2021 Vol.35(4)
Display Mode: |
2021, 35(4): 475-489.
doi: 10.1007/s13344-021-0044-x
Abstract:
Helical strake is a widely-used device for passive flow-induced vibration (FIV) control of cylindrical structures. It is omnidirectional and can effectively reduce FIV response amplitude. Studies on the passive FIV control for cylindrical structures are mainly concerned with a single isolated cylinder, while the influence of wake interference between multiple cylinders on FIV suppression devices is less considered up to now. In engineering applications, multiple flexible cylinders with large aspect ratios can be subjected to complex flow forces, and the effects of wake interference are obvious. The FIV suppression effect of helical strake of a common configuration (17.5D pitch and 0.25D height, where D is the cylinder diameter) in two staggered cylinders system is still unknown. This paper systematically studied the FIV response of multiple cylinders system fitted with the helical strakes by model tests. The relative spatial position of the two cylinders is fixed at S = 3.0D and T = 8.0D, which ensures the cylindrical structures in the flow interference region. The experimental results show that the helical strakes effectively reduce the FIV response on staggered upstream cylinder, and the suppression efficiency is barely affected by the smooth or straked downstream cylinder. The corresponding FIV suppression efficiency on the downstream cylinder is remarkably reduced by the influence of the upstream wake flow. The wake-induced vibration (WIV) phenomenon is not observed on the staggered downstream cylinder, which normally occurs on the downstream straked cylinder in a tandem arrangement.
Helical strake is a widely-used device for passive flow-induced vibration (FIV) control of cylindrical structures. It is omnidirectional and can effectively reduce FIV response amplitude. Studies on the passive FIV control for cylindrical structures are mainly concerned with a single isolated cylinder, while the influence of wake interference between multiple cylinders on FIV suppression devices is less considered up to now. In engineering applications, multiple flexible cylinders with large aspect ratios can be subjected to complex flow forces, and the effects of wake interference are obvious. The FIV suppression effect of helical strake of a common configuration (17.5D pitch and 0.25D height, where D is the cylinder diameter) in two staggered cylinders system is still unknown. This paper systematically studied the FIV response of multiple cylinders system fitted with the helical strakes by model tests. The relative spatial position of the two cylinders is fixed at S = 3.0D and T = 8.0D, which ensures the cylindrical structures in the flow interference region. The experimental results show that the helical strakes effectively reduce the FIV response on staggered upstream cylinder, and the suppression efficiency is barely affected by the smooth or straked downstream cylinder. The corresponding FIV suppression efficiency on the downstream cylinder is remarkably reduced by the influence of the upstream wake flow. The wake-induced vibration (WIV) phenomenon is not observed on the staggered downstream cylinder, which normally occurs on the downstream straked cylinder in a tandem arrangement.
2021, 35(4): 490-503.
doi: 10.1007/s13344-021-0045-9
Abstract:
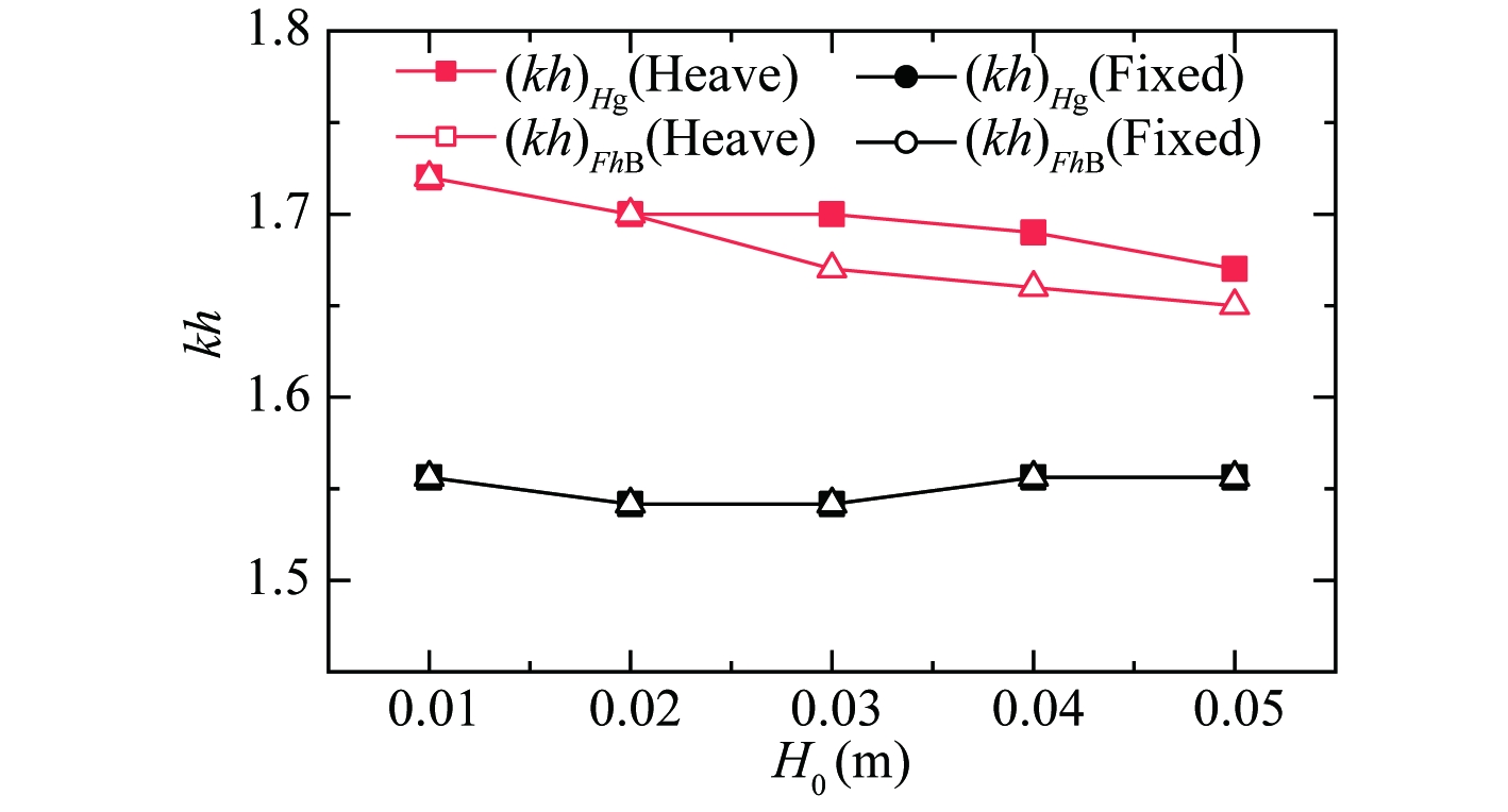
Wave forces on two side-by-side boxes in close proximity under wave actions were analyzed using the OpenFOAM package. The upstream box heaved freely under wave actions, whereas the downstream box remained fixed. For comparison, a configuration in which both boxes were fixed was also considered. The effects of the heave motion of the upstream box on the wave loads, including the horizontal wave forces, vertical wave forces, and moments on the boxes, were the focus of this study. Numerical analyses showed that all frequencies at which the maximum horizontal wave forces, maximum vertical wave forces, and maximum moment appeared are dependent on the heave motion of the upstream box and that the effects of the heave motion on these frequencies are different. Furthermore, these frequencies were observed to deviate from the corresponding fluid resonant frequency. Moreover, the heave motion of the upstream box reduced the wave forces acting on both boxes and altered the variation trends of the wave forces with the incident wave frequency.
Wave forces on two side-by-side boxes in close proximity under wave actions were analyzed using the OpenFOAM package. The upstream box heaved freely under wave actions, whereas the downstream box remained fixed. For comparison, a configuration in which both boxes were fixed was also considered. The effects of the heave motion of the upstream box on the wave loads, including the horizontal wave forces, vertical wave forces, and moments on the boxes, were the focus of this study. Numerical analyses showed that all frequencies at which the maximum horizontal wave forces, maximum vertical wave forces, and maximum moment appeared are dependent on the heave motion of the upstream box and that the effects of the heave motion on these frequencies are different. Furthermore, these frequencies were observed to deviate from the corresponding fluid resonant frequency. Moreover, the heave motion of the upstream box reduced the wave forces acting on both boxes and altered the variation trends of the wave forces with the incident wave frequency.
2021, 35(4): 504-517.
doi: 10.1007/s13344-021-0046-8
Abstract:
The main objective of this paper is to examine the influences of both the principal wave direction and the directional spreading parameter of the wave energy on the wave height evolution of multidirectional irregular waves over an impermeable sloping bottom and to propose an improved wave height distribution model based on an existing classical formula. The numerical model FUNWAVE 2.0, based on a fully nonlinear Boussinesq equation, is employed to simulate the propagation of multidirectional irregular waves over the sloping bottom. Comparisons of wave heights derived from wave trains with various principal wave directions and different directional spreading parameters are conducted. Results show that both the principal wave direction and the wave directional spread have significant influences on the wave height evolution on a varying coastal topography. The shoaling effect for the wave height is obviously weakened with the increase of the principal wave direction and with the decrease of the directional spreading parameter. With the simulated data, the classical Klopman wave height distribution model is improved by considering the influences of both factors. It is found that the improved model performs better in describing the wave height distribution for the multidirectional irregular waves in shallow water.
The main objective of this paper is to examine the influences of both the principal wave direction and the directional spreading parameter of the wave energy on the wave height evolution of multidirectional irregular waves over an impermeable sloping bottom and to propose an improved wave height distribution model based on an existing classical formula. The numerical model FUNWAVE 2.0, based on a fully nonlinear Boussinesq equation, is employed to simulate the propagation of multidirectional irregular waves over the sloping bottom. Comparisons of wave heights derived from wave trains with various principal wave directions and different directional spreading parameters are conducted. Results show that both the principal wave direction and the wave directional spread have significant influences on the wave height evolution on a varying coastal topography. The shoaling effect for the wave height is obviously weakened with the increase of the principal wave direction and with the decrease of the directional spreading parameter. With the simulated data, the classical Klopman wave height distribution model is improved by considering the influences of both factors. It is found that the improved model performs better in describing the wave height distribution for the multidirectional irregular waves in shallow water.
2021, 35(4): 518-530.
doi: 10.1007/s13344-021-0047-7
Abstract:
The atmosphere is an evolutionary agent essential to the shaping of a planet, while in oceanic science and daily life, liquids are commonly seen. In this paper, we investigate a generalized variable-coefficient Korteweg-de Vries-modified Korteweg-de Vries equation for the atmosphere, oceanic fluids and plasmas. With symbolic computation, beginning with a presumption, we work out certain scaling transformations, bilinear forms through the binary Bell polynomials and our scaling transformations, N solitons (with N being a positive integer) via the aforementioned bilinear forms and bilinear auto-Bäcklund transformations through the Hirota method with some solitons. In addition, Painlevé-type auto-Bäcklund transformations with some solitons are symbolically computed out. Respective dependences and constraints on the variable/constant coefficients are discussed, while those coefficients correspond to the quadratic-nonlinear, cubic-nonlinear, dispersive, dissipative and line-damping effects in the atmosphere, oceanic fluids and plasmas.
The atmosphere is an evolutionary agent essential to the shaping of a planet, while in oceanic science and daily life, liquids are commonly seen. In this paper, we investigate a generalized variable-coefficient Korteweg-de Vries-modified Korteweg-de Vries equation for the atmosphere, oceanic fluids and plasmas. With symbolic computation, beginning with a presumption, we work out certain scaling transformations, bilinear forms through the binary Bell polynomials and our scaling transformations, N solitons (with N being a positive integer) via the aforementioned bilinear forms and bilinear auto-Bäcklund transformations through the Hirota method with some solitons. In addition, Painlevé-type auto-Bäcklund transformations with some solitons are symbolically computed out. Respective dependences and constraints on the variable/constant coefficients are discussed, while those coefficients correspond to the quadratic-nonlinear, cubic-nonlinear, dispersive, dissipative and line-damping effects in the atmosphere, oceanic fluids and plasmas.
2021, 35(4): 531-543.
doi: 10.1007/s13344-021-0048-6
Abstract:
The multi-body system has been a popular form for offshore operations in terms of high efficiency. The wind effects are crucial which directly affect the relative positions of floating bodies and operating security. In this study, the aerodynamic characteristics for two coupled semi-submersibles were analyzed in a wind tunnel to fill the gaps in literature related to the wind sheltering on offshore platforms. The influences of separation distance were also investigated. According to the results, substantial shielding effects were observed and wind forces on the shielded vessel decreased dramatically: a reduction in the transverse force could be up to 74%. Moreover, the longitudinal wind load was amplified by the platform abreast in a side-by-side configuration. As expected, the interference level became more pronounced with a decreasing separation distance. For cases in which wind interaction decayed rapidly with distance, logarithmic functions were preferable for describing the relationship between them. Whereas linear fitting was reasonable for the transverse wind force when there was still evident sheltering at a quite large distance. The length of shielding area was another important factor that there was approximately a linear relationship between it and the shielding level for two platforms in close proximity at various wind attack angles. Based on the two parameters, a preliminary wind loads estimation method considering shielding effects was proposed. This approach can aid the industry to have a qualitative assessment of wind sheltering especially at early stages.
The multi-body system has been a popular form for offshore operations in terms of high efficiency. The wind effects are crucial which directly affect the relative positions of floating bodies and operating security. In this study, the aerodynamic characteristics for two coupled semi-submersibles were analyzed in a wind tunnel to fill the gaps in literature related to the wind sheltering on offshore platforms. The influences of separation distance were also investigated. According to the results, substantial shielding effects were observed and wind forces on the shielded vessel decreased dramatically: a reduction in the transverse force could be up to 74%. Moreover, the longitudinal wind load was amplified by the platform abreast in a side-by-side configuration. As expected, the interference level became more pronounced with a decreasing separation distance. For cases in which wind interaction decayed rapidly with distance, logarithmic functions were preferable for describing the relationship between them. Whereas linear fitting was reasonable for the transverse wind force when there was still evident sheltering at a quite large distance. The length of shielding area was another important factor that there was approximately a linear relationship between it and the shielding level for two platforms in close proximity at various wind attack angles. Based on the two parameters, a preliminary wind loads estimation method considering shielding effects was proposed. This approach can aid the industry to have a qualitative assessment of wind sheltering especially at early stages.
2021, 35(4): 544-553.
doi: 10.1007/s13344-021-0049-5
Abstract:
The flapwise bending vibrational equations of tapered Rayleigh beam are derived based on Hamilton’s principle. The corresponding vibrational characteristics of rotating tapered Rayleigh beams are investigated via variational iteration method (VIM). Natural frequencies and corresponding mode shapes are examined under various rotation speed, taper ratio and slenderness ratio focusing on two types of tapered beam. The convergence of VIM is examined as part of the paper. Validation of VIM solution is made by referring to results available in other literature and corresponding results show that VIM is capable of yielding precise results in a very efficient way.
The flapwise bending vibrational equations of tapered Rayleigh beam are derived based on Hamilton’s principle. The corresponding vibrational characteristics of rotating tapered Rayleigh beams are investigated via variational iteration method (VIM). Natural frequencies and corresponding mode shapes are examined under various rotation speed, taper ratio and slenderness ratio focusing on two types of tapered beam. The convergence of VIM is examined as part of the paper. Validation of VIM solution is made by referring to results available in other literature and corresponding results show that VIM is capable of yielding precise results in a very efficient way.
2021, 35(4): 554-565.
doi: 10.1007/s13344-021-0050-z
Abstract:
This study numerically and experimentally investigates the effects of wave loads on a monopile-type offshore wind turbine placed on a 1: 25 slope at different water depths as well as the effect of choosing different turbulence models on the efficiency of the numerical model. The numerical model adopts a two-phase flow by solving Unsteady Reynolds-Averaged Navier−Stokes (URANS) equations using the Volume Of Fluid (VOF) method and three different\begin{document}$k - {\textit{ω}}$\end{document} ![]()
![]()
turbulence models. Typical environmental conditions from the East China Sea are studied. The wave run-up and the wave loads applied on the monopile are investigated and compared with relevant experimental data as well as with mathematical predictions based on relevant theories. The numerical model is well validated against the experimental data at model scale. The use of different turbulence models results in different predictions on the wave height but less differences on the wave period. The baseline \begin{document}$k - {\textit{ω}} $\end{document} ![]()
![]()
turbulence model and Shear-Stress Transport (SST) \begin{document}$k - {\textit{ω}} $\end{document} ![]()
![]()
turbulence model exhibit better performance on the prediction of hydrodynamic load, at a model-scale water depth of 0.42 m, while the laminar model provides better results for large water depths. The SST \begin{document}$k - {\textit{ω}} $\end{document} ![]()
![]()
turbulence model performs better in predicting wave run-up for water depth 0.42 m, while the laminar model and standard \begin{document}$k - {\textit{ω}} $\end{document} ![]()
![]()
model perform better at water depth 0.52 m and 0.62 m, respectively.
This study numerically and experimentally investigates the effects of wave loads on a monopile-type offshore wind turbine placed on a 1: 25 slope at different water depths as well as the effect of choosing different turbulence models on the efficiency of the numerical model. The numerical model adopts a two-phase flow by solving Unsteady Reynolds-Averaged Navier−Stokes (URANS) equations using the Volume Of Fluid (VOF) method and three different
2021, 35(4): 566-577.
doi: 10.1007/s13344-021-0051-y
Abstract:
In connection with the design of floating wind turbines, stochastic dynamic analysis is a critical task considering nonlinear wind and wave forces. To study the random structural responses of a newly designed submerged tension leg platform (STLP) wind turbine, a set of dynamic simulations and comparison analysis with the MIT/NREL TLP wind turbine are carried out. The signal filter method is used to evaluate the mean and standard deviations of the structural response. Furthermore, the extreme responses are estimated by using the mean upcrossing rate method. The fatigue damages for blade root, tower, and mooring line are also studied according to the simulated time-series. The results and comparison analysis show that the STLP gives small surge and pitch motions and mooring line tensions in operational sea states due to the small water-plane area. Additionally, in severe sea states, the STLP gives lower extreme values of platform pitch, slightly larger surge and heave motions and better towerbase and mooring line fatigue performances than those of the MIT/NREL TLP. It is found that the STLP wind turbine has good performances in structural responses and could be a potential type for exploiting the wind resources located in deep waters.
In connection with the design of floating wind turbines, stochastic dynamic analysis is a critical task considering nonlinear wind and wave forces. To study the random structural responses of a newly designed submerged tension leg platform (STLP) wind turbine, a set of dynamic simulations and comparison analysis with the MIT/NREL TLP wind turbine are carried out. The signal filter method is used to evaluate the mean and standard deviations of the structural response. Furthermore, the extreme responses are estimated by using the mean upcrossing rate method. The fatigue damages for blade root, tower, and mooring line are also studied according to the simulated time-series. The results and comparison analysis show that the STLP gives small surge and pitch motions and mooring line tensions in operational sea states due to the small water-plane area. Additionally, in severe sea states, the STLP gives lower extreme values of platform pitch, slightly larger surge and heave motions and better towerbase and mooring line fatigue performances than those of the MIT/NREL TLP. It is found that the STLP wind turbine has good performances in structural responses and could be a potential type for exploiting the wind resources located in deep waters.
2021, 35(4): 578-587.
doi: 10.1007/s13344-021-0052-x
Abstract:
In the present study, the performance characteristics of a Savonius rotor type wave energy converter used in conjunction with a conventional double-buoy floating breakwater is investigated using physical model studies. The Savonius rotor type converter is suspended under the double-buoy floating breakwater to achieve wave attenuation while generating electricity, thereby enhancing the overall wave-elimination effect of the combination. The Savonius rotor is tested with different water submergence depths, and a reasonable relative submergence depth is determined within the scope of the research parameters. The hydrodynamics and energy capture performance of the combined breakwater with four different sizes of Savonius rotor under different wave conditions are studied, and the transmission coefficient of the experimental device is analyzed. The results show that when the optimal relative submergence depth is 0.65D, where D is the impeller diameter, there is a correspondence between the optimal performance of Savonius rotor with different rotor sizes and the wave period and wave height. The optimal energy capture efficiency of the wave energy converter reaches 17%−20.5%, and the transmission coefficient is reduced by 35%−45% compared with the conventional double-buoy breakwater.
In the present study, the performance characteristics of a Savonius rotor type wave energy converter used in conjunction with a conventional double-buoy floating breakwater is investigated using physical model studies. The Savonius rotor type converter is suspended under the double-buoy floating breakwater to achieve wave attenuation while generating electricity, thereby enhancing the overall wave-elimination effect of the combination. The Savonius rotor is tested with different water submergence depths, and a reasonable relative submergence depth is determined within the scope of the research parameters. The hydrodynamics and energy capture performance of the combined breakwater with four different sizes of Savonius rotor under different wave conditions are studied, and the transmission coefficient of the experimental device is analyzed. The results show that when the optimal relative submergence depth is 0.65D, where D is the impeller diameter, there is a correspondence between the optimal performance of Savonius rotor with different rotor sizes and the wave period and wave height. The optimal energy capture efficiency of the wave energy converter reaches 17%−20.5%, and the transmission coefficient is reduced by 35%−45% compared with the conventional double-buoy breakwater.
2021, 35(4): 588-597.
doi: 10.1007/s13344-021-0053-9
Abstract:
The Polar Regions are rich in natural resources but experience an extremely cold climate. The surfaces of offshore platforms operating in the Polar Regions are prone to icing. To develop solutions to this problem of surface icing, the influence of both the liquid water concentration of the surrounding atmosphere and the average water droplet diameter on the formation of ice on two major structural components of offshore platforms was analyzed using a combination of Fluent and FENSAP-ICE. Results showed that at a wind speed of 7 m/s, as the concentration of liquid water in the air increases from 0.05 to 0.25 g/m3, the amount and thickness of the icing on the surfaces of the two structural components increase linearly. At a wind speed of 7 m/s and when the size of the average water droplet diameter is 20–30 (30–35) μm, as the average water droplet diameter increases, the amount and thickness of the icing on the surfaces of the two structural components increase (decrease) gradually.
The Polar Regions are rich in natural resources but experience an extremely cold climate. The surfaces of offshore platforms operating in the Polar Regions are prone to icing. To develop solutions to this problem of surface icing, the influence of both the liquid water concentration of the surrounding atmosphere and the average water droplet diameter on the formation of ice on two major structural components of offshore platforms was analyzed using a combination of Fluent and FENSAP-ICE. Results showed that at a wind speed of 7 m/s, as the concentration of liquid water in the air increases from 0.05 to 0.25 g/m3, the amount and thickness of the icing on the surfaces of the two structural components increase linearly. At a wind speed of 7 m/s and when the size of the average water droplet diameter is 20–30 (30–35) μm, as the average water droplet diameter increases, the amount and thickness of the icing on the surfaces of the two structural components increase (decrease) gradually.
2021, 35(4): 598-608.
doi: 10.1007/s13344-021-0054-8
Abstract:
For general dynamic positioning systems, controllers are mainly based on the feedback of motions only in the horizontal plane. However, for marine structures with a small water plane area and low metacentric height, undesirable surge and pitch oscillations may be induced by the thruster actions. In this paper, three control laws are investigated to suppress the induced pitch motion by adding pitch rate, pitch angle or pitch acceleration into the feedback control loop. Extensive numerical simulations are conducted with a semi-submersible platform for each control law. The influences of additional terms on surge−pitch coupled motions are analyzed in both frequency and time domain. The mechanical constraints of the thrust allocation and the frequency characters of external forces are simultaneously considered. It is concluded that adding pitch angle or pitch acceleration into the feedback loop changes the natural frequency in pitch, and its performance is highly dependent on the frequency distribution of external forces, while adding pitch rate into the feedback loop is always effective in mitigating surge−pitch coupled motions.
For general dynamic positioning systems, controllers are mainly based on the feedback of motions only in the horizontal plane. However, for marine structures with a small water plane area and low metacentric height, undesirable surge and pitch oscillations may be induced by the thruster actions. In this paper, three control laws are investigated to suppress the induced pitch motion by adding pitch rate, pitch angle or pitch acceleration into the feedback control loop. Extensive numerical simulations are conducted with a semi-submersible platform for each control law. The influences of additional terms on surge−pitch coupled motions are analyzed in both frequency and time domain. The mechanical constraints of the thrust allocation and the frequency characters of external forces are simultaneously considered. It is concluded that adding pitch angle or pitch acceleration into the feedback loop changes the natural frequency in pitch, and its performance is highly dependent on the frequency distribution of external forces, while adding pitch rate into the feedback loop is always effective in mitigating surge−pitch coupled motions.
2021, 35(4): 609-621.
doi: 10.1007/s13344-021-0055-7
Abstract:
The innovative Next Generation Subsea Production System (NextGen SPS) concept is a newly proposed petroleum development solution in ultra-deep water areas. The definition of NextGen SPS involves several disciplines, which makes the design process difficult. In this paper, the definition of NextGen SPS is modeled as an uncertain multidisciplinary design optimization (MDO) problem. The deterministic optimization model is formulated, and three concerning disciplines—cost calculation, hydrodynamic analysis and global performance analysis are presented. Surrogate model technique is applied in the latter two disciplines. Collaborative optimization (CO) architecture is utilized to organize the concerning disciplines. A deterministic CO framework with two discipline-level optimizations is proposed firstly. Then the uncertainties of design parameters and surrogate models are incorporated by using interval method, and uncertain CO frameworks with triple loop and double loop optimization structure are established respectively. The optimization results illustrate that, although the deterministic MDO result achieves higher reduction in objective function than the uncertain MDO result, the latter is more reliable than the former.
The innovative Next Generation Subsea Production System (NextGen SPS) concept is a newly proposed petroleum development solution in ultra-deep water areas. The definition of NextGen SPS involves several disciplines, which makes the design process difficult. In this paper, the definition of NextGen SPS is modeled as an uncertain multidisciplinary design optimization (MDO) problem. The deterministic optimization model is formulated, and three concerning disciplines—cost calculation, hydrodynamic analysis and global performance analysis are presented. Surrogate model technique is applied in the latter two disciplines. Collaborative optimization (CO) architecture is utilized to organize the concerning disciplines. A deterministic CO framework with two discipline-level optimizations is proposed firstly. Then the uncertainties of design parameters and surrogate models are incorporated by using interval method, and uncertain CO frameworks with triple loop and double loop optimization structure are established respectively. The optimization results illustrate that, although the deterministic MDO result achieves higher reduction in objective function than the uncertain MDO result, the latter is more reliable than the former.
2021, 35(4): 622-630.
doi: 10.1007/s13344-021-0056-6
Abstract:
Inductively coupled channels are based on the electromagnetic induction principle and realize long-distance current signal transmission through seawater. Due to a few difficulties in performing actual experiments, it is unclear how the seawater medium affects the frequency selectivity of the current signal. In this paper, a dual dipole model of the inductively coupled seawater transmission channel is established for the traditional short-distance current field transmission mode. The transmission characteristics of electrical signals in seawater are theoretically derived. A platform is used to measure the amplitude-frequency and phase-frequency characteristics of the current signal transmission in seawater with transmission frequencies ranging from 30 kHz to 1 MHz, and transmission distances in the vertical range of 4 m. The COMSOL Multiphysics simulation and practical test analysis are carried out to analyze the frequency selectivity of seawater conductivity. It is proved that the seawater resistance increases as the frequency increases, which is the key problem that affects the current signal. This study provides an important theoretical support and experimental evidence for improving the transmission performance of long-distance underwater current signals.
Inductively coupled channels are based on the electromagnetic induction principle and realize long-distance current signal transmission through seawater. Due to a few difficulties in performing actual experiments, it is unclear how the seawater medium affects the frequency selectivity of the current signal. In this paper, a dual dipole model of the inductively coupled seawater transmission channel is established for the traditional short-distance current field transmission mode. The transmission characteristics of electrical signals in seawater are theoretically derived. A platform is used to measure the amplitude-frequency and phase-frequency characteristics of the current signal transmission in seawater with transmission frequencies ranging from 30 kHz to 1 MHz, and transmission distances in the vertical range of 4 m. The COMSOL Multiphysics simulation and practical test analysis are carried out to analyze the frequency selectivity of seawater conductivity. It is proved that the seawater resistance increases as the frequency increases, which is the key problem that affects the current signal. This study provides an important theoretical support and experimental evidence for improving the transmission performance of long-distance underwater current signals.
ScholarOne Manuscripts Log In
Current Issue

- Volume 39
- Issue 4
- September 2025
- Editor-in-Chief:
- Superintended by:
CHINA ASSOCIATION FOR SCIENCE AND TECHNOLOGY
- Sponsored by:
Chinese Ocean Engineering Society (COES)
- Edited by:
Nanjing Hydraulic Research Institute
Highlights
Stay up to Date
