uniform shear stress developing over the base of the skirt-tip as the soil below the skirt-tip tends to move into the caisson, which leads to an asymmetric failure wedge existing below the base of the skirt-tip. Besides, different adhesion factors along the inside (αi) and outside (αo) of the skirt wall will cause asymmetric plastic zones inside and outside the caisson. Accordingly, an asymmetric failure mechanism is therefore proposed to calculate the penetration resistance of the skirt-tip. The proposed failure mechanism is the first to consider the effect of different adhesion factors (αi) and (αo) on the failure mechanism at the skirt-tip, and involves the contribution from the weighted average of equivalent overburdens inside and outside caisson at the skirt-tip level. The required suction pressure can be obtained in terms of force equilibrium of the caisson in a vertical direction. Finally, the asymmetric failure mechanism at the skirt-tip is validated with the FE calculations. By comparing with the measured data, the predictions of the required suction pressure are found to be in good agreement with the experimental results.
Suction caissons can readily penetrate into the seabed under the combination of the self-weight and suction resulted from the encased water being increasingly pumped out. During suction-assisted penetration, the equivalent overburden at the skirt-tip level outside the caisson is generally higher than that inside because the vertical stress within the soil plug is reduced by the exerted suction. This may result in a uniform shear stress developing over the base of the skirt-tip as the soil below the skirt-tip tends to move into the caisson, which leads to an asymmetric failure wedge existing below the base of the skirt-tip. Besides, different adhesion factors along the inside (αi) and outside (αo) of the skirt wall will cause asymmetric plastic zones inside and outside the caisson. Accordingly, an asymmetric failure mechanism is therefore proposed to calculate the penetration resistance of the skirt-tip. The proposed failure mechanism is the first to consider the effect of different adhesion factors (αi) and (αo) on the failure mechanism at the skirt-tip, and involves the contribution from the weighted average of equivalent overburdens inside and outside caisson at the skirt-tip level. The required suction pressure can be obtained in terms of force equilibrium of the caisson in a vertical direction. Finally, the asymmetric failure mechanism at the skirt-tip is validated with the FE calculations. By comparing with the measured data, the predictions of the required suction pressure are found to be in good agreement with the experimental results.
2020, 34(6): 795-805.
doi: 10.1007/s13344-020-0072-y
Abstract:
A new dynamically installed plate anchor, the Flying Wing Anchor®, has been developed as a sustainable anchor concept for deep-water offshore wind turbines. The anchor is firstly installed by free-fall penetration and then followed by drag embedment. If the anchor is subjected to environmental loads, it dives deeper to mobilize a higher capacity. This study presents a series of free-fall penetration tests with model anchors in different weights to assess the anchor behavior during the free-fall penetration performance in one-layer soil with a constant shear strength profile. Anchor velocities and embedment depths were measured by a magnetometer. An energy-based model and a force-based model were calibrated against the test results of model anchors with different weights. Based on the calibrated force-based model, a series of design charts were developed to estimate the embedment depth of anchors in different sizes and with different impact velocities in various marine clays. The framework to plot design charts presented herein can be potentially applied to other dynamically installed anchors to predict embedment depth in engineering practice.
A new dynamically installed plate anchor, the Flying Wing Anchor®, has been developed as a sustainable anchor concept for deep-water offshore wind turbines. The anchor is firstly installed by free-fall penetration and then followed by drag embedment. If the anchor is subjected to environmental loads, it dives deeper to mobilize a higher capacity. This study presents a series of free-fall penetration tests with model anchors in different weights to assess the anchor behavior during the free-fall penetration performance in one-layer soil with a constant shear strength profile. Anchor velocities and embedment depths were measured by a magnetometer. An energy-based model and a force-based model were calibrated against the test results of model anchors with different weights. Based on the calibrated force-based model, a series of design charts were developed to estimate the embedment depth of anchors in different sizes and with different impact velocities in various marine clays. The framework to plot design charts presented herein can be potentially applied to other dynamically installed anchors to predict embedment depth in engineering practice.
2020, 34(6): 806-816.
doi: 10.1007/s13344-020-0073-x
Abstract:
This paper presents a study on the tensile properties of reinforced thermoplastic pipes (RTPs). A mechanical model of RTPs with an arbitrary number of reinforced layers under tensile action is constructed by combining the constitutive relationship of elastoplastic materials with the continuous displacement condition. On this basis, the effects of various parameters such as the winding angle, the number of structurally reinforced layers, and the inner polyethylene (PE) liner thickness on the tensile properties of the RTPs were analyzed, and a tensile test was carried out for validation. The results showed that the winding angle of the structurally reinforced layers was the main factor affecting an RTP’s tensile performance— decreases in the winding angle significantly improved its tensile ability, especially the longitudinal strength. With ±45° as the demarcation point, the winding angle smaller than ±45° will result in higher strength in longitudinal direction, and the lifting effect on RTP's mechanical properties of the increasing number of reinforcement layers was better than that of the increasing thickness of the lining layer; when the winding angle was larger than ±45°, the opposite results were obtained. The fibre load was more sensitive to the winding angle than the PE load.
This paper presents a study on the tensile properties of reinforced thermoplastic pipes (RTPs). A mechanical model of RTPs with an arbitrary number of reinforced layers under tensile action is constructed by combining the constitutive relationship of elastoplastic materials with the continuous displacement condition. On this basis, the effects of various parameters such as the winding angle, the number of structurally reinforced layers, and the inner polyethylene (PE) liner thickness on the tensile properties of the RTPs were analyzed, and a tensile test was carried out for validation. The results showed that the winding angle of the structurally reinforced layers was the main factor affecting an RTP’s tensile performance— decreases in the winding angle significantly improved its tensile ability, especially the longitudinal strength. With ±45° as the demarcation point, the winding angle smaller than ±45° will result in higher strength in longitudinal direction, and the lifting effect on RTP's mechanical properties of the increasing number of reinforcement layers was better than that of the increasing thickness of the lining layer; when the winding angle was larger than ±45°, the opposite results were obtained. The fibre load was more sensitive to the winding angle than the PE load.
2020, 34(6): 817-827.
doi: 10.1007/s13344-020-0074-9
Abstract:
To avoid the damage caused by big wind and wave in cage culture, and to solve the problem of energy supply faced by automatic breeding equipment, a new type of floating breakwater, named as Savonius double buoy breakwater (SDBB), is proposed in the paper. The floating breakwater is composed of HDPE cylindrical double buoys and horizontal axis Savonius rotors, and has the functions of wave-absorbing and energy-capturing. Based on the linear wave theory and energy conservation law, the Fourier Transform was applied to separate the two-dimensional wave frequency domain, and the energy captured by the rotors and absorbed by the floating breakwater were calculated. Experiments were conducted in a two-dimensional wave-making flume, and the transmitted waves at different wave heights and periods, the tension of mooring lines, and the rotational torque exerted on the Savonius rotor were measured. A series of performance comparison tests were also performed on the new floating breakwater and the traditional double-floating breakwater. Results show that the new floating breakwater is better than the traditional one in terms of reducing wave transmittance, and the combination of the floating breakwater with Savonius rotors can provide for marine aquaculture equipments with green power supply to a certain degree of self-sufficiency.
To avoid the damage caused by big wind and wave in cage culture, and to solve the problem of energy supply faced by automatic breeding equipment, a new type of floating breakwater, named as Savonius double buoy breakwater (SDBB), is proposed in the paper. The floating breakwater is composed of HDPE cylindrical double buoys and horizontal axis Savonius rotors, and has the functions of wave-absorbing and energy-capturing. Based on the linear wave theory and energy conservation law, the Fourier Transform was applied to separate the two-dimensional wave frequency domain, and the energy captured by the rotors and absorbed by the floating breakwater were calculated. Experiments were conducted in a two-dimensional wave-making flume, and the transmitted waves at different wave heights and periods, the tension of mooring lines, and the rotational torque exerted on the Savonius rotor were measured. A series of performance comparison tests were also performed on the new floating breakwater and the traditional double-floating breakwater. Results show that the new floating breakwater is better than the traditional one in terms of reducing wave transmittance, and the combination of the floating breakwater with Savonius rotors can provide for marine aquaculture equipments with green power supply to a certain degree of self-sufficiency.
2020, 34(6): 828-839.
doi: 10.1007/s13344-020-0075-8
Abstract:
This study is concerned with the dynamic characteristics of bubbles near two connected walls (one horizontal and the other inclined with an obtuse angle from the horizontal one). In this study, we set up an experiment system to conduct typical cases, and the boundary element method is employed to explain the bubble behavior and study the effect of relative parameters. Comparing the two mutually perpendicular walls, we find that the liquid jet deviates from the horizontal direction within a much shorter range. On the intersection of the two walls, the motions of bubbles have similar trends. The relatively low pressure between the bubble and walls causes the transition of the bubble, and a local high-pressure zone leads to the formation of a liquid jet. Moreover, there are moments when the two walls are evenly stressed in the first bubble cycle. Through parameter analysis, we find that the jet directions of bubbles perform interesting discrepancies for different buoyancy and distances to walls. Some instructive conclusions are given to serve practical applications.
This study is concerned with the dynamic characteristics of bubbles near two connected walls (one horizontal and the other inclined with an obtuse angle from the horizontal one). In this study, we set up an experiment system to conduct typical cases, and the boundary element method is employed to explain the bubble behavior and study the effect of relative parameters. Comparing the two mutually perpendicular walls, we find that the liquid jet deviates from the horizontal direction within a much shorter range. On the intersection of the two walls, the motions of bubbles have similar trends. The relatively low pressure between the bubble and walls causes the transition of the bubble, and a local high-pressure zone leads to the formation of a liquid jet. Moreover, there are moments when the two walls are evenly stressed in the first bubble cycle. Through parameter analysis, we find that the jet directions of bubbles perform interesting discrepancies for different buoyancy and distances to walls. Some instructive conclusions are given to serve practical applications.
2020, 34(6): 840-852.
doi: 10.1007/s13344-020-0076-7
Abstract:
Interactions among different landforms and varied complicated physical processes cause sediment transport in coastal regions being the interest of ocean management planning studies. In coastal zones, the derivation of the bedload sediment transport rate and the flow velocity distribution is done by entropy theory which assumes the modified spatiotemporal disorder power index (MSTDPI) and the time-averaged flow velocity (as a random variable). Studying the deposition trend of bedload sediment transport rate for the sand particle (BLSTRS) and estimating the coastal erosion rate as a case study, the Makran coast is selected. To analyze the spatiotemporal patterns, the disorder power index (entropy-power) method is applied in this study where the monthly data of six Makran coastal sections from January 1970 to December 2015 are used. The studied data are mainly focused on the correlation of the flow rate of the sediment from the Makran River, and the spatiotemporal patterns of BLSTRS. Despite their meaningful spatiotemporal variability, it is not very easy to explain how the abovementioned variables perform together; the entropy-power index allows a better understanding of the combined performance of such parameters as the flow velocity and sediment transport by showing clearer signals for the assessment of coastal engineering issues at very large (coastal) scales.
Interactions among different landforms and varied complicated physical processes cause sediment transport in coastal regions being the interest of ocean management planning studies. In coastal zones, the derivation of the bedload sediment transport rate and the flow velocity distribution is done by entropy theory which assumes the modified spatiotemporal disorder power index (MSTDPI) and the time-averaged flow velocity (as a random variable). Studying the deposition trend of bedload sediment transport rate for the sand particle (BLSTRS) and estimating the coastal erosion rate as a case study, the Makran coast is selected. To analyze the spatiotemporal patterns, the disorder power index (entropy-power) method is applied in this study where the monthly data of six Makran coastal sections from January 1970 to December 2015 are used. The studied data are mainly focused on the correlation of the flow rate of the sediment from the Makran River, and the spatiotemporal patterns of BLSTRS. Despite their meaningful spatiotemporal variability, it is not very easy to explain how the abovementioned variables perform together; the entropy-power index allows a better understanding of the combined performance of such parameters as the flow velocity and sediment transport by showing clearer signals for the assessment of coastal engineering issues at very large (coastal) scales.
2020, 34(6): 853-862.
doi: 10.1007/s13344-020-0077-6
Abstract:
This paper proposes an equation to calculate breaking wave induced wave set-up and set-down along reef flat. The mathematical equation was derived based on the theory of radiation stress and the conservation of wave energy. The equation is primarily determined by several physical variables including the breaking wave index, the stable wave index, the attenuation coefficient of wave energy flux, and the flow velocity in the re-stabilization zone. A series of laboratory experiments were carried out to calibrate the theoretical equations. Specifically, the breaking wave index, the stable wave index, and the velocity over the reef flat were measured in the laboratory. The attenuation coefficient of wave energy flux in our theoretical equation was determined by calibration by comparing with the laboratory measured wave height. Furthermore, it has been put forward that the velocity based on cnoidal wave theory could be used to determine the velocity over the reef flat if there is no velocity measurement available. Overall, the proposed equation can provide satisfactory prediction of wave set-up and set-down along the reef flat.
This paper proposes an equation to calculate breaking wave induced wave set-up and set-down along reef flat. The mathematical equation was derived based on the theory of radiation stress and the conservation of wave energy. The equation is primarily determined by several physical variables including the breaking wave index, the stable wave index, the attenuation coefficient of wave energy flux, and the flow velocity in the re-stabilization zone. A series of laboratory experiments were carried out to calibrate the theoretical equations. Specifically, the breaking wave index, the stable wave index, and the velocity over the reef flat were measured in the laboratory. The attenuation coefficient of wave energy flux in our theoretical equation was determined by calibration by comparing with the laboratory measured wave height. Furthermore, it has been put forward that the velocity based on cnoidal wave theory could be used to determine the velocity over the reef flat if there is no velocity measurement available. Overall, the proposed equation can provide satisfactory prediction of wave set-up and set-down along the reef flat.
2020, 34(6): 863-870.
doi: 10.1007/s13344-020-0078-5
Abstract:
One mountain-type breakwater consisting of two inclined plates and one vertical plate is proposed based on several types of traditional free surface breakwaters, including the horizontal plate, curtain wall, and trapezoidal barriers. The interaction between the regular waves and the fixed free surface mountain-type breakwater is measured in one wave flume (15.0 m×0.6 m×0.7 m). The wave propagation, reflection, and transmission process are simulated using the VOF method and the hybrid SAS/laminar method. The simulated wave profiles are consistent with the experimental observations. For waves with a length smaller than four times width of the mountain-type breakwater, the reflected wave amplitudes are slightly larger than those of the vertical-plate breakwater, while the wave transmission coefficients are all smaller than 0.5, and the wave loss coefficients are larger than 0.7. The wave energy is dissipated by wave breaking on the windward inclined plate, and turbulent flow around the vertical plate and the leeward inclined plate.
One mountain-type breakwater consisting of two inclined plates and one vertical plate is proposed based on several types of traditional free surface breakwaters, including the horizontal plate, curtain wall, and trapezoidal barriers. The interaction between the regular waves and the fixed free surface mountain-type breakwater is measured in one wave flume (15.0 m×0.6 m×0.7 m). The wave propagation, reflection, and transmission process are simulated using the VOF method and the hybrid SAS/laminar method. The simulated wave profiles are consistent with the experimental observations. For waves with a length smaller than four times width of the mountain-type breakwater, the reflected wave amplitudes are slightly larger than those of the vertical-plate breakwater, while the wave transmission coefficients are all smaller than 0.5, and the wave loss coefficients are larger than 0.7. The wave energy is dissipated by wave breaking on the windward inclined plate, and turbulent flow around the vertical plate and the leeward inclined plate.
2020, 34(6): 871-880.
doi: 10.1007/s13344-020-0079-4
Abstract:
As the top of the pile foundation in high-pile wharf is connected to the superstructure and most of the pile bodies are located below the water surface, traditional damage detection methods are greatly limited in their application to pile foundation in service. In the present study, a new method for pile foundation damage detection is developed based on the curve shape of the curvature mode difference (CMD) before and after damage. In the method, the influence at each node on the overall CMD curve shape is analyzed through a data deletion model, statistical characteristic indexes are established to reflect the difference between damaged and undamaged units, and structural damage is accurately detected. The effectiveness and robustness of the method are verified by a finite element model (FEM) of high-pile wharf under different damage conditions and different intensities of Gaussian white noise. The applicability of the method is then experimentally validated by a physical model of high-pile wharf. Both the FEM and the experimental results show that the method is capable of detecting pile foundation damage in noisy curvature mode and has strong application potential.
As the top of the pile foundation in high-pile wharf is connected to the superstructure and most of the pile bodies are located below the water surface, traditional damage detection methods are greatly limited in their application to pile foundation in service. In the present study, a new method for pile foundation damage detection is developed based on the curve shape of the curvature mode difference (CMD) before and after damage. In the method, the influence at each node on the overall CMD curve shape is analyzed through a data deletion model, statistical characteristic indexes are established to reflect the difference between damaged and undamaged units, and structural damage is accurately detected. The effectiveness and robustness of the method are verified by a finite element model (FEM) of high-pile wharf under different damage conditions and different intensities of Gaussian white noise. The applicability of the method is then experimentally validated by a physical model of high-pile wharf. Both the FEM and the experimental results show that the method is capable of detecting pile foundation damage in noisy curvature mode and has strong application potential.
2020, 34(6): 881-888.
doi: 10.1007/s13344-020-0080-y
Abstract:
Turkey has announced its plan to construct a new waterway, Canal Istanbul, parallel to the Bosphorus. In this study, the influence of Canal Istanbul on salinity distribution in the northern Marmara Sea is investigated using a previously calibrated 3D hydrodynamic and salinity model. Moreover, the salinity field of the canal and its propagation are examined based on various meteorological cases. Finally, the flow structure of the canal is determined. It is calculated that at the southern end of the canal, mainly unidirectional flow (from the Black Sea to the Marmara Sea) occurs during 68% of the simulation period. A two-layer flow is seen only 28% of the time with a weak lower layer flow, whereas this value decreases to 4% at the north end of the canal. In the southward direction (to the Marmara Sea), velocities higher than 1.5 m/s are rarely observed along the canal. The average surface salinity difference in the northern Marmara Sea due to the construction of the canal is calculated to be smaller than 0.50 ppt. The salinity difference gradually diminishes as water depth increases and after 25 m (from the surface) almost no difference is observed.
Turkey has announced its plan to construct a new waterway, Canal Istanbul, parallel to the Bosphorus. In this study, the influence of Canal Istanbul on salinity distribution in the northern Marmara Sea is investigated using a previously calibrated 3D hydrodynamic and salinity model. Moreover, the salinity field of the canal and its propagation are examined based on various meteorological cases. Finally, the flow structure of the canal is determined. It is calculated that at the southern end of the canal, mainly unidirectional flow (from the Black Sea to the Marmara Sea) occurs during 68% of the simulation period. A two-layer flow is seen only 28% of the time with a weak lower layer flow, whereas this value decreases to 4% at the north end of the canal. In the southward direction (to the Marmara Sea), velocities higher than 1.5 m/s are rarely observed along the canal. The average surface salinity difference in the northern Marmara Sea due to the construction of the canal is calculated to be smaller than 0.50 ppt. The salinity difference gradually diminishes as water depth increases and after 25 m (from the surface) almost no difference is observed.
ScholarOne Manuscripts Log In
Current Issue

- Volume 39
- Issue 4
- September 2025
- Editor-in-Chief:
- Superintended by:
CHINA ASSOCIATION FOR SCIENCE AND TECHNOLOGY
- Sponsored by:
Chinese Ocean Engineering Society (COES)
- Edited by:
Nanjing Hydraulic Research Institute
Highlights
Stay up to Date
