2022 Vol.36(2)
Display Mode: |
2022, 36(2): 167-178.
doi: 10.1007/s13344-022-0016-9
Abstract:
Installing the Edinburgh Duck Wave Energy Converter (ED WEC) on a floating breakwater provides a potential solution to reduce costs and improve the reliability of the ED WEC. To investigate the interactions between the ED WEC and the breakwater, a two-dimensional numerical model of a hybrid WEC-breakwater system is established based on Star-CCM+ Computational Fluid Dynamics (CFD) software. The wave energy extraction performance, wave attenuation performance, and wave forces on the breakwater of the hybrid system are compared with those of the corresponding single device. The effects of the initial attack angle, the distance between the WEC and the breakwater, and the incident wave height on the pitch motion, energy conversion efficiency, transmission coefficient, and wave forces on the breakwater of the hybrid system are analyzed. The results indicate that combing the ED WEC with a breakwater can improve the energy extraction performance of the ED WEC and reduce the wave forces on the breakwater in shorter-period waves. The conversion efficiency of the hybrid system with the initial attack angle of 42° is the largest in shorter-period waves, but is reduced with the increase of initial attack angle in longer-period waves. The wave attenuation performance of the hybrid system is determined by the draft of the breakwater. The distance between the WEC and the breakwater has little effect on the hybrid system. Wave energy extraction of the ED WEC of the hybrid system decreases significantly with the increase of the incident wave height.
Installing the Edinburgh Duck Wave Energy Converter (ED WEC) on a floating breakwater provides a potential solution to reduce costs and improve the reliability of the ED WEC. To investigate the interactions between the ED WEC and the breakwater, a two-dimensional numerical model of a hybrid WEC-breakwater system is established based on Star-CCM+ Computational Fluid Dynamics (CFD) software. The wave energy extraction performance, wave attenuation performance, and wave forces on the breakwater of the hybrid system are compared with those of the corresponding single device. The effects of the initial attack angle, the distance between the WEC and the breakwater, and the incident wave height on the pitch motion, energy conversion efficiency, transmission coefficient, and wave forces on the breakwater of the hybrid system are analyzed. The results indicate that combing the ED WEC with a breakwater can improve the energy extraction performance of the ED WEC and reduce the wave forces on the breakwater in shorter-period waves. The conversion efficiency of the hybrid system with the initial attack angle of 42° is the largest in shorter-period waves, but is reduced with the increase of initial attack angle in longer-period waves. The wave attenuation performance of the hybrid system is determined by the draft of the breakwater. The distance between the WEC and the breakwater has little effect on the hybrid system. Wave energy extraction of the ED WEC of the hybrid system decreases significantly with the increase of the incident wave height.
2022, 36(2): 179-190.
doi: 10.1007/s13344-022-0017-8
Abstract:
By using a 30-meter-long wave flume equipped with a double-plate wave maker, a series of depression ISWs were generated in a density stratified two-layer fluid and the forces exerted by oblique internal solitary waves (ISWs) on fixed FPSO model had been measured. According to the laboratory experiments, a numerical flume taken the applicability of KdV, eKdV and MCC ISWs theories in consideration was adopted to study the force components. Based on the experimental data and the force composition, the simplified prediction model was established. It was shown that the horizontal and transversal loads consisted of two parts: the Froude−Krylov force that could be calculated by integrating the dynamic pressure induced by ISW along the FPSO wetted surface, as well as the viscous force that could be obtained by multiplying the friction coefficient Cfx (Cfy), correction factor Kx (Ky) and the integration of particle tangential velocity along the FPSO wetted surface. The vertical load was mainly the vertical Froude−Krylov force. Based on the experimental results, a conclusion can be drawn that the friction coefficient Cf and correction factor K were regressed as a relationship of Reynolds number Re, Keulegan–Carpenter number KC, upper layer depth h1/h and ISW accident angle α. Moreover, the horizontal friction coefficient Cfx yielded the logarithmic function with Re, and transversal friction coefficient Cfy obeyed the exponent function with Re, while the correction factors Kx and Ky followed power function with KC. The force prediction was also performed based on the regression formulae and pressure integral. The predicted results agreed well with the experimental results. The maximum forces increase linearly with the ISWs amplitude. Besides, the upper layer thickness had an obvious influence on the extreme value of the horizontal and transversal forces.
By using a 30-meter-long wave flume equipped with a double-plate wave maker, a series of depression ISWs were generated in a density stratified two-layer fluid and the forces exerted by oblique internal solitary waves (ISWs) on fixed FPSO model had been measured. According to the laboratory experiments, a numerical flume taken the applicability of KdV, eKdV and MCC ISWs theories in consideration was adopted to study the force components. Based on the experimental data and the force composition, the simplified prediction model was established. It was shown that the horizontal and transversal loads consisted of two parts: the Froude−Krylov force that could be calculated by integrating the dynamic pressure induced by ISW along the FPSO wetted surface, as well as the viscous force that could be obtained by multiplying the friction coefficient Cfx (Cfy), correction factor Kx (Ky) and the integration of particle tangential velocity along the FPSO wetted surface. The vertical load was mainly the vertical Froude−Krylov force. Based on the experimental results, a conclusion can be drawn that the friction coefficient Cf and correction factor K were regressed as a relationship of Reynolds number Re, Keulegan–Carpenter number KC, upper layer depth h1/h and ISW accident angle α. Moreover, the horizontal friction coefficient Cfx yielded the logarithmic function with Re, and transversal friction coefficient Cfy obeyed the exponent function with Re, while the correction factors Kx and Ky followed power function with KC. The force prediction was also performed based on the regression formulae and pressure integral. The predicted results agreed well with the experimental results. The maximum forces increase linearly with the ISWs amplitude. Besides, the upper layer thickness had an obvious influence on the extreme value of the horizontal and transversal forces.
2022, 36(2): 191-207.
doi: 10.1007/s13344-022-0015-x
Abstract:
Coastal overwash is a natural phenomenon that commonly occurs during storm events and can cause considerable changes in nearshore morphology within a short time. In this study, a complete set of empirical overwash transport algorithms is developed and introduced into a phase-averaged wave-current-sediment transport coupling model that integrates the Finite-Volume Community Ocean Model (FVCOM) and the Simulating Waves Nearshore (SWAN) model. The resulting morphological evolution model can simulate coastal overwash. Validation against the data obtained from multiple sets of laboratory overwash experiments demonstrates that the model performs relatively well in simulating morphological changes caused by runup overwash and inundation overwash under different hydrodynamic and beach profile conditions. The sensitivity of each empirical coefficient in the overwash transport algorithms is comprehensively analyzed. The effects of each coefficient on the output of the model are discussed, and a recommended value range is provided for each coefficient.
Coastal overwash is a natural phenomenon that commonly occurs during storm events and can cause considerable changes in nearshore morphology within a short time. In this study, a complete set of empirical overwash transport algorithms is developed and introduced into a phase-averaged wave-current-sediment transport coupling model that integrates the Finite-Volume Community Ocean Model (FVCOM) and the Simulating Waves Nearshore (SWAN) model. The resulting morphological evolution model can simulate coastal overwash. Validation against the data obtained from multiple sets of laboratory overwash experiments demonstrates that the model performs relatively well in simulating morphological changes caused by runup overwash and inundation overwash under different hydrodynamic and beach profile conditions. The sensitivity of each empirical coefficient in the overwash transport algorithms is comprehensively analyzed. The effects of each coefficient on the output of the model are discussed, and a recommended value range is provided for each coefficient.
2022, 36(2): 208-222.
doi: 10.1007/s13344-022-0018-7
Abstract:
The shape and size optimization of brackets in hull structures was conducted to achieve the simultaneous reduction of mass and high stress, where the parametric finite element model was built based on Patran Command Language codes. The optimization procedure was executed on Isight platform, on which the linear dimensionless method was introduced to establish the weighted multi-objective function. The extreme processing method was applied and proved effective to normalize the objectives. The bracket was optimized under the typical single loads and design waves, accompanied by the different proportions of weights in the objective function, in which the safety factor function was further established, including yielding, buckling, and fatigue strength, and the weight minimization and safety maximization of the bracket were obtained. The findings of this study illustrate that the dimensionless objectives share equal contributions to the multi-objective function, which enhances the role of weights in the optimization.
The shape and size optimization of brackets in hull structures was conducted to achieve the simultaneous reduction of mass and high stress, where the parametric finite element model was built based on Patran Command Language codes. The optimization procedure was executed on Isight platform, on which the linear dimensionless method was introduced to establish the weighted multi-objective function. The extreme processing method was applied and proved effective to normalize the objectives. The bracket was optimized under the typical single loads and design waves, accompanied by the different proportions of weights in the objective function, in which the safety factor function was further established, including yielding, buckling, and fatigue strength, and the weight minimization and safety maximization of the bracket were obtained. The findings of this study illustrate that the dimensionless objectives share equal contributions to the multi-objective function, which enhances the role of weights in the optimization.
2022, 36(2): 223-232.
doi: 10.1007/s13344-022-0019-6
Abstract:
Analyzing the rheological properties of silty beds subjected to continuous oscillatory shear loading is crucial for understanding the morphological deformation of the seabed and ensuring safety in geological and marine engineering applications. In this study, the effects of oscillatory shearing properties on the yield stress (Su) of silty sediments were quantitatively investigated. The effects of oscillatory shear strength (0–3), water content (26.6%–70.84%), and particle diameter (8.79–50 μm) were examined extensively through a series of laboratory tests. The results indicated that the three aforementioned parameters were the major factors that affected the rheological characteristics of silty sediments. Furthermore, their effects could be elucidated using the yield stress of cohesive sediments as the indicator parameter. The ratio of yield stress (Su/Su0) varied as the oscillatory shear strength increased up to a critical value, Λcr. Subsequently, the ratio remained at a constant value. It was deduced that the yield stress decreased with increasing oscillatory shear strength for Λ < Λcr, when the sediments were in a non-equilibrium fluidization stage. When Λ > Λcr, the sediments entered an equilibrium fluidization stage, and the yield stress remained almost constant, irrespective of the oscillatory shear strength. Furthermore, during the equilibrium fluidization stage, it was observed that the ratio Su/Su0 did not vary with water content but decreased as the particle diameter increased. Finally, based on regression analysis of the experimental data for non-equilibrium and equilibrium fluidization stages, a correlation between yield stress of silty sediments and continuous oscillatory shearing properties was proposed. This correlation can aid in understanding the changes in solid resistance and assessing safety in piling engineering. Furthermore, it can provide a theoretical guidance for reducing soil resistance in marine structures using mechanical vibrations.
Analyzing the rheological properties of silty beds subjected to continuous oscillatory shear loading is crucial for understanding the morphological deformation of the seabed and ensuring safety in geological and marine engineering applications. In this study, the effects of oscillatory shearing properties on the yield stress (Su) of silty sediments were quantitatively investigated. The effects of oscillatory shear strength (0–3), water content (26.6%–70.84%), and particle diameter (8.79–50 μm) were examined extensively through a series of laboratory tests. The results indicated that the three aforementioned parameters were the major factors that affected the rheological characteristics of silty sediments. Furthermore, their effects could be elucidated using the yield stress of cohesive sediments as the indicator parameter. The ratio of yield stress (Su/Su0) varied as the oscillatory shear strength increased up to a critical value, Λcr. Subsequently, the ratio remained at a constant value. It was deduced that the yield stress decreased with increasing oscillatory shear strength for Λ < Λcr, when the sediments were in a non-equilibrium fluidization stage. When Λ > Λcr, the sediments entered an equilibrium fluidization stage, and the yield stress remained almost constant, irrespective of the oscillatory shear strength. Furthermore, during the equilibrium fluidization stage, it was observed that the ratio Su/Su0 did not vary with water content but decreased as the particle diameter increased. Finally, based on regression analysis of the experimental data for non-equilibrium and equilibrium fluidization stages, a correlation between yield stress of silty sediments and continuous oscillatory shearing properties was proposed. This correlation can aid in understanding the changes in solid resistance and assessing safety in piling engineering. Furthermore, it can provide a theoretical guidance for reducing soil resistance in marine structures using mechanical vibrations.
2022, 36(2): 233-246.
doi: 10.1007/s13344-022-0020-0
Abstract:
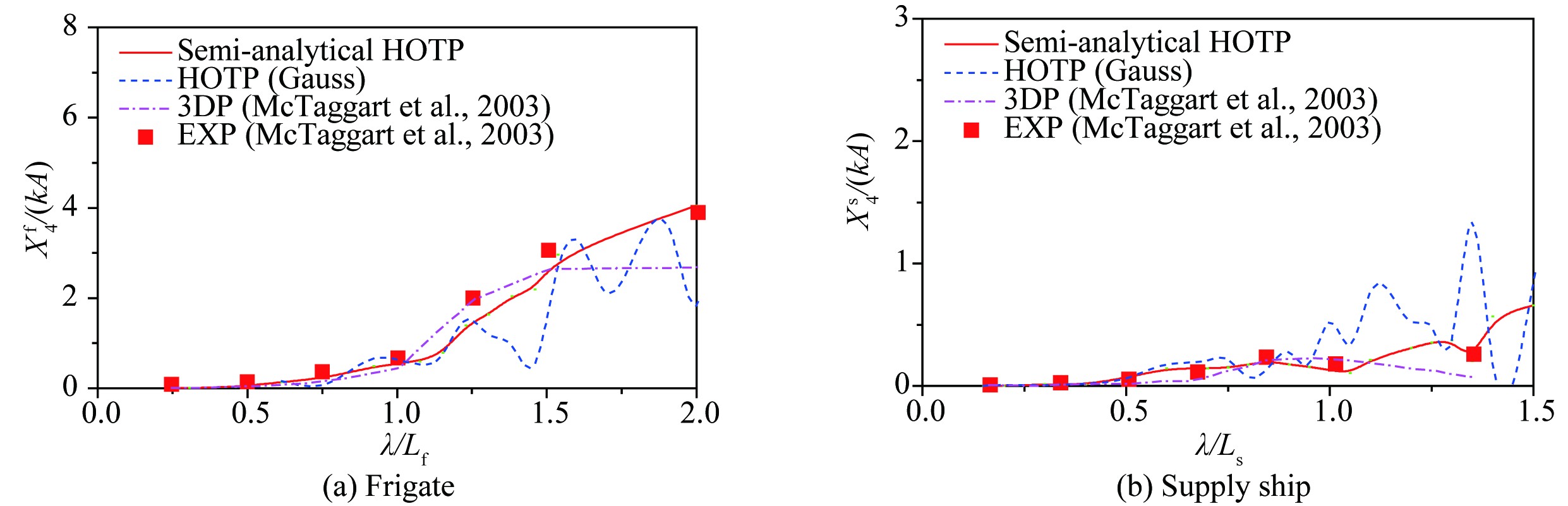
Motion responses of two ships advancing parallel in waves with hydrodynamic interactions are investigated in this paper. Within the framework of the frequency-domain potential flow theory, a semi-analytical higher-order translating-pulsating source (HOTP) method is presented to solve the problems of coupled radiation and diffraction potential. The method employs nine-node bi-quadratic curvilinear elements to discretize the boundary integral equations (BIEs) constructed over the mean wetted surface of the two ship hulls. In order to eliminate the numerical oscillation, analytical quadrature formulas are derived and adopted to evaluate the integrals related to the Froude-dependent part of the Green’s function along the horizontal direction in the BIEs. Based on the method, a numerical program is originally coded. Through the calculations of hydrodynamic responses of single ships, the numerical implementation is proved successful. Then the validated program is applied in the investigations on the hydrodynamic interactions of two identical Wigley III hulls and the underway replenishment of a frigate and a supply ship in waves with and without stagger, respectively. The comparison between the present computed results with experimental data and numerical solutions of other methods shows that the semi-analytical HOTP method is of higher accuracy than the pulsating source Green’s function method with speed correction and better stability than the traditional HOTP method based on Gauss quadrature. In addition, for two ships with obviously different dimensions, the influence of hydrodynamic interactions on the smaller ship is found to be more noticeable than that on the larger ship, which leads to the differences between the motions of frigate with and without the presence of supply ship.
Motion responses of two ships advancing parallel in waves with hydrodynamic interactions are investigated in this paper. Within the framework of the frequency-domain potential flow theory, a semi-analytical higher-order translating-pulsating source (HOTP) method is presented to solve the problems of coupled radiation and diffraction potential. The method employs nine-node bi-quadratic curvilinear elements to discretize the boundary integral equations (BIEs) constructed over the mean wetted surface of the two ship hulls. In order to eliminate the numerical oscillation, analytical quadrature formulas are derived and adopted to evaluate the integrals related to the Froude-dependent part of the Green’s function along the horizontal direction in the BIEs. Based on the method, a numerical program is originally coded. Through the calculations of hydrodynamic responses of single ships, the numerical implementation is proved successful. Then the validated program is applied in the investigations on the hydrodynamic interactions of two identical Wigley III hulls and the underway replenishment of a frigate and a supply ship in waves with and without stagger, respectively. The comparison between the present computed results with experimental data and numerical solutions of other methods shows that the semi-analytical HOTP method is of higher accuracy than the pulsating source Green’s function method with speed correction and better stability than the traditional HOTP method based on Gauss quadrature. In addition, for two ships with obviously different dimensions, the influence of hydrodynamic interactions on the smaller ship is found to be more noticeable than that on the larger ship, which leads to the differences between the motions of frigate with and without the presence of supply ship.
2022, 36(2): 247-257.
doi: 10.1007/s13344-022-0021-z
Abstract:
The existing studies have primarily focused on the effect of cyclic load characteristics (namely, cyclic load ratio and amplitude ratio) on cyclic lateral response of monopiles in sand, with little attention paid to the effect of pile−soil relative stiffness (KR). This paper presents a series of 1-g cyclic tests aimed at improving understanding of the cyclic lateral responses of monopiles under different pile−soil systems. These systems are arranged by two model piles with different stiffness, including four different slenderness ratios (pile embedded length, L, normalized by diameter, D) under medium dense sand. The KR-values are calculated by a previously proposed method considering the real soil stress level. The test results show that the lateral accumulation displacement increases significantly with the increment of the KR-value, while the cyclic secant stiffness performs inversely. The maximum pile bending moment increases with the cycle number for the rigid pile−soil system, but shows a decreasing trend in the flexible system. For an uppermost concern, an empirical model is proposed to predict the accumulated displacement of arbitrary pile−soil systems by combining the results from this study with those from previous experimental investigations. The validity of the proposed model is demonstrated by 1-g and centrifuge tests.
The existing studies have primarily focused on the effect of cyclic load characteristics (namely, cyclic load ratio and amplitude ratio) on cyclic lateral response of monopiles in sand, with little attention paid to the effect of pile−soil relative stiffness (KR). This paper presents a series of 1-g cyclic tests aimed at improving understanding of the cyclic lateral responses of monopiles under different pile−soil systems. These systems are arranged by two model piles with different stiffness, including four different slenderness ratios (pile embedded length, L, normalized by diameter, D) under medium dense sand. The KR-values are calculated by a previously proposed method considering the real soil stress level. The test results show that the lateral accumulation displacement increases significantly with the increment of the KR-value, while the cyclic secant stiffness performs inversely. The maximum pile bending moment increases with the cycle number for the rigid pile−soil system, but shows a decreasing trend in the flexible system. For an uppermost concern, an empirical model is proposed to predict the accumulated displacement of arbitrary pile−soil systems by combining the results from this study with those from previous experimental investigations. The validity of the proposed model is demonstrated by 1-g and centrifuge tests.
2022, 36(2): 258-267.
doi: 10.1007/s13344-022-0022-y
Abstract:
Air floating transport is one of the key construction technologies of bucket foundation. The influences of draft, water depth and bucket spacing on the motion response characteristics of tetrapod bucket foundation (TBF) during air-floating transportation were studied by models tests. The results showed that with the increase of draft, the natural periods of heave motion increased, while the maximum amplitudes of oscillating motion decreased. The maximum amplitudes of heave motion decreased while pitch motion increased with the increasing of water depth; further, the period range of oscillating amplitude close to the maximum amplitude was expanded due to shallow water effect. With increasing bucket spacing, the maximum amplitudes of heave motion first increase and then decreased, whereas the maximum amplitudes of pitch motion decreased. Therefore, the favorable air-floating transportation performance can be achieved by choosing a larger bucket spacing under the condition of meeting the design requirements and reducing the draft under shallower water.
Air floating transport is one of the key construction technologies of bucket foundation. The influences of draft, water depth and bucket spacing on the motion response characteristics of tetrapod bucket foundation (TBF) during air-floating transportation were studied by models tests. The results showed that with the increase of draft, the natural periods of heave motion increased, while the maximum amplitudes of oscillating motion decreased. The maximum amplitudes of heave motion decreased while pitch motion increased with the increasing of water depth; further, the period range of oscillating amplitude close to the maximum amplitude was expanded due to shallow water effect. With increasing bucket spacing, the maximum amplitudes of heave motion first increase and then decreased, whereas the maximum amplitudes of pitch motion decreased. Therefore, the favorable air-floating transportation performance can be achieved by choosing a larger bucket spacing under the condition of meeting the design requirements and reducing the draft under shallower water.
2022, 36(2): 268-278.
doi: 10.1007/s13344-022-0023-x
Abstract:
An effective numerical model for wave propagation over three-dimensional (3D) bathymetry was developed based on the High-Order Spectral (HOS) method and combined with a moving bottom boundary. Based on this model, tsunami waves caused by various mechanisms were simulated and analyzed. Two-dimensional bed upthrust and the effect of the uplift velocity of the bathymetry on the wave profiles of tsunami waves were studied. Next, tsunami waves caused by 3D submarine slides were generated and the effects of the slide velocity, slide dimension and water depth on the tsunami waves were analyzed. Based on wavelet analysis, the properties of the tsunami wave propagation were investigated. The results show that the bottom movement can significantly affect the generation and propagation of tsunami waves and the studies could help understand the mechanisms of tsunamis caused by a moving bottom boundary.
An effective numerical model for wave propagation over three-dimensional (3D) bathymetry was developed based on the High-Order Spectral (HOS) method and combined with a moving bottom boundary. Based on this model, tsunami waves caused by various mechanisms were simulated and analyzed. Two-dimensional bed upthrust and the effect of the uplift velocity of the bathymetry on the wave profiles of tsunami waves were studied. Next, tsunami waves caused by 3D submarine slides were generated and the effects of the slide velocity, slide dimension and water depth on the tsunami waves were analyzed. Based on wavelet analysis, the properties of the tsunami wave propagation were investigated. The results show that the bottom movement can significantly affect the generation and propagation of tsunami waves and the studies could help understand the mechanisms of tsunamis caused by a moving bottom boundary.
2022, 36(2): 279-288.
doi: 10.1007/s13344-022-0024-9
Abstract:
Trimaran hydrodynamics have been an important research topic in recent years. Trimarans have even been chosen for naval surface combatants. In this case, investigation of a trimaran with different outrigger positions is important and necessary for better hydrodynamic performance. This paper focuses on the numerical investigation of trimaran hydrodynamics. The trimaran model used in this study is a 1/80 scale high-speed displacement frigate-type concept developed by the Center for Innovation in Ship Design (CISD) at Naval Surface Warfare Center, Carderock Division (NSWCCD). The numerical simulations were conducted for different outrigger positions at low and moderate Froude numbers by using commercial CFD software solving URANS equations. A verification and validation study was carried out for the numerical method in one configuration and one ship velocity. The existing experimental results for the trimaran resistance in the literature were used for validation. Five different outrigger positions were analyzed and the form factor of each configuration was calculated by the Prohaska method. The total resistance was decomposed to its components using the form factor. The interference factor was calculated for each configuration in terms of total resistance, residual resistance and wave resistance. Also, wave profiles using the longitudinal wave cuts in different locations were obtained both numerically and experimentally. It was concluded that the outrigger position had different effects on the interference, total resistance and wave profile at different Froude numbers. It was also shown that the CFD results were in good agreement with the experimental data in all configurations. In conclusion, this study presents the results of interference effects for different trimaran configurations in terms of wave resistance in addition to the total resistance and residual resistance. The numerical method was validated not only with the total resistance test data but also the longitudinal wave profiles along the hull.
Trimaran hydrodynamics have been an important research topic in recent years. Trimarans have even been chosen for naval surface combatants. In this case, investigation of a trimaran with different outrigger positions is important and necessary for better hydrodynamic performance. This paper focuses on the numerical investigation of trimaran hydrodynamics. The trimaran model used in this study is a 1/80 scale high-speed displacement frigate-type concept developed by the Center for Innovation in Ship Design (CISD) at Naval Surface Warfare Center, Carderock Division (NSWCCD). The numerical simulations were conducted for different outrigger positions at low and moderate Froude numbers by using commercial CFD software solving URANS equations. A verification and validation study was carried out for the numerical method in one configuration and one ship velocity. The existing experimental results for the trimaran resistance in the literature were used for validation. Five different outrigger positions were analyzed and the form factor of each configuration was calculated by the Prohaska method. The total resistance was decomposed to its components using the form factor. The interference factor was calculated for each configuration in terms of total resistance, residual resistance and wave resistance. Also, wave profiles using the longitudinal wave cuts in different locations were obtained both numerically and experimentally. It was concluded that the outrigger position had different effects on the interference, total resistance and wave profile at different Froude numbers. It was also shown that the CFD results were in good agreement with the experimental data in all configurations. In conclusion, this study presents the results of interference effects for different trimaran configurations in terms of wave resistance in addition to the total resistance and residual resistance. The numerical method was validated not only with the total resistance test data but also the longitudinal wave profiles along the hull.
2022, 36(2): 289-298.
doi: 10.1007/s13344-022-0025-8
Abstract:
Offshore structures are subject to environmental loads such as waves, currents, or wind, which may induce cyclic lateral vibration at the foundations. These cyclic vibration loadings may affect the rheological property of the sediments adjacent to the foundation and the stability of the structures. This is especially true when the structures are founded on cohesive sedimentary bed. In this study, the viscosity of soft cohesive sediments adjacent to a vibrating pillar was considered, and as a primary index of the rheological characteristics of the sediments. The investigation was performed using the sinking ball method. The experimental findings indicated that the viscosity of cohesive sediments decrease with increase of the liquidity index and vibration intensity. A simple semi-empirical formula was proposed. The structures of the cohesive sediments were destroyed due to the mechanical vibration, and the sediments were fluidized during vibration loads. The shear strength of the cohesive sediments decreased with increased vibration intensity, not only because of the increased pore water pressure but also the decreased viscosity of cohesive sediments following sediment fluidization.
Offshore structures are subject to environmental loads such as waves, currents, or wind, which may induce cyclic lateral vibration at the foundations. These cyclic vibration loadings may affect the rheological property of the sediments adjacent to the foundation and the stability of the structures. This is especially true when the structures are founded on cohesive sedimentary bed. In this study, the viscosity of soft cohesive sediments adjacent to a vibrating pillar was considered, and as a primary index of the rheological characteristics of the sediments. The investigation was performed using the sinking ball method. The experimental findings indicated that the viscosity of cohesive sediments decrease with increase of the liquidity index and vibration intensity. A simple semi-empirical formula was proposed. The structures of the cohesive sediments were destroyed due to the mechanical vibration, and the sediments were fluidized during vibration loads. The shear strength of the cohesive sediments decreased with increased vibration intensity, not only because of the increased pore water pressure but also the decreased viscosity of cohesive sediments following sediment fluidization.
2022, 36(2): 299-310.
doi: 10.1007/s13344-022-0026-7
Abstract:
An analytical procedure is presented to evaluate the fluid sloshing characteristics in a two-dimensional (2D) rectangular container with a bottom-mounted T-shaped baffle. The fluid region is divided into several sub-domains with hypothetical interfaces and the velocities and pressures of the fluid on adjacent interfaces should be identical. The separation of variables in conjunction with the superposition principle is employed to formulate the velocity potential of each sub-domain. The Fourier series expansion is used to derive the eigenvalue equation by substituting the velocity potential solutions into the free surface conditions and the continuity conditions on adjacent interfaces. Under the horizontal base excitation, the total velocity potential of fluid is decomposed of the impulsive and perturbed velocity potentials. The orthogonality of the sloshing modes is demonstrated by implementing Gauss formula. The dynamic response equation is established by incorporating the total velocity potential solution into the surface wave equation. Excellent agreements are achieved between the present results and those from the reported literature and finite element code. Numerical results are exhibited to reveal the effect of the baffle parameters and excitation frequency on sloshing characteristics and responses of liquid.
An analytical procedure is presented to evaluate the fluid sloshing characteristics in a two-dimensional (2D) rectangular container with a bottom-mounted T-shaped baffle. The fluid region is divided into several sub-domains with hypothetical interfaces and the velocities and pressures of the fluid on adjacent interfaces should be identical. The separation of variables in conjunction with the superposition principle is employed to formulate the velocity potential of each sub-domain. The Fourier series expansion is used to derive the eigenvalue equation by substituting the velocity potential solutions into the free surface conditions and the continuity conditions on adjacent interfaces. Under the horizontal base excitation, the total velocity potential of fluid is decomposed of the impulsive and perturbed velocity potentials. The orthogonality of the sloshing modes is demonstrated by implementing Gauss formula. The dynamic response equation is established by incorporating the total velocity potential solution into the surface wave equation. Excellent agreements are achieved between the present results and those from the reported literature and finite element code. Numerical results are exhibited to reveal the effect of the baffle parameters and excitation frequency on sloshing characteristics and responses of liquid.
2022, 36(2): 311-321.
doi: 10.1007/s13344-022-0027-6
Abstract:
The control synthesis of the high-speed underwater vehicle faces many technical challenges due to its inherent structure and surrounding operational environment. In this paper, the dynamical behavior is firstly described through a bifurcation analysis to give some insights for robust control synthesis. Then a novel adaptive fractional-order sliding mode controller (AFOSMC) is realized to effectively manipulate the supercavitating vehicle against payload changes, nonlinear planing force, and external disturbances. The fractional order (FO) calculus can offer more flexibility and more freedom for tuning active control synthesis than the integer-order counterpart. In addition, the adaptation law has been presented to directly handle the payload change effects. The stability of the controlled vehicle system is proven via Lyapunov stability theory. Next, the dynamic performance of the proposed controller is verified through extensive simulation results, which demonstrate the control accuracy with faster responses compared with existing integer-order controllers. Finally, the proposed fractional order controllers can provide higher performance than their integer order counterparts with control algorithms.
The control synthesis of the high-speed underwater vehicle faces many technical challenges due to its inherent structure and surrounding operational environment. In this paper, the dynamical behavior is firstly described through a bifurcation analysis to give some insights for robust control synthesis. Then a novel adaptive fractional-order sliding mode controller (AFOSMC) is realized to effectively manipulate the supercavitating vehicle against payload changes, nonlinear planing force, and external disturbances. The fractional order (FO) calculus can offer more flexibility and more freedom for tuning active control synthesis than the integer-order counterpart. In addition, the adaptation law has been presented to directly handle the payload change effects. The stability of the controlled vehicle system is proven via Lyapunov stability theory. Next, the dynamic performance of the proposed controller is verified through extensive simulation results, which demonstrate the control accuracy with faster responses compared with existing integer-order controllers. Finally, the proposed fractional order controllers can provide higher performance than their integer order counterparts with control algorithms.
2022, 36(2): 322-331.
doi: 10.1007/s13344-022-0028-5
Abstract:
Spudcan extraction leaves a footprint and disturbed soil surrounding the footprint, which introduces uncertainty and complexity in the spudcan−footprint interaction during spudcan reinstallation. This paper reports large deformation from finite element results of spudcan reinstallation near the footprint considering the effect of soil disturbance. Three stages are proposed based on the failure mechanisms of a spudcan reinstalled in disturbed soil and undisturbed soil. Besides, the effects of soil disturbance on the position of the maximum horizontal force and moment are discussed. It could be found that the critical offset distance in the disturbed case is larger than that in the undisturbed case. In addition, the maximum horizontal force and moment occur at different depths in the disturbed case and undisturbed case. A critical area is proposed based on the analyses, which could be useful for determining the position of the maximum horizontal force and moment in practical design.
Spudcan extraction leaves a footprint and disturbed soil surrounding the footprint, which introduces uncertainty and complexity in the spudcan−footprint interaction during spudcan reinstallation. This paper reports large deformation from finite element results of spudcan reinstallation near the footprint considering the effect of soil disturbance. Three stages are proposed based on the failure mechanisms of a spudcan reinstalled in disturbed soil and undisturbed soil. Besides, the effects of soil disturbance on the position of the maximum horizontal force and moment are discussed. It could be found that the critical offset distance in the disturbed case is larger than that in the undisturbed case. In addition, the maximum horizontal force and moment occur at different depths in the disturbed case and undisturbed case. A critical area is proposed based on the analyses, which could be useful for determining the position of the maximum horizontal force and moment in practical design.
ScholarOne Manuscripts Log In
Current Issue

- Volume 39
- Issue 4
- September 2025
- Editor-in-Chief:
- Superintended by:
CHINA ASSOCIATION FOR SCIENCE AND TECHNOLOGY
- Sponsored by:
Chinese Ocean Engineering Society (COES)
- Edited by:
Nanjing Hydraulic Research Institute
Highlights
Stay up to Date
