2023 Vol.37(3)
Display Mode: |
2023, 37(3): 355-368.
doi: 10.1007/s13344-023-0030-6
Abstract:
The frequency-locked phenomenon commonly occurs in the vortex-induced vibration (VIV) of bluff bodies. Numerical simulation of this lock-in behavior is challenging, especially when the structure is positioned in close proximity to a solid boundary. To establish a robust simulator, an enhanced smoothed particle hydrodynamic (SPH) model is developed. The SPH model incorporates a particle shifting algorithm and a pressure correction algorithm to prevent cavity formation in the structure’s wake area. A damping zone is also established near the outlet boundary to dissipate the vortices that shed from the structure. Additionally, GPU parallel technology is implemented to enhance the SPH model’s computational efficiency. To validate the model, the predicted results are compared with the available reference data for flow past both stationary and oscillating cylinders. The verified SPH model is then employed to comparatively investigate the motion response, lift characteristic, and vortex shedding mode of cylinders with and without accounting for the effect of boundary layers. Numerical analyses demonstrate that the developed SPH model is a proficient tool for efficiently simulating the vibration of near-wall bluff bodies at low Reynolds number.
The frequency-locked phenomenon commonly occurs in the vortex-induced vibration (VIV) of bluff bodies. Numerical simulation of this lock-in behavior is challenging, especially when the structure is positioned in close proximity to a solid boundary. To establish a robust simulator, an enhanced smoothed particle hydrodynamic (SPH) model is developed. The SPH model incorporates a particle shifting algorithm and a pressure correction algorithm to prevent cavity formation in the structure’s wake area. A damping zone is also established near the outlet boundary to dissipate the vortices that shed from the structure. Additionally, GPU parallel technology is implemented to enhance the SPH model’s computational efficiency. To validate the model, the predicted results are compared with the available reference data for flow past both stationary and oscillating cylinders. The verified SPH model is then employed to comparatively investigate the motion response, lift characteristic, and vortex shedding mode of cylinders with and without accounting for the effect of boundary layers. Numerical analyses demonstrate that the developed SPH model is a proficient tool for efficiently simulating the vibration of near-wall bluff bodies at low Reynolds number.
2023, 37(3): 369-377.
doi: 10.1007/s13344-023-0031-5
Abstract:
A higher order boundary element method (HOBEM) is presented for inviscid flow passing cylinders in bounded or unbounded domain. The traditional boundary integral equation is established with respect to the velocity potential and its normal derivative. In present work, a new integral equation is derived for the tangential velocity. The boundary is discretized into higher order elements to ensure the continuity of slope at the element nodes. The velocity potential is also expanded with higher order shape functions, in which the unknown coefficients involve the tangential velocity. The expansion then ensures the continuities of the velocity and the slope of the boundary at element nodes. Through extensive comparison of the results for the analytical solution of cylinders, it is shown that the present HOBEM is much more accurate than the conventional BEM.
A higher order boundary element method (HOBEM) is presented for inviscid flow passing cylinders in bounded or unbounded domain. The traditional boundary integral equation is established with respect to the velocity potential and its normal derivative. In present work, a new integral equation is derived for the tangential velocity. The boundary is discretized into higher order elements to ensure the continuity of slope at the element nodes. The velocity potential is also expanded with higher order shape functions, in which the unknown coefficients involve the tangential velocity. The expansion then ensures the continuities of the velocity and the slope of the boundary at element nodes. Through extensive comparison of the results for the analytical solution of cylinders, it is shown that the present HOBEM is much more accurate than the conventional BEM.
2023, 37(3): 378-392.
doi: 10.1007/s13344-023-0032-4
Abstract:
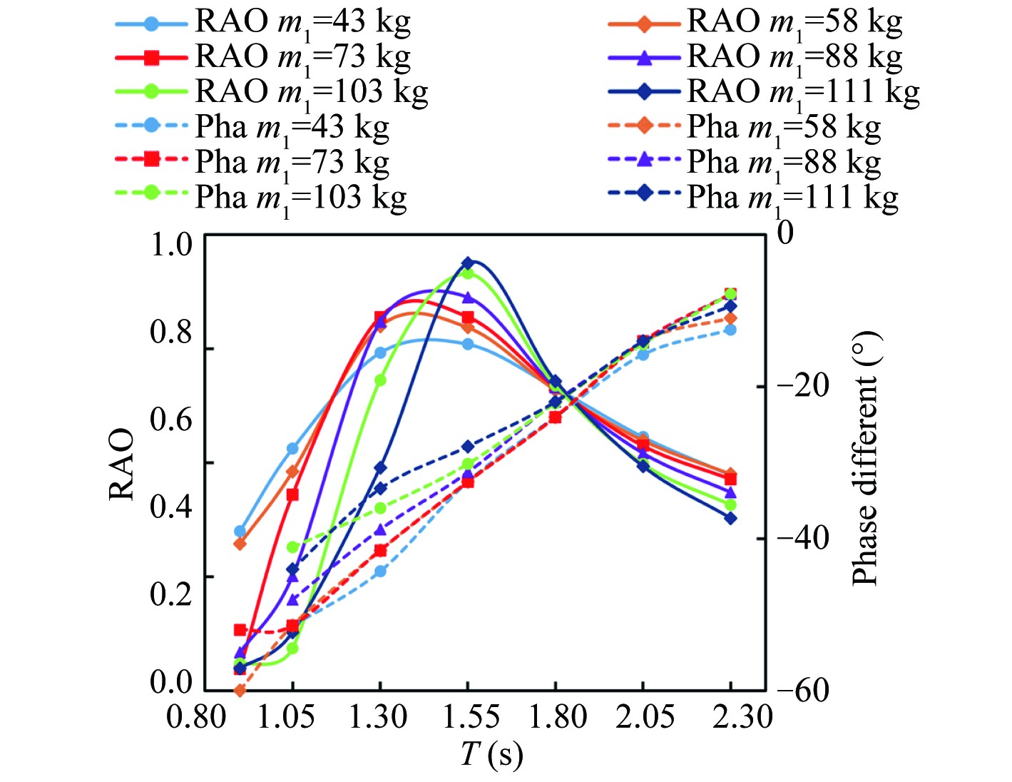
As an important wave energy converter (WEC), the double-buoy device has advantages of wider energy absorption band and deeper water adaptability, which attract an increasing number of attentions from researchers. This paper makes an in-depth study on double-buoy WEC, by means of the combination of model experiment and numerical simulation. The Response Amplitude Operator (RAO) and energy capture of the double-buoy under constant power take-off (PTO) damping are investigated in the model test, while the average power output and capture width ratio (CWR) are calculated by the numerical simulation to analyze the influence of the wave condition, PTO, and the geometry parameters of the device. The AQWA-Fortran united simulation system, including the secondary development of AQWA software coupled with the flowchart of the Fortran code, models a new dynamic system. Various viscous damping and hydraulic friction from WEC system are measured from the experimental results, and these values are added to the equation of motion. As a result, the energy loss is contained in the final numerical model the by united simulation system. Using the developed numerical model, the optimal period of energy capture is identified. The power capture reaches the maximum value under the outer buoy’s natural period. The paper gives the peak value of the energy capture under the linear PTO damping force, and calculates the optimal mass ratio of the device.
As an important wave energy converter (WEC), the double-buoy device has advantages of wider energy absorption band and deeper water adaptability, which attract an increasing number of attentions from researchers. This paper makes an in-depth study on double-buoy WEC, by means of the combination of model experiment and numerical simulation. The Response Amplitude Operator (RAO) and energy capture of the double-buoy under constant power take-off (PTO) damping are investigated in the model test, while the average power output and capture width ratio (CWR) are calculated by the numerical simulation to analyze the influence of the wave condition, PTO, and the geometry parameters of the device. The AQWA-Fortran united simulation system, including the secondary development of AQWA software coupled with the flowchart of the Fortran code, models a new dynamic system. Various viscous damping and hydraulic friction from WEC system are measured from the experimental results, and these values are added to the equation of motion. As a result, the energy loss is contained in the final numerical model the by united simulation system. Using the developed numerical model, the optimal period of energy capture is identified. The power capture reaches the maximum value under the outer buoy’s natural period. The paper gives the peak value of the energy capture under the linear PTO damping force, and calculates the optimal mass ratio of the device.
Modal Parameter Identification Method of Jacket Platform Structure Based on AFDD and Optimized FBFFT
2023, 37(3): 393-407.
doi: 10.1007/s13344-023-0033-3
Abstract:
Offshore platforms are susceptible to structural damage due to prolonged exposure to random loads, such as wind, waves, and currents. This is particularly true for platforms that have been in service for an extended period. Identifying the modal parameters of offshore platforms is crucial for damage diagnosis, as it serves as a prerequisite and foundation for the process. Therefore, it holds great significance to prioritize the identification of these parameters. Aiming at the shortcomings of the traditional Fast Bayesian Fast Fourier Transform (FBFFT) method, this paper proposes a modal parameter identification method based on Automatic Frequency Domain Decomposition (AFDD) and optimized FBFFT. By introducing the AFDD method and Powell optimization algorithm, this method can automatically identify the initial value of natural frequency and solve the objective function efficiently and simply. In order to verify the feasibility and effectiveness of the proposed method, it is used to identify the modal parameters of the IASC-ASCE benchmark model and the jacket platform structure model, and the Most Probable Value (MPV) of the modal parameters and their respective posterior uncertainties are successfully identified. The identification results of the IASC-ASCE benchmark model are compared with the identification results of the MODE-ID method, which verifies the effectiveness and accuracy of the proposed method for identifying modal parameters. It provides a simple and feasible method for quantifying the influence of uncertain factors such as environmental parameters on the identification results, and also provides a reference for modal parameter identification of other large structures.
Offshore platforms are susceptible to structural damage due to prolonged exposure to random loads, such as wind, waves, and currents. This is particularly true for platforms that have been in service for an extended period. Identifying the modal parameters of offshore platforms is crucial for damage diagnosis, as it serves as a prerequisite and foundation for the process. Therefore, it holds great significance to prioritize the identification of these parameters. Aiming at the shortcomings of the traditional Fast Bayesian Fast Fourier Transform (FBFFT) method, this paper proposes a modal parameter identification method based on Automatic Frequency Domain Decomposition (AFDD) and optimized FBFFT. By introducing the AFDD method and Powell optimization algorithm, this method can automatically identify the initial value of natural frequency and solve the objective function efficiently and simply. In order to verify the feasibility and effectiveness of the proposed method, it is used to identify the modal parameters of the IASC-ASCE benchmark model and the jacket platform structure model, and the Most Probable Value (MPV) of the modal parameters and their respective posterior uncertainties are successfully identified. The identification results of the IASC-ASCE benchmark model are compared with the identification results of the MODE-ID method, which verifies the effectiveness and accuracy of the proposed method for identifying modal parameters. It provides a simple and feasible method for quantifying the influence of uncertain factors such as environmental parameters on the identification results, and also provides a reference for modal parameter identification of other large structures.
2023, 37(3): 408-419.
doi: 10.1007/s13344-023-0034-2
Abstract:
Taking the three-riser group arranged in tandem as the research subject, an experimental study was carried out on the risers arranged in tandem. The purpose is to explore the sensitivity of the dynamic response of each riser to spacing ratio and reveal the physical mechanism of riser groups under the interference effect. The spacing ratios of the adjacent risers are 4.0, 5.0, 6.0, and 8.0. At the spacing between the risers of 4.0D, the strong feedback effect increases the cross-flow (CF) displacement amplitude of the upstream riser. The shielding effect is the key factor affecting the interference effect on the midstream and downstream risers. At low reduced velocities, the shielding area initially appears, the displacement amplitude of the midstream and downstream risers varies greatly, the vibration of the two risers is still dominated by the first-order mode, and the transition between adjacent vibration modes is restrained. The multi-frequency superposition phenomenon is very significant at high reduced velocities. The most sensitive interference spacing under the test conditions is obtained. Due to the separation of the incoming flow and the double shielding effect of the upstream and midstream risers, the regular vortex-induced vibration in the wake area of the downstream riser is broken, and the vibration in the two directions is weakened. In general, the interference effect is more significant for the CF vibration of the three-riser groups than the in-line (IL) vibration.
Taking the three-riser group arranged in tandem as the research subject, an experimental study was carried out on the risers arranged in tandem. The purpose is to explore the sensitivity of the dynamic response of each riser to spacing ratio and reveal the physical mechanism of riser groups under the interference effect. The spacing ratios of the adjacent risers are 4.0, 5.0, 6.0, and 8.0. At the spacing between the risers of 4.0D, the strong feedback effect increases the cross-flow (CF) displacement amplitude of the upstream riser. The shielding effect is the key factor affecting the interference effect on the midstream and downstream risers. At low reduced velocities, the shielding area initially appears, the displacement amplitude of the midstream and downstream risers varies greatly, the vibration of the two risers is still dominated by the first-order mode, and the transition between adjacent vibration modes is restrained. The multi-frequency superposition phenomenon is very significant at high reduced velocities. The most sensitive interference spacing under the test conditions is obtained. Due to the separation of the incoming flow and the double shielding effect of the upstream and midstream risers, the regular vortex-induced vibration in the wake area of the downstream riser is broken, and the vibration in the two directions is weakened. In general, the interference effect is more significant for the CF vibration of the three-riser groups than the in-line (IL) vibration.
2023, 37(3): 420-432.
doi: 10.1007/s13344-023-0035-1
Abstract:
Hydraulic transport in pipelines is the most promising conveying method for large ore particles in deepsea mining. The dynamic performances of particles during transportation in vertical, inclined and horizontal pipelines are significant for the design of hydraulic transport systems. In the present study, we focus on the statistical characteristics and flow regimes of the mixture composed of ore particles and seawater in the pipelines. Numerical simulations are conducted by using Computational Fluid Dynamics (CFD) and Discrete Element Method (DEM). The influences of inclination angle and particle diameter are evaluated through two sets of numerical tests. The regulation of the inclined transport is totally different from that of the vertical transport, whereas the dynamics of the mixtures in inclined and horizontal pipes are similar. A number of particles accumulate on the pipe wall even with a small inclination angle. Large hydraulic gradient and local concentration would occur when the inclination angle of the pipe is in the range of 30°−60°. With the decrease of particle diameter, the particle flow becomes uniform, reflected by the almost uniform particle distribution in the vertical pipe and the clear interface between the suspended load and the bed-load in the inclined pipe. However, small particles will introduce larger local concentrations and hydraulic gradients in the inclined pipe, which is not conducive to particle transport.
Hydraulic transport in pipelines is the most promising conveying method for large ore particles in deepsea mining. The dynamic performances of particles during transportation in vertical, inclined and horizontal pipelines are significant for the design of hydraulic transport systems. In the present study, we focus on the statistical characteristics and flow regimes of the mixture composed of ore particles and seawater in the pipelines. Numerical simulations are conducted by using Computational Fluid Dynamics (CFD) and Discrete Element Method (DEM). The influences of inclination angle and particle diameter are evaluated through two sets of numerical tests. The regulation of the inclined transport is totally different from that of the vertical transport, whereas the dynamics of the mixtures in inclined and horizontal pipes are similar. A number of particles accumulate on the pipe wall even with a small inclination angle. Large hydraulic gradient and local concentration would occur when the inclination angle of the pipe is in the range of 30°−60°. With the decrease of particle diameter, the particle flow becomes uniform, reflected by the almost uniform particle distribution in the vertical pipe and the clear interface between the suspended load and the bed-load in the inclined pipe. However, small particles will introduce larger local concentrations and hydraulic gradients in the inclined pipe, which is not conducive to particle transport.
2023, 37(3): 433-446.
doi: 10.1007/s13344-023-0036-0
Abstract:
In recent years, regional floods and typhoons have occurred in the Yangtze Estuary. Changing dynamic conditions and dramatic reduction of sediment discharge in the basin are affecting the dynamic equilibrium pattern of the Yangtze Estuary. Based on the field measurement data and theoretical derivation, this paper analyzed the changing process of runoff-sediment discharge into the sea after the operation of the Three Gorges Project (TGP), and the tidal dynamics and sediment variation characteristics of the Yangtze Estuary. The erosion of South Branch mainly occurs in the channel below −10 m contour, and the riverbed volume below contours 0 m and −10 m has a good correlation with the sediment discharge of Datong Station in the previous year. On this basis, the ratio of the horizontal distance from the starting point to the section centroid below the average water level (Bc) and the water depth at the section centroid (Hc) was proposed to describe the change of the section shape. The relationships between the water-diverting ratio, the sediment-diverting ratio and the water-diverting angle, the conditions of runoff and sediment discharge from the upper reach and the characteristics of the riverway section were established, and the theoretical calculation equations of the water-diverting ratio, the sediment-diverting ratio and the diverting angle of each bifurcation were also established.
In recent years, regional floods and typhoons have occurred in the Yangtze Estuary. Changing dynamic conditions and dramatic reduction of sediment discharge in the basin are affecting the dynamic equilibrium pattern of the Yangtze Estuary. Based on the field measurement data and theoretical derivation, this paper analyzed the changing process of runoff-sediment discharge into the sea after the operation of the Three Gorges Project (TGP), and the tidal dynamics and sediment variation characteristics of the Yangtze Estuary. The erosion of South Branch mainly occurs in the channel below −10 m contour, and the riverbed volume below contours 0 m and −10 m has a good correlation with the sediment discharge of Datong Station in the previous year. On this basis, the ratio of the horizontal distance from the starting point to the section centroid below the average water level (Bc) and the water depth at the section centroid (Hc) was proposed to describe the change of the section shape. The relationships between the water-diverting ratio, the sediment-diverting ratio and the water-diverting angle, the conditions of runoff and sediment discharge from the upper reach and the characteristics of the riverway section were established, and the theoretical calculation equations of the water-diverting ratio, the sediment-diverting ratio and the diverting angle of each bifurcation were also established.
Mechanism of the Impact of Floods and Typhoons on the Morphological Evolution of the Yangtze Estuary
2023, 37(3): 447-457.
doi: 10.1007/s13344-023-0037-z
Abstract:
In the last two decades, the Yangtze Estuary has undergone significant changes under the influence of reduced sediment inflow and estuary engineering. This study investigates the influence of floods and typhoons on sediment concentration and the morphological evolution of shoals and channels in the Yangtze Estuary. The analysis is conducted through the utilization of topographic data measured pre- and post-flood events and observations of hydro-sedimentary changes during typhoons. By using a generalized estuary mathematical model, this study examines the interplay between varying tidal ranges, tidal divisions, runoff volumes, and regulation projects on the erosion and deposition of shoals and channels in bifurcated estuaries. The results show that due to the implementation of river and waterway regulation projects, the impact of the 2020 flood on the main channel and shoal was significantly less than that of the 1998 flood. The swing amplitude of the South Branch main channel decreased. However, local river sections such as the Southern Waterway of Baimao Shoal exhibited erosion. During typhoons, sediment concentration in the 20 cm above the bottom increased significantly and was closely related to wave processes, with a weakened correlation to tidal dynamics. After typhoons, high shoals in South Passage above 0 m were silted up, while the terrain on one side of the tail of Jiuduan Shoal in the downstream deep-water area was generally scoured due to strong wave action. The generalized mathematical model of the bifurcated estuary revealed that M2 tidal component contributed most to the erosion and deposition evolution of estuary shoals and channels, with floods exhibiting characteristics of sedimentation on shoals and erosion on channels. With the implementation of a branch rectification project, branch resistance increased, diversion decreased, and the riverbed changed from pre-project erosion to post-project sedimentation, with an increase in erosion in non-project branches.
In the last two decades, the Yangtze Estuary has undergone significant changes under the influence of reduced sediment inflow and estuary engineering. This study investigates the influence of floods and typhoons on sediment concentration and the morphological evolution of shoals and channels in the Yangtze Estuary. The analysis is conducted through the utilization of topographic data measured pre- and post-flood events and observations of hydro-sedimentary changes during typhoons. By using a generalized estuary mathematical model, this study examines the interplay between varying tidal ranges, tidal divisions, runoff volumes, and regulation projects on the erosion and deposition of shoals and channels in bifurcated estuaries. The results show that due to the implementation of river and waterway regulation projects, the impact of the 2020 flood on the main channel and shoal was significantly less than that of the 1998 flood. The swing amplitude of the South Branch main channel decreased. However, local river sections such as the Southern Waterway of Baimao Shoal exhibited erosion. During typhoons, sediment concentration in the 20 cm above the bottom increased significantly and was closely related to wave processes, with a weakened correlation to tidal dynamics. After typhoons, high shoals in South Passage above 0 m were silted up, while the terrain on one side of the tail of Jiuduan Shoal in the downstream deep-water area was generally scoured due to strong wave action. The generalized mathematical model of the bifurcated estuary revealed that M2 tidal component contributed most to the erosion and deposition evolution of estuary shoals and channels, with floods exhibiting characteristics of sedimentation on shoals and erosion on channels. With the implementation of a branch rectification project, branch resistance increased, diversion decreased, and the riverbed changed from pre-project erosion to post-project sedimentation, with an increase in erosion in non-project branches.
2023, 37(3): 458-470.
doi: 10.1007/s13344-023-0038-y
Abstract:
In this paper, the open-sourced computational fluid dynamics software, OpenFOAM®, is used to study the fluctuation phenomenon of the water body inside a horizontally one-dimensional enclosed harbor basin with constant water depth triggered by falling wedges with various horizontal falling positions, initial falling velocities and masses. Based on both Fourier transform analysis and wavelet spectrum analysis for the time series of the free surface elevations inside the harbor basin, it is found for the first time that the wedge falling inside the harbor can directly trigger harbor resonance. The influences of the three factors (including the horizontal falling position, the initial falling velocity, and the mass) on the response amplitudes of the lowest three resonant modes are also investigated. The results show that when the wedge falls on one of the nodal points of a resonant mode, the mode would be remarkably suppressed. Conversely, when the wedge falls on one of the anti-nodal points of a resonant mode, the mode would be evidently triggered. The initial falling velocity of the wedge mainly has a remarkable effect on the response amplitude of the most significant mode, and the latter shows a gradual increase trend with the increase of the former. While for the other two less significant modes, their response amplitudes fluctuate around certain constant values as the initial falling velocity rises. In general, the response amplitudes of all the lowest three modes are shown to gradually increase with the mass of the wedge.
In this paper, the open-sourced computational fluid dynamics software, OpenFOAM®, is used to study the fluctuation phenomenon of the water body inside a horizontally one-dimensional enclosed harbor basin with constant water depth triggered by falling wedges with various horizontal falling positions, initial falling velocities and masses. Based on both Fourier transform analysis and wavelet spectrum analysis for the time series of the free surface elevations inside the harbor basin, it is found for the first time that the wedge falling inside the harbor can directly trigger harbor resonance. The influences of the three factors (including the horizontal falling position, the initial falling velocity, and the mass) on the response amplitudes of the lowest three resonant modes are also investigated. The results show that when the wedge falls on one of the nodal points of a resonant mode, the mode would be remarkably suppressed. Conversely, when the wedge falls on one of the anti-nodal points of a resonant mode, the mode would be evidently triggered. The initial falling velocity of the wedge mainly has a remarkable effect on the response amplitude of the most significant mode, and the latter shows a gradual increase trend with the increase of the former. While for the other two less significant modes, their response amplitudes fluctuate around certain constant values as the initial falling velocity rises. In general, the response amplitudes of all the lowest three modes are shown to gradually increase with the mass of the wedge.
2023, 37(3): 471-483.
doi: 10.1007/s13344-023-0039-x
Abstract:
Considering the large diameter effect of piles, the influence of different pile‒soil analysis methods on the design of monopile foundations for offshore wind turbines has become an urgent problem to be solved. Three different pile‒soil models were used to study a large 10 MW monopile wind turbine. By modeling the three models in the SACS software, this paper analyzed the motion response of the overall structure under the conditions of wind and waves. According to the given working conditions, this paper concludes that under the condition of independent wind, the average value of the tower top x-displacement of the rigid connection method is the smallest, and the standard deviation is the smallest under the condition of independent wave. The results obtained by the p−y curve method are the most conservative.
Considering the large diameter effect of piles, the influence of different pile‒soil analysis methods on the design of monopile foundations for offshore wind turbines has become an urgent problem to be solved. Three different pile‒soil models were used to study a large 10 MW monopile wind turbine. By modeling the three models in the SACS software, this paper analyzed the motion response of the overall structure under the conditions of wind and waves. According to the given working conditions, this paper concludes that under the condition of independent wind, the average value of the tower top x-displacement of the rigid connection method is the smallest, and the standard deviation is the smallest under the condition of independent wave. The results obtained by the p−y curve method are the most conservative.
2023, 37(3): 484-494.
doi: 10.1007/s13344-023-0040-4
Abstract:
This paper investigates the interface mechanical behavior of flexible piles with Lp/D>10 under lateral load and an overturning moment in monotonic loading conditions. To modify the beam-on-Winkler-foundation model of piles in offshore wind farms, the energy-based variational method is used. The soil is treated as a multi-layered elastic continuum with the assumption of three-dimensional displacements, the pile modeled as an Euler-Bernoulli beam. A series of cases using MATLAB programming was conducted to investigate the simplified equations of initial stiffness. The results indicated that the interaction between soil layers and the applied force position should be taken into account in calculating the horizontal soil resistance. Additionally, the distributed moment had a limiting effect on the lateral capacity of a flexible pile. Moreover, to account for the more realistic conditions of OWT systems, field data from the Donghai Bridge offshore wind farm were used.
This paper investigates the interface mechanical behavior of flexible piles with Lp/D>10 under lateral load and an overturning moment in monotonic loading conditions. To modify the beam-on-Winkler-foundation model of piles in offshore wind farms, the energy-based variational method is used. The soil is treated as a multi-layered elastic continuum with the assumption of three-dimensional displacements, the pile modeled as an Euler-Bernoulli beam. A series of cases using MATLAB programming was conducted to investigate the simplified equations of initial stiffness. The results indicated that the interaction between soil layers and the applied force position should be taken into account in calculating the horizontal soil resistance. Additionally, the distributed moment had a limiting effect on the lateral capacity of a flexible pile. Moreover, to account for the more realistic conditions of OWT systems, field data from the Donghai Bridge offshore wind farm were used.
2023, 37(3): 495-505.
doi: 10.1007/s13344-023-0041-3
Abstract:
Because non-buried submarine pipelines under cyclic thermal loading are prone to global buckling, sleepers are commonly laid along the pipeline route to induce a series of relatively small and controllable lateral buckling. A finite element model which can simulate the transformation of pipeline laid on a sleeper from vertical buckling to lateral buckling is established in this work. The parameters of sleeper affecting pipeline buckling modes are analysed, and a new kind of sleeper is proposed aimed at avoiding antisymmetric buckling. Results show that the lateral trigger force can avoid antisymmetric lateral buckling when acting between 1°C and 13°C before the critical buckling temperature. The range increases slightly with increasing trigger force. Compared with an ordinary sleeper, the proposed new sleeper with slider can reduce the critical buckling temperature by 25%, which significantly improves the success rate of sleepers.
Because non-buried submarine pipelines under cyclic thermal loading are prone to global buckling, sleepers are commonly laid along the pipeline route to induce a series of relatively small and controllable lateral buckling. A finite element model which can simulate the transformation of pipeline laid on a sleeper from vertical buckling to lateral buckling is established in this work. The parameters of sleeper affecting pipeline buckling modes are analysed, and a new kind of sleeper is proposed aimed at avoiding antisymmetric buckling. Results show that the lateral trigger force can avoid antisymmetric lateral buckling when acting between 1°C and 13°C before the critical buckling temperature. The range increases slightly with increasing trigger force. Compared with an ordinary sleeper, the proposed new sleeper with slider can reduce the critical buckling temperature by 25%, which significantly improves the success rate of sleepers.
2023, 37(3): 506-518.
doi: 10.1007/s13344-023-0042-2
Abstract:
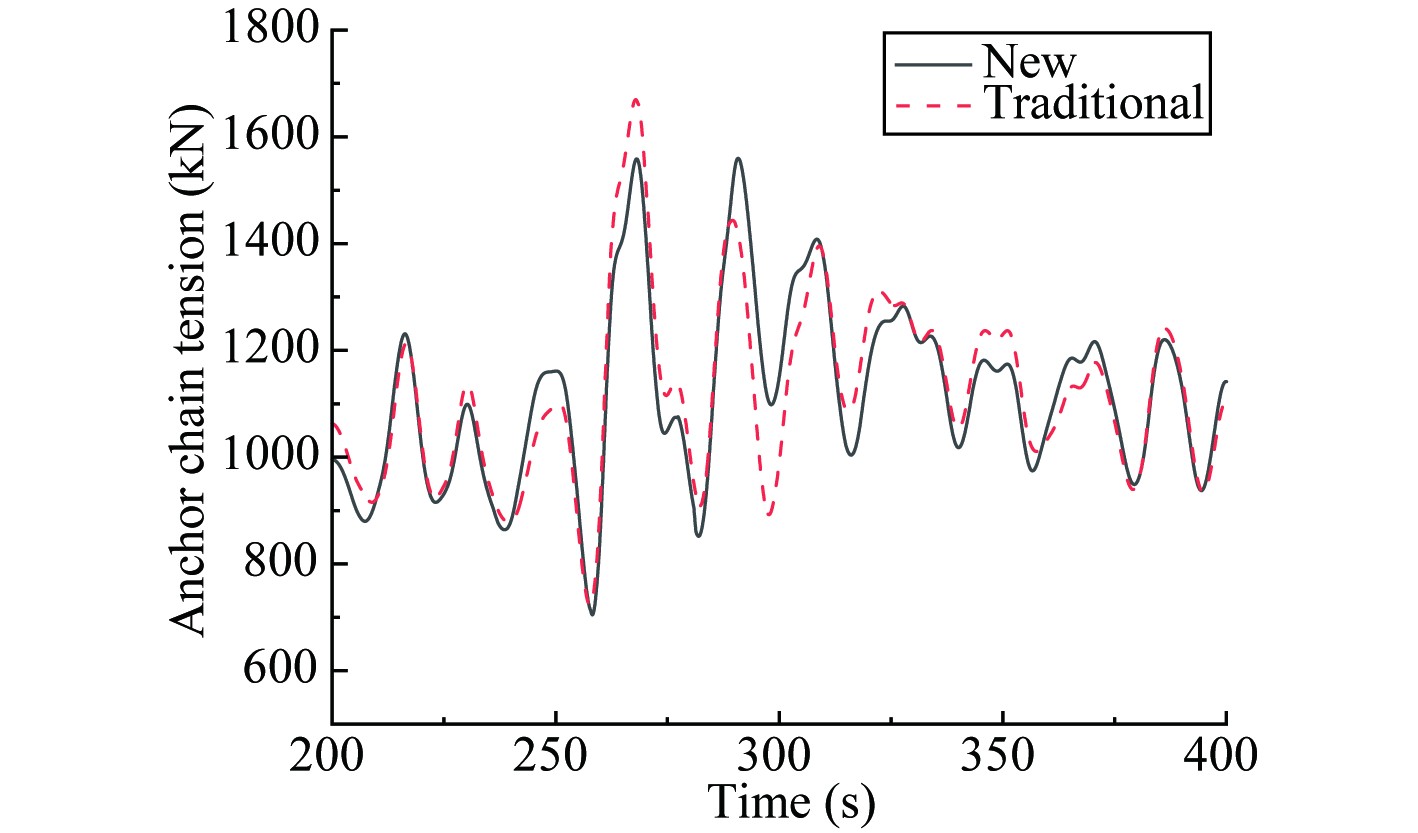
As the sustainable exploitation of marine resources develops, dual-platform joint operation has caught increasing attention. Dual-platform joint operation requires smaller relative motion between the two sub-platforms, which is normally difficult to be satisfied by the traditional mooring system. Therefore, a new hybrid mooring system is developed and studied in this article. To ensure safety during platform movements, both the number of anchor chains and the relative motion between the two sub-platforms are reduced in the new hybrid mooring system. By performing numerical simulations based on three-dimensional potential flow theory in AQWA and physical experiments, the performances of both the new hybrid and traditional mooring systems under two different wave conditions (i.e., working wave and freak wave conditions) are systematically investigated. Regarding the new hybrid mooring system, the relative stability between the two sub-platforms of the new system is better, and the platforms can restore stability faster when affected by freak waves.
As the sustainable exploitation of marine resources develops, dual-platform joint operation has caught increasing attention. Dual-platform joint operation requires smaller relative motion between the two sub-platforms, which is normally difficult to be satisfied by the traditional mooring system. Therefore, a new hybrid mooring system is developed and studied in this article. To ensure safety during platform movements, both the number of anchor chains and the relative motion between the two sub-platforms are reduced in the new hybrid mooring system. By performing numerical simulations based on three-dimensional potential flow theory in AQWA and physical experiments, the performances of both the new hybrid and traditional mooring systems under two different wave conditions (i.e., working wave and freak wave conditions) are systematically investigated. Regarding the new hybrid mooring system, the relative stability between the two sub-platforms of the new system is better, and the platforms can restore stability faster when affected by freak waves.
2023, 37(3): 519-524.
doi: 10.1007/s13344-023-0043-1
Abstract:
The degradation of the shear stress between pile-clay interface caused by undrained cyclic jacking affects the jacking force. A series of large displacement monotonic shear, cyclic shear and post-cyclic monotonic steel plate-clay interface shear tests were performed under the constant normal load (CNL) condition to investigate the effects of normal stress, cyclic amplitude, and number of cycles on a steel plate-clay interface using the GDS multi-function interface shear tester. Based on the experimental results, in monotonic shear tests, change of shear stress took place in the specimen, the shear stress rapidly reached the peak value at shear displacement of 1 mm, and then abruptly decreased to the residual value. In cyclic shear tests, accumulated displacement was a better parameter to describe the soil degradation characteristics, and the degradation degree of shear stress became greater with the increasing of normal stress and accumulated displacement. Shear stress in post-cyclic monotonic shear tests did not generate a peak value and was lower than that in monotonic shear tests under the same normal stress. The soil was completely disturbed and reached the residual strength when the cumulative displacement approached 6 m. An empirical equation to evaluate shear stress degradation mechanism was formulated and the procedure of parameter identification was presented.
The degradation of the shear stress between pile-clay interface caused by undrained cyclic jacking affects the jacking force. A series of large displacement monotonic shear, cyclic shear and post-cyclic monotonic steel plate-clay interface shear tests were performed under the constant normal load (CNL) condition to investigate the effects of normal stress, cyclic amplitude, and number of cycles on a steel plate-clay interface using the GDS multi-function interface shear tester. Based on the experimental results, in monotonic shear tests, change of shear stress took place in the specimen, the shear stress rapidly reached the peak value at shear displacement of 1 mm, and then abruptly decreased to the residual value. In cyclic shear tests, accumulated displacement was a better parameter to describe the soil degradation characteristics, and the degradation degree of shear stress became greater with the increasing of normal stress and accumulated displacement. Shear stress in post-cyclic monotonic shear tests did not generate a peak value and was lower than that in monotonic shear tests under the same normal stress. The soil was completely disturbed and reached the residual strength when the cumulative displacement approached 6 m. An empirical equation to evaluate shear stress degradation mechanism was formulated and the procedure of parameter identification was presented.
2023, 37(3): 525-532.
doi: 10.1007/s13344-023-0044-0
Abstract:
This paper presents failure mechanisms of the soil at the caisson-tip with fillet during suction-assisted penetration of suction caissons in undrained clay. Theoretical solutions of resistance factor Nc of the caisson-tip are obtained in terms of the caisson-tip geometry ratio of the flat section of the caisson-tip to the caisson wall thickness m/t and adhesion factors αi along inside of caisson wall and αb at the base of the caisson-tip. It is indicated that the factor Nc increases with the increase of m/t, αi and αb. The resistance factors Nc for the rough base (αb=1) are larger by 0.57 than that for the smooth base (αb=0). Besides, the factors Nc of caisson-tip with flat base (m=t) are larger by 1.14 than that with full internal fillet (m=0). The required suction to penetrate suction caissons with various fillets is obtained in terms of the force equilibrium in vertical direction. The finite element limit analysis and centrifuge model test results are used to verify the rationality of the presented failure mechanisms and theoretical predictions.
This paper presents failure mechanisms of the soil at the caisson-tip with fillet during suction-assisted penetration of suction caissons in undrained clay. Theoretical solutions of resistance factor Nc of the caisson-tip are obtained in terms of the caisson-tip geometry ratio of the flat section of the caisson-tip to the caisson wall thickness m/t and adhesion factors αi along inside of caisson wall and αb at the base of the caisson-tip. It is indicated that the factor Nc increases with the increase of m/t, αi and αb. The resistance factors Nc for the rough base (αb=1) are larger by 0.57 than that for the smooth base (αb=0). Besides, the factors Nc of caisson-tip with flat base (m=t) are larger by 1.14 than that with full internal fillet (m=0). The required suction to penetrate suction caissons with various fillets is obtained in terms of the force equilibrium in vertical direction. The finite element limit analysis and centrifuge model test results are used to verify the rationality of the presented failure mechanisms and theoretical predictions.
ScholarOne Manuscripts Log In
Current Issue
- Volume 39
- Issue 4
- September 2025
- Editor-in-Chief:
- Superintended by:
CHINA ASSOCIATION FOR SCIENCE AND TECHNOLOGY
- Sponsored by:
Chinese Ocean Engineering Society (COES)
- Edited by:
Nanjing Hydraulic Research Institute
Highlights
Stay up to Date

Article abstracts by RSS
E-mail Alerts