2021 Vol.35(2)
Display Mode: |
2021, 35(2): 161-175.
doi: 10.1007/s13344-021-0015-2
Abstract:
Semi-submersibles for offshore oil exploration and exploitation often suffer from severe wave impacts in extreme ocean environments. Owing to the complex wave interactions among structural components of semi-submersibles, in-depth analyses on the characteristics of wave impact events are of significance for both industry and academia. An experimental study was carried out to investigate the local wave impact loads on a semi-submersible, with focus on understanding the wave impacts by identifying typical impact modes. Quantitative criteria are proposed to classify major wave impacts on the semi-submersible into six modes and two types. The results show that the classification is reasonable and provides valuable information for studying wave impacts on semi-submersibles. The incident wave characteristics at the fore column of the semi-submersible have important influence on the wave impact mode. The fore-column dominating wave impacts exert the most intense loads on the fore column and feature well-developed breaking waves or slightly breaking waves at the fore column. However, the aft-column dominating wave impacts exert the most intense loads on the aft column or the deck bottom and feature non-breaking waves at the fore column. Energy loss during the fore-column impact weakens the impact severity on the aft column in the fore-column dominating wave impacts. The shoaling effect of the submerged pontoon and different motion configurations of the platform result in higher occurrence rate of the aft-column dominating wave impacts. Different impact modes are also distinguished by different spatial distributions of wave impact loads.
Semi-submersibles for offshore oil exploration and exploitation often suffer from severe wave impacts in extreme ocean environments. Owing to the complex wave interactions among structural components of semi-submersibles, in-depth analyses on the characteristics of wave impact events are of significance for both industry and academia. An experimental study was carried out to investigate the local wave impact loads on a semi-submersible, with focus on understanding the wave impacts by identifying typical impact modes. Quantitative criteria are proposed to classify major wave impacts on the semi-submersible into six modes and two types. The results show that the classification is reasonable and provides valuable information for studying wave impacts on semi-submersibles. The incident wave characteristics at the fore column of the semi-submersible have important influence on the wave impact mode. The fore-column dominating wave impacts exert the most intense loads on the fore column and feature well-developed breaking waves or slightly breaking waves at the fore column. However, the aft-column dominating wave impacts exert the most intense loads on the aft column or the deck bottom and feature non-breaking waves at the fore column. Energy loss during the fore-column impact weakens the impact severity on the aft column in the fore-column dominating wave impacts. The shoaling effect of the submerged pontoon and different motion configurations of the platform result in higher occurrence rate of the aft-column dominating wave impacts. Different impact modes are also distinguished by different spatial distributions of wave impact loads.
2021, 35(2): 176-185.
doi: 10.1007/s13344-021-0016-1
Abstract:
Based on the open source code OpenFOAM, a three-dimensional model is presented for simulation of the interaction between waves and rubble mound breakwater with armor units. The armor units with their real geometries are depicted through computational grids. The volume-averaged RANS equation and the seepage equation containing nonlinear term are used to describe the percolation in the core and underlayer of the breakwater. Grids independence analysis are carried out, the horizontal and vertical grid size are recommended to take as one-fifteenth of the mean nominal diameter D50 of the armor units and one-fifteenth of the wave height respectively. Random wave overtopping of rubble mound breakwater with armor units is simulated through the proposed model. The results show good agreement between the simulated and measured overtopping discharge rates for different types of armor units. The developed numerical model can be used to evaluate the random wave overtopping in design of rubble mound breakwater with artificial armor blocs.
Based on the open source code OpenFOAM, a three-dimensional model is presented for simulation of the interaction between waves and rubble mound breakwater with armor units. The armor units with their real geometries are depicted through computational grids. The volume-averaged RANS equation and the seepage equation containing nonlinear term are used to describe the percolation in the core and underlayer of the breakwater. Grids independence analysis are carried out, the horizontal and vertical grid size are recommended to take as one-fifteenth of the mean nominal diameter D50 of the armor units and one-fifteenth of the wave height respectively. Random wave overtopping of rubble mound breakwater with armor units is simulated through the proposed model. The results show good agreement between the simulated and measured overtopping discharge rates for different types of armor units. The developed numerical model can be used to evaluate the random wave overtopping in design of rubble mound breakwater with artificial armor blocs.
2021, 35(2): 186-200.
doi: 10.1007/s13344-021-0017-0
Abstract:
Offshore wind farm construction is nowadays state of the art in the wind power generation technology. However, deep water areas with huge amount of wind energy require innovative floating platforms to arrange and install wind turbines in order to harness wind energy and generate electricity. The conventional floating offshore wind turbine system is typically in the state of force imbalance due to the unique sway characteristics caused by the unfixed foundation and the high center of gravity of the platform. Therefore, a floating wind farm for 3×3 barge array platforms with shared mooring system is presented here to increase stability for floating platform. The NREL 5 MW wind turbine and ITI Energy barge reference model is taken as a basis for this work. Furthermore, the unsteady aerodynamic load solution model of the floating wind turbine is established considering the tip loss, hub loss and dynamic stall correction based on the blade element momentum (BEM) theory. The second development of AQWA is realized by FORTRAN programming language, and aerodynamic - hydrodynamic - Mooring coupled dynamics model is established to realize the algorithm solution of the model. Finally, the 6 degrees of freedom (DOF) dynamic response of single barge platform and barge array under extreme sea condition considering the coupling effect of wind and wave were observed and investigated in detail. The research results validate the feasibility of establishing barge array floating wind farm, and provide theoretical basis for further research on new floating wind farm.
Offshore wind farm construction is nowadays state of the art in the wind power generation technology. However, deep water areas with huge amount of wind energy require innovative floating platforms to arrange and install wind turbines in order to harness wind energy and generate electricity. The conventional floating offshore wind turbine system is typically in the state of force imbalance due to the unique sway characteristics caused by the unfixed foundation and the high center of gravity of the platform. Therefore, a floating wind farm for 3×3 barge array platforms with shared mooring system is presented here to increase stability for floating platform. The NREL 5 MW wind turbine and ITI Energy barge reference model is taken as a basis for this work. Furthermore, the unsteady aerodynamic load solution model of the floating wind turbine is established considering the tip loss, hub loss and dynamic stall correction based on the blade element momentum (BEM) theory. The second development of AQWA is realized by FORTRAN programming language, and aerodynamic - hydrodynamic - Mooring coupled dynamics model is established to realize the algorithm solution of the model. Finally, the 6 degrees of freedom (DOF) dynamic response of single barge platform and barge array under extreme sea condition considering the coupling effect of wind and wave were observed and investigated in detail. The research results validate the feasibility of establishing barge array floating wind farm, and provide theoretical basis for further research on new floating wind farm.
2021, 35(2): 201-214.
doi: 10.1007/s13344-021-0018-z
Abstract:
Compared with bottom-fixed wind turbines, the supporting platform of a floating offshore wind turbine has a larger range of motion, so the gyroscopic effects of the system will be more obvious. In this paper, the mathematical analytic expression of the gyroscopic moment of a floating offshore wind turbine is derived firstly. Then, FAST software is utilized to perform a numerical analysis on the model of a spar-type horizontal axis floating offshore wind turbine, OC3-Hywind, so as to verify the correctness of the theoretical analytical formula and take an investigation on the characteristics of gyroscopic effect. It is found that the gyroscopic moment of the horizontal axis floating offshore wind turbine is essentially caused by the vector change of the rotating rotor, which may be due to the pitch or yaw motion of the floating platform or the yawing motion of the nacelle. When the rotor is rotating, the pitch motion of the platform mainly excites the gyroscopic moment in the rotor’s yaw direction, and the yaw motion of the platform largely excites the rotor’s gyroscopic moment in pitch direction, accordingly. The results show that the gyroscopic moment of the FOWT is roughly linearly related to the rotor’s inertia, the rotor speed, and the angular velocity of the platform motion.
Compared with bottom-fixed wind turbines, the supporting platform of a floating offshore wind turbine has a larger range of motion, so the gyroscopic effects of the system will be more obvious. In this paper, the mathematical analytic expression of the gyroscopic moment of a floating offshore wind turbine is derived firstly. Then, FAST software is utilized to perform a numerical analysis on the model of a spar-type horizontal axis floating offshore wind turbine, OC3-Hywind, so as to verify the correctness of the theoretical analytical formula and take an investigation on the characteristics of gyroscopic effect. It is found that the gyroscopic moment of the horizontal axis floating offshore wind turbine is essentially caused by the vector change of the rotating rotor, which may be due to the pitch or yaw motion of the floating platform or the yawing motion of the nacelle. When the rotor is rotating, the pitch motion of the platform mainly excites the gyroscopic moment in the rotor’s yaw direction, and the yaw motion of the platform largely excites the rotor’s gyroscopic moment in pitch direction, accordingly. The results show that the gyroscopic moment of the FOWT is roughly linearly related to the rotor’s inertia, the rotor speed, and the angular velocity of the platform motion.
2021, 35(2): 215-227.
doi: 10.1007/s13344-021-0019-y
Abstract:
The vortex-induced vibration test of the deep-sea riser was carried out with different excitation water depths in the wave-current combined water flume. By dimensionally changing the multi-stage water depth and hydrodynamic parameters such as outflow velocity at various water depths, the dynamic response parameters such as dominant frequency, dimensionless displacement and vibration trajectory evolution process of the riser under different excitation water depths were explored to reveal the sensitive characteristics of the dynamic response of vortex-induced vibration of the risers under different excitation water depths. The results show that different excitation water depths will change the additional mass of the riser and the fluid damping and other parameters, which will affect the spatial correlation and stability of the vortex shedding behind the riser. In the lock-in region, the distribution range of the characteristic frequency becomes narrow and centered on the lock-in frequency. The increase of the excitation water depth gradually advances the starting point of the lock-in region of the riser, and at the same time promotes the excitation of the higher-order vibration frequency of the riser structure. Within the dimensionless excitation water depth, the dominant frequency and dimensionless displacement are highly insensitive to the excitation water depth at high flow velocity. The change of the excitation water depth will interfere with the correlation of the non-linear coupling of the riser. The “8-shaped” gradually becomes irregular, and the vibration trajectories of the riser show “O-shape”, “X-shape” and “Crescent-shape”.
The vortex-induced vibration test of the deep-sea riser was carried out with different excitation water depths in the wave-current combined water flume. By dimensionally changing the multi-stage water depth and hydrodynamic parameters such as outflow velocity at various water depths, the dynamic response parameters such as dominant frequency, dimensionless displacement and vibration trajectory evolution process of the riser under different excitation water depths were explored to reveal the sensitive characteristics of the dynamic response of vortex-induced vibration of the risers under different excitation water depths. The results show that different excitation water depths will change the additional mass of the riser and the fluid damping and other parameters, which will affect the spatial correlation and stability of the vortex shedding behind the riser. In the lock-in region, the distribution range of the characteristic frequency becomes narrow and centered on the lock-in frequency. The increase of the excitation water depth gradually advances the starting point of the lock-in region of the riser, and at the same time promotes the excitation of the higher-order vibration frequency of the riser structure. Within the dimensionless excitation water depth, the dominant frequency and dimensionless displacement are highly insensitive to the excitation water depth at high flow velocity. The change of the excitation water depth will interfere with the correlation of the non-linear coupling of the riser. The “8-shaped” gradually becomes irregular, and the vibration trajectories of the riser show “O-shape”, “X-shape” and “Crescent-shape”.
2021, 35(2): 228-237.
doi: 10.1007/s13344-021-0020-5
Abstract:
The ice resistance on a ship hull affects the safety of the hull structure and the ship maneuvering performance in ice-covered regions. In this paper, the discrete element method (DEM) is adopted to simulate the interaction between level ice and ship hull. The level ice is modeled with 3D bonded spherical elements considering the buoyancy and drag force of the water. The parallel bonding approach and the de-bonding criterion are adopted to model the freezing and breakage of level ice. The ship hull is constructed with rigid triangle elements. To improve computational efficiency, the GPU-based parallel computational algorithm was developed for the DEM simulations. During the interaction between the ship hull and level ice, the ice cover is broken into small blocks when the inter-particle stress approaches the bonding strength. The global ice resistance on the hull is calculated through the contacts between ice elements and hull elements during the navigation process. The influences of the ice thickness and navigation speed on the dynamic ice force are analyzed considering the breakage mechanism of ice cover. The Lindqvist and Riska formulas for the determination of ice resistance on ship hull are employed to validate the DEM simulation. The comparison of results of DEM, Lindqvist, and Riska formula show that the DEM result is between those the Lindqvist formula and Riska formula. Therefore the proposed DEM is an effective approach to determine the ice resistance on the ship hull. This work can be aided in the hull structure design and the navigation operation in ice-covered fields.
The ice resistance on a ship hull affects the safety of the hull structure and the ship maneuvering performance in ice-covered regions. In this paper, the discrete element method (DEM) is adopted to simulate the interaction between level ice and ship hull. The level ice is modeled with 3D bonded spherical elements considering the buoyancy and drag force of the water. The parallel bonding approach and the de-bonding criterion are adopted to model the freezing and breakage of level ice. The ship hull is constructed with rigid triangle elements. To improve computational efficiency, the GPU-based parallel computational algorithm was developed for the DEM simulations. During the interaction between the ship hull and level ice, the ice cover is broken into small blocks when the inter-particle stress approaches the bonding strength. The global ice resistance on the hull is calculated through the contacts between ice elements and hull elements during the navigation process. The influences of the ice thickness and navigation speed on the dynamic ice force are analyzed considering the breakage mechanism of ice cover. The Lindqvist and Riska formulas for the determination of ice resistance on ship hull are employed to validate the DEM simulation. The comparison of results of DEM, Lindqvist, and Riska formula show that the DEM result is between those the Lindqvist formula and Riska formula. Therefore the proposed DEM is an effective approach to determine the ice resistance on the ship hull. This work can be aided in the hull structure design and the navigation operation in ice-covered fields.
2021, 35(2): 238-249.
doi: 10.1007/s13344-021-0021-4
Abstract:
Marine environmental design parameter extrapolation has important applications in marine engineering and coastal disaster prevention. The distribution models used for environmental design parameter usually pass the hypothesis tests in statistical analysis, but the calculation results of different distribution models often vary largely. In this paper, based on the information entropy, the overall uncertainty test criteria were studied for commonly used distributions including Gumbel, Weibull, and Pearson-III distribution. An improved method for parameter estimation of the maximum entropy distribution model is proposed on the basis of moment estimation. The study in this paper shows that the number of sample data and the degree of dispersion are proportional to the information entropy, and the overall uncertainty of the maximum entropy distribution model is minimal compared with other models.
Marine environmental design parameter extrapolation has important applications in marine engineering and coastal disaster prevention. The distribution models used for environmental design parameter usually pass the hypothesis tests in statistical analysis, but the calculation results of different distribution models often vary largely. In this paper, based on the information entropy, the overall uncertainty test criteria were studied for commonly used distributions including Gumbel, Weibull, and Pearson-III distribution. An improved method for parameter estimation of the maximum entropy distribution model is proposed on the basis of moment estimation. The study in this paper shows that the number of sample data and the degree of dispersion are proportional to the information entropy, and the overall uncertainty of the maximum entropy distribution model is minimal compared with other models.
2021, 35(2): 250-261.
doi: 10.1007/s13344-021-0022-3
Abstract:
The spoiler is a kind of device to disturb current and promote burying. At present, all submarine pipeline spoilers at home and abroad are parallel spoilers, that is, the plane of the spoiler is parallel to the vertical plane of the pipeline axis. According to the results of indoor experiments, when the pipeline with the forward spoiler is installed perpendicular to the direction of water flow, the spoiler will accelerate the seabed erosion and cause the pipeline to endure downward pressure, which will eventually cause the pipeline self-buried to form a protection. However, when the pipeline direction is consistent with the flow direction, the self-buried behavior and protective effect is vanished. By aiming at the defect that the forward spoiler cannot be self-buried when the direction of the pipeline and the flow are basically parallel, the spoiler burying aid device perpendicular to the pipeline axis has been innovatively developed, and the hydrodynamic changes and sediment erosion characteristics near the pipeline after the installation of the device were studied based on the experiment. Results reveal that although the perpendicular spoiler cannot generate downforce, it can greatly increase the turbulent kinetic energy of the flow and the rate of sediment erosion. The larger the angle between the pipeline axis and the spoiler plane is, the larger the increase in turbulent energy will be. The increase in turbulent energy near the bed surface can reach up about 70% when the angle is 90°, while serious sediment erosion mainly occurs along both sides of the pipeline with a distance of about 2−4 times the pipe diameter. In the future, we can further explore the influence of the perpendicular spoiler size and installation position on the pipeline downforce and the effect of burying promotion. At the same time, field tests on the perpendicular spoiler burying aid device currently developed will conduct to observe the actual effect of perpendicular spoiler promoting pipeline scouring and burying, and improve submarine pipeline safety protection technology.
The spoiler is a kind of device to disturb current and promote burying. At present, all submarine pipeline spoilers at home and abroad are parallel spoilers, that is, the plane of the spoiler is parallel to the vertical plane of the pipeline axis. According to the results of indoor experiments, when the pipeline with the forward spoiler is installed perpendicular to the direction of water flow, the spoiler will accelerate the seabed erosion and cause the pipeline to endure downward pressure, which will eventually cause the pipeline self-buried to form a protection. However, when the pipeline direction is consistent with the flow direction, the self-buried behavior and protective effect is vanished. By aiming at the defect that the forward spoiler cannot be self-buried when the direction of the pipeline and the flow are basically parallel, the spoiler burying aid device perpendicular to the pipeline axis has been innovatively developed, and the hydrodynamic changes and sediment erosion characteristics near the pipeline after the installation of the device were studied based on the experiment. Results reveal that although the perpendicular spoiler cannot generate downforce, it can greatly increase the turbulent kinetic energy of the flow and the rate of sediment erosion. The larger the angle between the pipeline axis and the spoiler plane is, the larger the increase in turbulent energy will be. The increase in turbulent energy near the bed surface can reach up about 70% when the angle is 90°, while serious sediment erosion mainly occurs along both sides of the pipeline with a distance of about 2−4 times the pipe diameter. In the future, we can further explore the influence of the perpendicular spoiler size and installation position on the pipeline downforce and the effect of burying promotion. At the same time, field tests on the perpendicular spoiler burying aid device currently developed will conduct to observe the actual effect of perpendicular spoiler promoting pipeline scouring and burying, and improve submarine pipeline safety protection technology.
Study of the Bearing Capacity at the Variable Cross-Section of A Riser-Surface Casing Composite Pile
2021, 35(2): 262-271.
doi: 10.1007/s13344-021-0023-2
Abstract:
Reducing the cost of offshore platform construction is an urgent issue for marginal oilfield development. The offshore oil well structure includes a riser and a surface casing. The riser, surface casing and oil well cement can be considered special variable cross-section piles. Replacing or partially replacing the steel pipe pile foundation with a variable cross-section pile to provide the required bearing capacity for an offshore oil platform can reduce the cost of foundation construction and improve the economic efficiency of production. In this paper, the finite element analysis method is used to investigate the variable cross-section bearing mode of composite piles composed of a riser and a surface casing in saturated clay under a vertical load. The calculation formula of the bearing capacity at the variable section is derived based on the theory of spherical cavity expansion, the influencing factors of the bearing capacity coefficient Nc are revealed, and the calculation method of Nc is proposed. By comparing the calculation results with the results of the centrifuge test, the accuracy and applicability of the calculation method are verified. The results show that the riser composite pile has a rigid core in the soil under the variable cross-section, which increases the bearing capacity at the variable cross-section.
Reducing the cost of offshore platform construction is an urgent issue for marginal oilfield development. The offshore oil well structure includes a riser and a surface casing. The riser, surface casing and oil well cement can be considered special variable cross-section piles. Replacing or partially replacing the steel pipe pile foundation with a variable cross-section pile to provide the required bearing capacity for an offshore oil platform can reduce the cost of foundation construction and improve the economic efficiency of production. In this paper, the finite element analysis method is used to investigate the variable cross-section bearing mode of composite piles composed of a riser and a surface casing in saturated clay under a vertical load. The calculation formula of the bearing capacity at the variable section is derived based on the theory of spherical cavity expansion, the influencing factors of the bearing capacity coefficient Nc are revealed, and the calculation method of Nc is proposed. By comparing the calculation results with the results of the centrifuge test, the accuracy and applicability of the calculation method are verified. The results show that the riser composite pile has a rigid core in the soil under the variable cross-section, which increases the bearing capacity at the variable cross-section.
2021, 35(2): 272-280.
doi: 10.1007/s13344-021-0024-1
Abstract:
A suction caisson can be extracted by applying reverse pumping water, which cannot be regarded as the reverse process of installation because of the dramatically different soil−structure interaction behavior. Model tests were first carried out in this study to investigate the extraction behavior of the modified suction caisson (MSC) and the regular suction caisson (RSC) in sand by reverse pumping water. The effects of the installation ways (suction-assisted or jacking installation) and the reverse pumping rate on the variations of the over-pressure resulting form reverse pumping water were investigated. It was found that neither the RSC nor the MSC can be fully extracted from sand. When the maximum extraction displacement is obtained, the hydraulic gradient of the sand in the suction caisson reaches the critical value, leading to seepage failure. In addition, the maximum extraction displacement decreases with the increasing reverse pumping rate. Under the same reverse pumping rate, the final extraction displacements for the RSC and MSC installed by suction are lower than those for the RSC and MSC installed by jacking. The final extraction displacement of MSC is almost equal to that of the RSC with the same internal compartment length. Based on the force equilibrium, a method of estimating the maximum extraction displacement is proposed. It has been proved that the proposed method can rationally predict the maximum extraction displacement and the corresponding over-pressure.
A suction caisson can be extracted by applying reverse pumping water, which cannot be regarded as the reverse process of installation because of the dramatically different soil−structure interaction behavior. Model tests were first carried out in this study to investigate the extraction behavior of the modified suction caisson (MSC) and the regular suction caisson (RSC) in sand by reverse pumping water. The effects of the installation ways (suction-assisted or jacking installation) and the reverse pumping rate on the variations of the over-pressure resulting form reverse pumping water were investigated. It was found that neither the RSC nor the MSC can be fully extracted from sand. When the maximum extraction displacement is obtained, the hydraulic gradient of the sand in the suction caisson reaches the critical value, leading to seepage failure. In addition, the maximum extraction displacement decreases with the increasing reverse pumping rate. Under the same reverse pumping rate, the final extraction displacements for the RSC and MSC installed by suction are lower than those for the RSC and MSC installed by jacking. The final extraction displacement of MSC is almost equal to that of the RSC with the same internal compartment length. Based on the force equilibrium, a method of estimating the maximum extraction displacement is proposed. It has been proved that the proposed method can rationally predict the maximum extraction displacement and the corresponding over-pressure.
2021, 35(2): 281-290.
doi: 10.1007/s13344-021-0025-0
Abstract:
The purpose of this research is to study the dynamic responses of gravity quay walls with block type consisting of “three blocks” experimentally. For this purpose, 1g shaking table tests were conducted under different cyclic loadings for two different saturated granular backfill materials (Soil 1 and Soil 2). In this study, Dn50 of Soil 1 and Soil 2 are selected as 2.2 cm and 1.0 cm, respectively. During the experiments, accelerations, soil pressures and displacements were measured for each block. Test results pointed out that Soil 2 caused more damage on structures. The measurements for displacement and tilting of each block were discussed in view of “acceptable level of damage in performance-based design” given inPIANC (2001) . The result of the study showed that the definitions of damaged levels given in PIANC (2001) were reliable for using in performance-based methods for seismic design of block type quay walls.
The purpose of this research is to study the dynamic responses of gravity quay walls with block type consisting of “three blocks” experimentally. For this purpose, 1g shaking table tests were conducted under different cyclic loadings for two different saturated granular backfill materials (Soil 1 and Soil 2). In this study, Dn50 of Soil 1 and Soil 2 are selected as 2.2 cm and 1.0 cm, respectively. During the experiments, accelerations, soil pressures and displacements were measured for each block. Test results pointed out that Soil 2 caused more damage on structures. The measurements for displacement and tilting of each block were discussed in view of “acceptable level of damage in performance-based design” given in
2021, 35(2): 291-300.
doi: 10.1007/s13344-021-0026-z
Abstract:
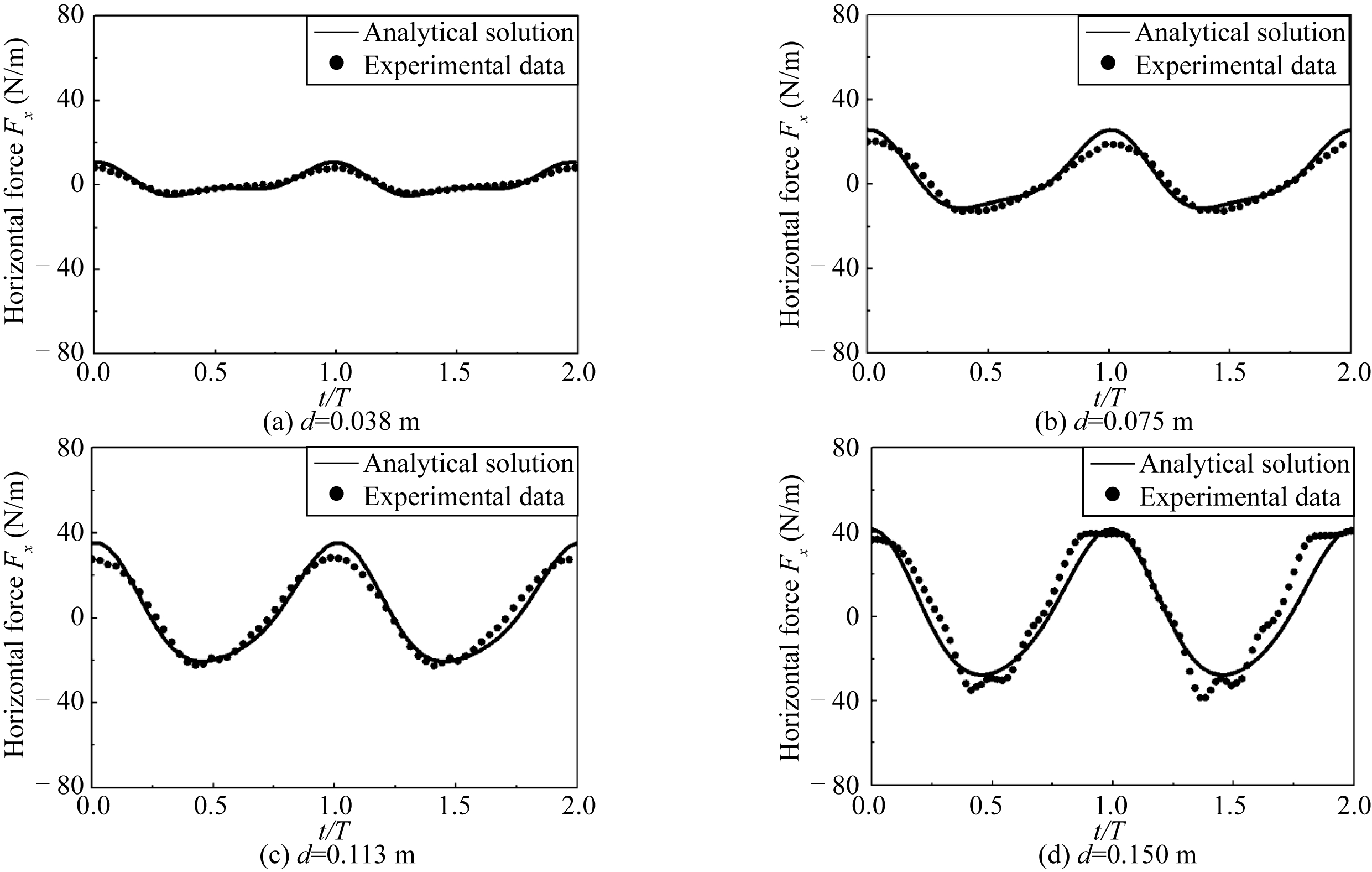
Large-scale interceptors constitute the main structure of offshore self-driven floating marine litter collection devices, and the structural stability of such interceptors under the action of waves directly influences the overall safety of the device. When the ratio of the diameter of a horizontal cylinder in such interceptors to the incident wavelength is larger than 0.25, the wave force can be calculated by using the diffraction theory, by considering the problem as that of the interaction between the waves and a partially immersed large-scale horizontal cylinder. In this study, an analytical approach to calculate the wave force on a partially immersed large-scale horizontal cylinder was formulated by using the stepwise approximation method. Physical model tests were conducted to investigate the effects of different factors (wave height, period, and immersion depth) on the wave force on a large-scale horizontal cylinder under conditions involving short-period waves. The results show that both horizontal and vertical wave forces on the cylinder increase as the wave height (immersion depth) increases in most cases. The vertical wave force decreases with the decrease of the period. For the horizontal wave force, it increases with the decrease of the period when the wavelength is larger than the diameter of the cylinder and decreases with the decrease of the period when the wavelength is smaller than the diameter of the cylinder.
Large-scale interceptors constitute the main structure of offshore self-driven floating marine litter collection devices, and the structural stability of such interceptors under the action of waves directly influences the overall safety of the device. When the ratio of the diameter of a horizontal cylinder in such interceptors to the incident wavelength is larger than 0.25, the wave force can be calculated by using the diffraction theory, by considering the problem as that of the interaction between the waves and a partially immersed large-scale horizontal cylinder. In this study, an analytical approach to calculate the wave force on a partially immersed large-scale horizontal cylinder was formulated by using the stepwise approximation method. Physical model tests were conducted to investigate the effects of different factors (wave height, period, and immersion depth) on the wave force on a large-scale horizontal cylinder under conditions involving short-period waves. The results show that both horizontal and vertical wave forces on the cylinder increase as the wave height (immersion depth) increases in most cases. The vertical wave force decreases with the decrease of the period. For the horizontal wave force, it increases with the decrease of the period when the wavelength is larger than the diameter of the cylinder and decreases with the decrease of the period when the wavelength is smaller than the diameter of the cylinder.
2021, 35(2): 301-307.
doi: 10.1007/s13344-021-0027-y
Abstract:
The performance of dual perforated floating plates in a rectangular tank is investigated based on the model tests under different external excitations for different filling rates. It is found that dual perforated floating plates in the tank can remarkably mitigate violent resonant sloshing responses compared with the clean tank, especially when the external excitation frequency is in the vicinity of the first-order resonant frequency. Next, the parametric studies based on different filling rates and external excitation amplitudes are performed for the first-order resonant frequencies. The presence of dual perforated floating plates seldom shifts the sloshing natural frequencies. Further, dual perforated floating plates change the sloshing modes from the standing-wave mode in the clean tank to the U-tube mode, which can arise from the sloshing reduction to some extent.
The performance of dual perforated floating plates in a rectangular tank is investigated based on the model tests under different external excitations for different filling rates. It is found that dual perforated floating plates in the tank can remarkably mitigate violent resonant sloshing responses compared with the clean tank, especially when the external excitation frequency is in the vicinity of the first-order resonant frequency. Next, the parametric studies based on different filling rates and external excitation amplitudes are performed for the first-order resonant frequencies. The presence of dual perforated floating plates seldom shifts the sloshing natural frequencies. Further, dual perforated floating plates change the sloshing modes from the standing-wave mode in the clean tank to the U-tube mode, which can arise from the sloshing reduction to some extent.
2021, 35(2): 308-316.
doi: 10.1007/s13344-021-0028-x
Abstract:
Robust prediction of extreme motions during wind farm support vessel (WFSV) operation is an important safety concern that requires further extensive research as offshore wind energy industry sector widens. In particular, it is important to study the safety of operation in random sea conditions during WFSV docking against the wind tower, while workers are able to get on the tower. Docking is performed by thrusting vessel fender against wind tower (an alternative docking way by hinging is not studied here). In this paper, the finite element software AQWA has been used to analyze vessel response due to hydrodynamic wave loads, acting on a specific maintenance ship under actual sea conditions. Excessive roll may occur during certain sea conditions, especially in the beam sea, posing a risk to the crew transfer operation. The Bohai Sea is the area of diverse industrial activities such as offshore oil production, wave and wind power generation, etc. This paper advocates a novel method for estimating extreme roll statistics, based on Monte Carlo simulations (or measurements). The ACER (averaged conditional exceedance rate) method and its modification are presented in brief detail in Appendix. The proposed methodology provides an accurate extreme value prediction, utilizing available data efficiently. In this study the estimated return level values, obtained by ACER method, are compared with the corresponding return level values obtained by Gumbel method. Based on the overall performance of the proposed method, it is concluded that the ACER method can provide more robust and accurate prediction of the extreme vessel roll. The described approach may be well used at the vessel design stage, while defining optimal boat parameters would minimize potential roll.
Robust prediction of extreme motions during wind farm support vessel (WFSV) operation is an important safety concern that requires further extensive research as offshore wind energy industry sector widens. In particular, it is important to study the safety of operation in random sea conditions during WFSV docking against the wind tower, while workers are able to get on the tower. Docking is performed by thrusting vessel fender against wind tower (an alternative docking way by hinging is not studied here). In this paper, the finite element software AQWA has been used to analyze vessel response due to hydrodynamic wave loads, acting on a specific maintenance ship under actual sea conditions. Excessive roll may occur during certain sea conditions, especially in the beam sea, posing a risk to the crew transfer operation. The Bohai Sea is the area of diverse industrial activities such as offshore oil production, wave and wind power generation, etc. This paper advocates a novel method for estimating extreme roll statistics, based on Monte Carlo simulations (or measurements). The ACER (averaged conditional exceedance rate) method and its modification are presented in brief detail in Appendix. The proposed methodology provides an accurate extreme value prediction, utilizing available data efficiently. In this study the estimated return level values, obtained by ACER method, are compared with the corresponding return level values obtained by Gumbel method. Based on the overall performance of the proposed method, it is concluded that the ACER method can provide more robust and accurate prediction of the extreme vessel roll. The described approach may be well used at the vessel design stage, while defining optimal boat parameters would minimize potential roll.
ScholarOne Manuscripts Log In
Current Issue

- Volume 39
- Issue 4
- September 2025
- Editor-in-Chief:
- Superintended by:
CHINA ASSOCIATION FOR SCIENCE AND TECHNOLOGY
- Sponsored by:
Chinese Ocean Engineering Society (COES)
- Edited by:
Nanjing Hydraulic Research Institute
Highlights
Stay up to Date
