2022 Vol.36(6)
Display Mode: |
2022, 36(6): 839-848.
doi: 10.1007/s13344-022-0074-z
Abstract:
The retaining walls in coral sand sites are inevitably threatened by earthquakes. A series of shaking table tests were carried out to study the seismic stability of gravity retaining walls with coral sand backfill. Parallel tests with quartz sand were performed to compare and discuss the special dynamic properties of coral sand sites. The results show that the acceleration difference between the retaining wall and the coral sand backfill is 76%−92% that of the quartz sand, which corresponds to the larger liquefaction resistance of coral sand compared with the quartz sand. However, the horizontal displacement of the retaining walls with coral sand backfill reaches 79% of its own width under 0.4g vibration intensity. The risk of instability and damage of the retaining walls with coral sand backfill under strong earthquakes needs attention.
The retaining walls in coral sand sites are inevitably threatened by earthquakes. A series of shaking table tests were carried out to study the seismic stability of gravity retaining walls with coral sand backfill. Parallel tests with quartz sand were performed to compare and discuss the special dynamic properties of coral sand sites. The results show that the acceleration difference between the retaining wall and the coral sand backfill is 76%−92% that of the quartz sand, which corresponds to the larger liquefaction resistance of coral sand compared with the quartz sand. However, the horizontal displacement of the retaining walls with coral sand backfill reaches 79% of its own width under 0.4g vibration intensity. The risk of instability and damage of the retaining walls with coral sand backfill under strong earthquakes needs attention.
2022, 36(6): 849-858.
doi: 10.1007/s13344-022-0075-y
Abstract:
As the offshore wind turbine foundation, the four-bucket jacket foundation has a large stiffness and the structure is difficult to be damaged under seismic load. Nevertheless, the saturated subsoil of the four-bucket jacket foundation tends to be liquefied under earthquake, which greatly affects the safety of offshore wind turbine. Therefore, the seismic performance of four-bucket jacket foundation is mainly reflected in the anti-liquefaction capacity of foundation soil. In this paper, the liquefaction resistance of sandy soil of four-bucket jacket foundation for offshore wind turbine is studied. The liquefaction and dynamic response of sandy soil foundation of four-bucket jacket foundation under seismic load are obtained by carrying out the shaking table test, and the influence mechanism of four-bucket jacket foundation on the liquefaction resistance of sandy soil foundation is analyzed.
As the offshore wind turbine foundation, the four-bucket jacket foundation has a large stiffness and the structure is difficult to be damaged under seismic load. Nevertheless, the saturated subsoil of the four-bucket jacket foundation tends to be liquefied under earthquake, which greatly affects the safety of offshore wind turbine. Therefore, the seismic performance of four-bucket jacket foundation is mainly reflected in the anti-liquefaction capacity of foundation soil. In this paper, the liquefaction resistance of sandy soil of four-bucket jacket foundation for offshore wind turbine is studied. The liquefaction and dynamic response of sandy soil foundation of four-bucket jacket foundation under seismic load are obtained by carrying out the shaking table test, and the influence mechanism of four-bucket jacket foundation on the liquefaction resistance of sandy soil foundation is analyzed.
2022, 36(6): 859-870.
doi: 10.1007/s13344-022-0076-x
Abstract:
Bearing the large moment that is generated by the wind load that acts on the upper structure of offshore wind turbines is an important feature of their foundations that is different from other offshore structures. A composite bucket shallow foundation (CBSF) has been proposed by Tianjin University to address the soft geological conditions in the offshore regions of China for wind turbines. The CBSF is a new type of foundation and is effective against large moments. The soil deformation test of a CBSF and the numerical simulation study under the same working conditions are carried out to determine the failure mechanism of a CBSF under moment loading. The resisting soil compression rate ηm is defined as a new empirical parameter that indicates the ability of the soil inside the bucket to resist moment loading. The upper limit of the resisting moment bearing capacity of the bucket foundation is derived through the upper bound theorem of classical plasticity theory based on the failure mechanism. The calculation method is validated by tests of bucket models with different height-diameter ratios in sand under moment loading.
Bearing the large moment that is generated by the wind load that acts on the upper structure of offshore wind turbines is an important feature of their foundations that is different from other offshore structures. A composite bucket shallow foundation (CBSF) has been proposed by Tianjin University to address the soft geological conditions in the offshore regions of China for wind turbines. The CBSF is a new type of foundation and is effective against large moments. The soil deformation test of a CBSF and the numerical simulation study under the same working conditions are carried out to determine the failure mechanism of a CBSF under moment loading. The resisting soil compression rate ηm is defined as a new empirical parameter that indicates the ability of the soil inside the bucket to resist moment loading. The upper limit of the resisting moment bearing capacity of the bucket foundation is derived through the upper bound theorem of classical plasticity theory based on the failure mechanism. The calculation method is validated by tests of bucket models with different height-diameter ratios in sand under moment loading.
2022, 36(6): 871-879.
doi: 10.1007/s13344-022-0077-9
Abstract:
The six-degree-of-freedom movement of an offshore plate anchor is essential to evaluate anchor performance. As an emerging technology, magnetometer has shown its potential in measuring the six-degree-of-freedom movement of offshore anchors under 1-g model laboratory tests. The paper presents the feasibility of adopting a magnetometer system in geotechnical centrifuge testing. Interference factors that may affect the measuring accuracy of the magnetometer system are investigated. The results demonstrate that the magnetometer system can accurately catch the anchor movement in the soils with the restrictions of: (1) the model anchor was made with stainless steel; (2) the system was placed at least 30 cm away from the side wall of soil model tank; (3) started the measurement when the artificial acceleration by centrifuge was stable.
The six-degree-of-freedom movement of an offshore plate anchor is essential to evaluate anchor performance. As an emerging technology, magnetometer has shown its potential in measuring the six-degree-of-freedom movement of offshore anchors under 1-g model laboratory tests. The paper presents the feasibility of adopting a magnetometer system in geotechnical centrifuge testing. Interference factors that may affect the measuring accuracy of the magnetometer system are investigated. The results demonstrate that the magnetometer system can accurately catch the anchor movement in the soils with the restrictions of: (1) the model anchor was made with stainless steel; (2) the system was placed at least 30 cm away from the side wall of soil model tank; (3) started the measurement when the artificial acceleration by centrifuge was stable.
2022, 36(6): 880-893.
doi: 10.1007/s13344-022-0079-7
Abstract:
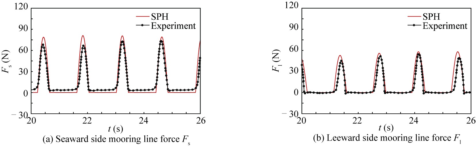
The present work reports a Hybrid Modular Floating Structure (HMFS) system with typical malfunction conditions. The effects of both fractured mooring lines and failed connectors on main hydrodynamic responses (mooring line tensions, module motions, connector loads and wave power production) of the HMFS system under typical sea conditions are comparatively investigated. The results indicate that the mooring tension distribution, certain module motions (surge, sway and yaw) and connector loads (Mz) are significantly influenced by mooring line fractures. The adjacent mooring line of the fractured line on the upstream side suffers the largest tension among the remaining mooring lines, and the case with two fractured mooring lines in the same group on the upstream side is the most dangerous among all cases of two-line failures in view of mooring line tensions, module motions and connector loads. Therefore, one emergency strategy with appropriate relaxation of a proper mooring line has been proposed and proved effective to reduce the risk of more progressive mooring line fractures. In addition, connector failures substantially affect certain module motions (heave and pitch), certain connector loads (Fz and My) and wave power production. The present work can be helpful and instructive for studies on malfunction conditions of modular floating structure (MFS) systems.
The present work reports a Hybrid Modular Floating Structure (HMFS) system with typical malfunction conditions. The effects of both fractured mooring lines and failed connectors on main hydrodynamic responses (mooring line tensions, module motions, connector loads and wave power production) of the HMFS system under typical sea conditions are comparatively investigated. The results indicate that the mooring tension distribution, certain module motions (surge, sway and yaw) and connector loads (Mz) are significantly influenced by mooring line fractures. The adjacent mooring line of the fractured line on the upstream side suffers the largest tension among the remaining mooring lines, and the case with two fractured mooring lines in the same group on the upstream side is the most dangerous among all cases of two-line failures in view of mooring line tensions, module motions and connector loads. Therefore, one emergency strategy with appropriate relaxation of a proper mooring line has been proposed and proved effective to reduce the risk of more progressive mooring line fractures. In addition, connector failures substantially affect certain module motions (heave and pitch), certain connector loads (Fz and My) and wave power production. The present work can be helpful and instructive for studies on malfunction conditions of modular floating structure (MFS) systems.
2022, 36(6): 894-910.
doi: 10.1007/s13344-022-0078-8
Abstract:
A numerical study adopting the 2D δ-SPH model is performed to compare the hydrodynamic characteristics of a single pontoon floating breakwater and a double pontoon floating breakwater. Numerical simulations are performed using the δ-SPH model and experimental tests are conducted to validate the numerical model. The numerical results of both the free surface elevations and motions of the floating breakwater are in good agreement with the experimental results. Numerical results show that when the pontoon drafts are larger, the double pontoon floating breakwater performs better in wave attenuations compared with the single pontoon floating breakwater, and for all the drafts, the amplitudes of motions including sway, heave and roll of the double pontoon floating breakwater is always smaller. In addition, increasing the spacing between the two pontoons can further reduce the amplitudes of pontoon motions and improve the wave attenuation ability of the double pontoon floating breakwater.
A numerical study adopting the 2D δ-SPH model is performed to compare the hydrodynamic characteristics of a single pontoon floating breakwater and a double pontoon floating breakwater. Numerical simulations are performed using the δ-SPH model and experimental tests are conducted to validate the numerical model. The numerical results of both the free surface elevations and motions of the floating breakwater are in good agreement with the experimental results. Numerical results show that when the pontoon drafts are larger, the double pontoon floating breakwater performs better in wave attenuations compared with the single pontoon floating breakwater, and for all the drafts, the amplitudes of motions including sway, heave and roll of the double pontoon floating breakwater is always smaller. In addition, increasing the spacing between the two pontoons can further reduce the amplitudes of pontoon motions and improve the wave attenuation ability of the double pontoon floating breakwater.
2022, 36(6): 911-921.
doi: 10.1007/s13344-022-0080-1
Abstract:
Hydrodynamic characteristics of a biplane-type otter board, equipped with nylon canvas of 2 mm in thickness was investigated through flume-tank experiment in this study. A series of predesigned structures with different gap-chord ratios G/c (0.75, 0.90, 1.05), stagger angles θ (30°, 45°, 60°), and proportions of flexible area relative to the whole wing area ƒr (0, 55%, 65%, 75%), at an aspect ratio of 2.0 and a camber ratio of 15%, were experimentally carried out. The results showed the solution referring to the usage of flexible canvas replacing part of rigid structure for the biplane-type otter board was efficient for the trawling in the middle or shallow water area. The improvement of lift and stability for the biplane-type otter board was concluded, and drag of the structure was reduced by 1.9% at ƒr = 55%. In addition, the coefficient of variation of the lift and drag coefficient at different current velocities were 2.69% and 2.28%, respectively, which was smaller than those at relatively large proportion of the flexible area. Compared with the other tested structures, the frame-type flexible structure with the gap-chord ratio of 0.9 and a stagger angle of 45° and the proportion of the flexible area of 55%, performed best, and its drag was reduced by 5.72% and lift increased by 4.8%, compared with the rigid biplane-type otter board at the angles of attack from 18° to 28°.
Hydrodynamic characteristics of a biplane-type otter board, equipped with nylon canvas of 2 mm in thickness was investigated through flume-tank experiment in this study. A series of predesigned structures with different gap-chord ratios G/c (0.75, 0.90, 1.05), stagger angles θ (30°, 45°, 60°), and proportions of flexible area relative to the whole wing area ƒr (0, 55%, 65%, 75%), at an aspect ratio of 2.0 and a camber ratio of 15%, were experimentally carried out. The results showed the solution referring to the usage of flexible canvas replacing part of rigid structure for the biplane-type otter board was efficient for the trawling in the middle or shallow water area. The improvement of lift and stability for the biplane-type otter board was concluded, and drag of the structure was reduced by 1.9% at ƒr = 55%. In addition, the coefficient of variation of the lift and drag coefficient at different current velocities were 2.69% and 2.28%, respectively, which was smaller than those at relatively large proportion of the flexible area. Compared with the other tested structures, the frame-type flexible structure with the gap-chord ratio of 0.9 and a stagger angle of 45° and the proportion of the flexible area of 55%, performed best, and its drag was reduced by 5.72% and lift increased by 4.8%, compared with the rigid biplane-type otter board at the angles of attack from 18° to 28°.
2022, 36(6): 922-932.
doi: 10.1007/s13344-022-0081-0
Abstract:
The density and viscosity ratios on partially liquid-filled sloshing with baffle have been investigated numerically in this study. As the key to success in the present simulation, the Coupled Level Set and the Volume of Fluid (CLSVOF) method and the Immersed Boundary (IB) method are used to capture gas/liquid and fluid/structure interfaces, respectively. Within the CLSVOF method, surface normal in weighting factors is calculated by the level set function, resulting in a more accurate solution. Furthermore, the Tangent of Hyperbola for INterface Capturing (THINC) coupled with the Weighted Linear Interface Calculation (WLIC) scheme is used for capturing moving interface. As a standard practice, we first validate the code by comparing it with experimental results of liquid sloshing, which involves large deformation of interface. In addition to the validation study of the present method, the problems of liquid sloshing with baffle are investigated to understand kinematics and dynamics behaviors under different density and viscosity ratios.
The density and viscosity ratios on partially liquid-filled sloshing with baffle have been investigated numerically in this study. As the key to success in the present simulation, the Coupled Level Set and the Volume of Fluid (CLSVOF) method and the Immersed Boundary (IB) method are used to capture gas/liquid and fluid/structure interfaces, respectively. Within the CLSVOF method, surface normal in weighting factors is calculated by the level set function, resulting in a more accurate solution. Furthermore, the Tangent of Hyperbola for INterface Capturing (THINC) coupled with the Weighted Linear Interface Calculation (WLIC) scheme is used for capturing moving interface. As a standard practice, we first validate the code by comparing it with experimental results of liquid sloshing, which involves large deformation of interface. In addition to the validation study of the present method, the problems of liquid sloshing with baffle are investigated to understand kinematics and dynamics behaviors under different density and viscosity ratios.
2022, 36(6): 933-946.
doi: 10.1007/s13344-022-0082-z
Abstract:
Wave-driven circulation in a reef-lagoon-channel system has significant ecological, geomorphological, and environmental implications. However, there is still research gap in fully understanding the responses of wave-driven circulation in the system to varying incident wave forcing and reef morphology. To better interpret the wave-current process inside an idealized reef-lagoon-channel configuration, a numerical model based on the horizontally two-dimensional (2DH) fully nonlinear Boussinesq equations is presented in this study. The adopted model is firstly validated by a published laboratory dataset for wave height, wave setup and mean current in the system. Subsequently, the impacts of wave forcing (incident wave height, incident wave period, reef-flat wave level) and reef morphological (fore-reef slope, cross-shore reef-flat width, channel width, reef roughness) factors that are not fully considered in the previous laboratory studies are reported through the numerical simulations in this study. Finally, the model is applied to analyze the wave pump efficiency parameter in the system, and an empirical equation to predict this parameter is also proposed.
Wave-driven circulation in a reef-lagoon-channel system has significant ecological, geomorphological, and environmental implications. However, there is still research gap in fully understanding the responses of wave-driven circulation in the system to varying incident wave forcing and reef morphology. To better interpret the wave-current process inside an idealized reef-lagoon-channel configuration, a numerical model based on the horizontally two-dimensional (2DH) fully nonlinear Boussinesq equations is presented in this study. The adopted model is firstly validated by a published laboratory dataset for wave height, wave setup and mean current in the system. Subsequently, the impacts of wave forcing (incident wave height, incident wave period, reef-flat wave level) and reef morphological (fore-reef slope, cross-shore reef-flat width, channel width, reef roughness) factors that are not fully considered in the previous laboratory studies are reported through the numerical simulations in this study. Finally, the model is applied to analyze the wave pump efficiency parameter in the system, and an empirical equation to predict this parameter is also proposed.
2022, 36(6): 947-958.
doi: 10.1007/s13344-022-0083-y
Abstract:
To solve the durability of island and reef concrete engineering in the harsh environment of high temperature, high salt, high humidity and windy, the strength grade of concrete and the type of corrosion inhibitor were used as the influence factors, while the relative dynamic elastic modulus was used as the evaluation index. In addition, the law and time variability of the deterioration of concrete, the size effect, environmental similarity and the service life model were studied. The results showed that improving the strength grade of concrete could improve the durability of concrete, and corrosion inhibitor could slightly improve the durability of concrete. Time-varying law of the deterioration of concrete conformed to the univariate quadratic polynomial. Combined with the concrete damage equivalent theory, a size effect model based on the relative dynamic elastic modulus was proposed and verified, and the size effect coefficient was also given. An environmental similarity model between simulated and practical island and reef environment was proposed. Combined with the reliability theory and the first order second moment method, a new service life model of concrete structure was proposed. The authors were convinced that the research will be advantageous to researchers.
To solve the durability of island and reef concrete engineering in the harsh environment of high temperature, high salt, high humidity and windy, the strength grade of concrete and the type of corrosion inhibitor were used as the influence factors, while the relative dynamic elastic modulus was used as the evaluation index. In addition, the law and time variability of the deterioration of concrete, the size effect, environmental similarity and the service life model were studied. The results showed that improving the strength grade of concrete could improve the durability of concrete, and corrosion inhibitor could slightly improve the durability of concrete. Time-varying law of the deterioration of concrete conformed to the univariate quadratic polynomial. Combined with the concrete damage equivalent theory, a size effect model based on the relative dynamic elastic modulus was proposed and verified, and the size effect coefficient was also given. An environmental similarity model between simulated and practical island and reef environment was proposed. Combined with the reliability theory and the first order second moment method, a new service life model of concrete structure was proposed. The authors were convinced that the research will be advantageous to researchers.
2022, 36(6): 959-968.
doi: 10.1007/s13344-022-0084-x
Abstract:
The vessel heave motion caused by wave action increases the difficulty of installing offshore wind equipment. On-board wave heave compensation devices have therefore become increasingly critical in ensuring the stability and safety of the gangway and working platform. This study accordingly improves the compensation effect of such devices by developing a wave heave compensation model and designing an optimized backstepping control method. First, a model of the compensation system including the servo motor and electric cylinder is established by using the mechanism method. Second, a backstepping control method is designed to track the vessel heave motion, and particle swarm optimization is applied to optimize the control parameters. Finally, MATLAB/Simulink is used to simulate the application of the optimized backstepping controller, then regular and irregular heave motions are applied as input to a Stewart platform to evaluate the effectiveness of the control method. The experimental results show that the compensation efficiency provided by the proposed optimized backstepping control method is larger than 75.0%.
The vessel heave motion caused by wave action increases the difficulty of installing offshore wind equipment. On-board wave heave compensation devices have therefore become increasingly critical in ensuring the stability and safety of the gangway and working platform. This study accordingly improves the compensation effect of such devices by developing a wave heave compensation model and designing an optimized backstepping control method. First, a model of the compensation system including the servo motor and electric cylinder is established by using the mechanism method. Second, a backstepping control method is designed to track the vessel heave motion, and particle swarm optimization is applied to optimize the control parameters. Finally, MATLAB/Simulink is used to simulate the application of the optimized backstepping controller, then regular and irregular heave motions are applied as input to a Stewart platform to evaluate the effectiveness of the control method. The experimental results show that the compensation efficiency provided by the proposed optimized backstepping control method is larger than 75.0%.
2022, 36(6): 969-979.
doi: 10.1007/s13344-022-0085-9
Abstract:
The high investment and low return of wave energy converters (WECs) seriously hamper their large-scale commercial application. The integration of WECs and floating breakwaters is conducive to enhance the competitiveness of wave energy conversion. The objective of this paper is to investigate the hydrodynamic performance of a WEC-breakwater integrated system combining an upstream oscillating water column (OWC) and a downstream oscillating buoy (OB) via numerical simulations and physical experiments. A nonlinear numerical wave flume using Star-CCM+ software is employed to obtain calculated results, where a tiny transverse gap is set between the flume wall and the block surface to simulate a similar two-dimensional (2D) model. The corresponding physical experiments are also carried out in a practical wave flume to verified the numerical results. The comparison of the isolated and hybrid system shows that the hybrid design leads to the decreased conversion efficiency of each WEC, but improves the transmission performance of the hybrid system. The wave resonance between two devices causes the abrupt reduction of OWC efficiency and a positive correlation exists with the OB efficiency. The total efficiency of the hybrid system is raised by an optimal opening ratio, a shallow OWC draft and a short spacing distance. Except for the OWC draft, other design parameters have weak effect on the wave attenuation of the hybrid system. This paper can help understand hydrodynamics of the hybrid WECs integrated with breakwaters and improve their performances.
The high investment and low return of wave energy converters (WECs) seriously hamper their large-scale commercial application. The integration of WECs and floating breakwaters is conducive to enhance the competitiveness of wave energy conversion. The objective of this paper is to investigate the hydrodynamic performance of a WEC-breakwater integrated system combining an upstream oscillating water column (OWC) and a downstream oscillating buoy (OB) via numerical simulations and physical experiments. A nonlinear numerical wave flume using Star-CCM+ software is employed to obtain calculated results, where a tiny transverse gap is set between the flume wall and the block surface to simulate a similar two-dimensional (2D) model. The corresponding physical experiments are also carried out in a practical wave flume to verified the numerical results. The comparison of the isolated and hybrid system shows that the hybrid design leads to the decreased conversion efficiency of each WEC, but improves the transmission performance of the hybrid system. The wave resonance between two devices causes the abrupt reduction of OWC efficiency and a positive correlation exists with the OB efficiency. The total efficiency of the hybrid system is raised by an optimal opening ratio, a shallow OWC draft and a short spacing distance. Except for the OWC draft, other design parameters have weak effect on the wave attenuation of the hybrid system. This paper can help understand hydrodynamics of the hybrid WECs integrated with breakwaters and improve their performances.
2022, 36(6): 980-993.
doi: 10.1007/s13344-022-0086-8
Abstract:
The 21st Century Maritime Silk Road is a profound measure for mankind, whilst its development is severely restricted by the energy shortage of surrounding countries. As the core construction area of Maritime Silk Road, the North Indian Ocean is rich in wave energy. The development and utilization of wave energy not only can overcome energy shortage, but also promote communication between peripheral countries. However, previous researchers often focused on wave energy itself, without combining devices to analyze wave energy resources. Therefore, we conducted an overall assessment of wave energy resources using 20-year ERA5 data and determined the sites considered as superior for the construction of Wave Energy Farm (WEF) in the coastal areas. In order to point out which type of Wave Energy Converter (WEC) is best suited for the sites, we carried out the performance evaluation of eight advanced WECs using three parameters: the mean power output, the capacity factor and the capture width ratio. The results show that the performance of Wave Star is superior to other devices, which is supposed to be the primary consideration of the Wave Energy Farms (WEFs) in the future.
The 21st Century Maritime Silk Road is a profound measure for mankind, whilst its development is severely restricted by the energy shortage of surrounding countries. As the core construction area of Maritime Silk Road, the North Indian Ocean is rich in wave energy. The development and utilization of wave energy not only can overcome energy shortage, but also promote communication between peripheral countries. However, previous researchers often focused on wave energy itself, without combining devices to analyze wave energy resources. Therefore, we conducted an overall assessment of wave energy resources using 20-year ERA5 data and determined the sites considered as superior for the construction of Wave Energy Farm (WEF) in the coastal areas. In order to point out which type of Wave Energy Converter (WEC) is best suited for the sites, we carried out the performance evaluation of eight advanced WECs using three parameters: the mean power output, the capacity factor and the capture width ratio. The results show that the performance of Wave Star is superior to other devices, which is supposed to be the primary consideration of the Wave Energy Farms (WEFs) in the future.
2022, 36(6): 994-1006.
doi: 10.1007/s13344-022-0087-7
Abstract:
In this paper, the transient fluid resonance phenomenon inside a narrow gap between two adjacent boxes excited by the incident focused waves with various spectral peak periods and focused wave amplitudes is simulated by utilizing the open-sourced computational fluid dynamics software, OpenFOAM. The weather-side box is allowed to heave freely under the action of waves, and the lee-side box keeps fixed. This paper mainly focuses on how both the spectral peak period and the focused wave amplitude affect the free-surface amplification inside the gap, the motion of the weather-side box, and the wave loads (including the vertical and the horizontal wave forces) acting on both boxes. For comparison, another two-box system with both boxes fixed is also considered as a control group. It is found that the motion of the weather-side box significantly changes the characteristics of the transient gap resonance, and it would cause that the fluid resonant period becomes 1.4−1.6 times that of the two-box system with both boxes fixed. All the concerned physical quantities (i.e., the free-surface amplification in the gap, the motion of the weather-side box, the wave loads) are found to closely depend on both the spectral peak period and the focused wave amplitude.
In this paper, the transient fluid resonance phenomenon inside a narrow gap between two adjacent boxes excited by the incident focused waves with various spectral peak periods and focused wave amplitudes is simulated by utilizing the open-sourced computational fluid dynamics software, OpenFOAM. The weather-side box is allowed to heave freely under the action of waves, and the lee-side box keeps fixed. This paper mainly focuses on how both the spectral peak period and the focused wave amplitude affect the free-surface amplification inside the gap, the motion of the weather-side box, and the wave loads (including the vertical and the horizontal wave forces) acting on both boxes. For comparison, another two-box system with both boxes fixed is also considered as a control group. It is found that the motion of the weather-side box significantly changes the characteristics of the transient gap resonance, and it would cause that the fluid resonant period becomes 1.4−1.6 times that of the two-box system with both boxes fixed. All the concerned physical quantities (i.e., the free-surface amplification in the gap, the motion of the weather-side box, the wave loads) are found to closely depend on both the spectral peak period and the focused wave amplitude.
2022, 36(6): 1007-1007.
doi: 10.1007/s13344-022-0088-6
Abstract:
ScholarOne Manuscripts Log In
Current Issue

- Volume 39
- Issue 4
- September 2025
- Editor-in-Chief:
- Superintended by:
CHINA ASSOCIATION FOR SCIENCE AND TECHNOLOGY
- Sponsored by:
Chinese Ocean Engineering Society (COES)
- Edited by:
Nanjing Hydraulic Research Institute
Highlights
Stay up to Date
