2023 Vol.37(4)
Display Mode: |
2023, 37(4): 533-546.
doi: 10.1007/s13344-023-0045-z
Abstract:
Deltas are densely populated industrialized regions, and home to important ports and navigation channels. Due to human interferences, the Yangtze Estuary has experienced a significant reduction in sediment load caused by the Three Gorges Dam (TGD), as well as adjustment to local morphodynamics by the Deep-water Navigation Channel (DNC). While the dramatic reduction in sediment triggers the increased channel erosion, the deposition flux of the DNC located at the estuary mouth has little change. To explore the physical mechanism of this phenomenon, a two-dimensional model is used to establish the relationship between sediment load and the sediment budget of channels based on the bathymetry in 2016. Model results show that the tidal reach and the inner estuary have a negative sediment budget. And the seasonal characteristics of water and sediment fluxes become less obvious downstream. Sensitivity analysis shows that the influence of upstream sediment load on deposition flux decreases along the channel, with a transition from deposition to erosion occurring in the tidal reach. For the last-level bifurcation, the annual siltation of sediment in the North Passage (NP) decreases by 4.5% with low sensitivity. This is attributed to the reduction of sediment load partially mitigated by riverbed erosion and cascade bifurcations. In addition, the lateral sediment supply, which accounts for 68% of the sediment input in the NP, is stable. Overall, this study strengthens the understanding of the relationship between sediment load and artificially deepened systems, thus allowing for better management of estuarine sediment and navigation channel.
Deltas are densely populated industrialized regions, and home to important ports and navigation channels. Due to human interferences, the Yangtze Estuary has experienced a significant reduction in sediment load caused by the Three Gorges Dam (TGD), as well as adjustment to local morphodynamics by the Deep-water Navigation Channel (DNC). While the dramatic reduction in sediment triggers the increased channel erosion, the deposition flux of the DNC located at the estuary mouth has little change. To explore the physical mechanism of this phenomenon, a two-dimensional model is used to establish the relationship between sediment load and the sediment budget of channels based on the bathymetry in 2016. Model results show that the tidal reach and the inner estuary have a negative sediment budget. And the seasonal characteristics of water and sediment fluxes become less obvious downstream. Sensitivity analysis shows that the influence of upstream sediment load on deposition flux decreases along the channel, with a transition from deposition to erosion occurring in the tidal reach. For the last-level bifurcation, the annual siltation of sediment in the North Passage (NP) decreases by 4.5% with low sensitivity. This is attributed to the reduction of sediment load partially mitigated by riverbed erosion and cascade bifurcations. In addition, the lateral sediment supply, which accounts for 68% of the sediment input in the NP, is stable. Overall, this study strengthens the understanding of the relationship between sediment load and artificially deepened systems, thus allowing for better management of estuarine sediment and navigation channel.
2023, 37(4): 547-557.
doi: 10.1007/s13344-023-0046-y
Abstract:
Fluid resonance in moonpool formed by twin boxes under wave actions is investigated by using a viscous numerical wave flume with ReNormalization Group (RNG) turbulent model. The accuracy of the numerical model is validated by available experimental data. Three types of edge profiles, the sharp edge, concave edge and convex edge are considered. Numerical simulations show that the normalized resonant amplitude in moonpool decreases with the decrease of moonpool opening or increase of incident wave amplitude. The increased reflection coefficients are the major reason for the phenomena, implying less wave energy is able to support the wave resonance in moonpool. With the increase of incident wave height, the energy coefficients increase for convex edges around resonant frequency, which are oppositely with those of sharp and concave edges. Various flow patterns of the wave resonance in the vicinity of the moonpool entrance are also identified, which are mainly dependent on the edge profiles.
Fluid resonance in moonpool formed by twin boxes under wave actions is investigated by using a viscous numerical wave flume with ReNormalization Group (RNG) turbulent model. The accuracy of the numerical model is validated by available experimental data. Three types of edge profiles, the sharp edge, concave edge and convex edge are considered. Numerical simulations show that the normalized resonant amplitude in moonpool decreases with the decrease of moonpool opening or increase of incident wave amplitude. The increased reflection coefficients are the major reason for the phenomena, implying less wave energy is able to support the wave resonance in moonpool. With the increase of incident wave height, the energy coefficients increase for convex edges around resonant frequency, which are oppositely with those of sharp and concave edges. Various flow patterns of the wave resonance in the vicinity of the moonpool entrance are also identified, which are mainly dependent on the edge profiles.
2023, 37(4): 558-567.
doi: 10.1007/s13344-023-0047-x
Abstract:
This study examines the stability regimes of three-dimensional interfacial gravity waves. The numerical results of the linear stability analysis extend the three-dimensional surface waves results of Ioualalen and Kharif (1994) to three-dimensional interfacial waves. An approach of the collocation type has been developed for this purpose. The equations of motion are reduced to an eigenvalue problem where the perturbations are spectrally decomposed into normal modes. The results obtained showed that the density ratio plays a stabilizing factor. In addition, the dominant instability is of three-dimensional structure, and it belongs to class I for all values of density ratio.
This study examines the stability regimes of three-dimensional interfacial gravity waves. The numerical results of the linear stability analysis extend the three-dimensional surface waves results of Ioualalen and Kharif (1994) to three-dimensional interfacial waves. An approach of the collocation type has been developed for this purpose. The equations of motion are reduced to an eigenvalue problem where the perturbations are spectrally decomposed into normal modes. The results obtained showed that the density ratio plays a stabilizing factor. In addition, the dominant instability is of three-dimensional structure, and it belongs to class I for all values of density ratio.
2023, 37(4): 568-579.
doi: 10.1007/s13344-023-0048-9
Abstract:
Compliant vertical access risers (CVAR) have broad application prospects in deep-water oil and gas transportation. However, the mechanical behaviors of the CVAR with a variable length during installation remains unclear. To address this issue, based on the flexible segment method, a model of CVAR with a variable length during installation is established in this study, which is verified by the comparison with commercial software. Then, the mechanical behaviors of CVAR during installation are investigated. The results reveal that the CVAR configuration is significantly affected by the buoyancy blocks. The streamwise displacement of CVAR increases with the increase of current velocity. When the BOP weight is insuffcient, obvious upbending is observed in the lower region and transition region, leading to local compression. When the platform moves in the opposite direction to the current, the maximum stress is larger than that of the scenario when the platform moves in the same direction as the current.
Compliant vertical access risers (CVAR) have broad application prospects in deep-water oil and gas transportation. However, the mechanical behaviors of the CVAR with a variable length during installation remains unclear. To address this issue, based on the flexible segment method, a model of CVAR with a variable length during installation is established in this study, which is verified by the comparison with commercial software. Then, the mechanical behaviors of CVAR during installation are investigated. The results reveal that the CVAR configuration is significantly affected by the buoyancy blocks. The streamwise displacement of CVAR increases with the increase of current velocity. When the BOP weight is insuffcient, obvious upbending is observed in the lower region and transition region, leading to local compression. When the platform moves in the opposite direction to the current, the maximum stress is larger than that of the scenario when the platform moves in the same direction as the current.
2023, 37(4): 580-587.
doi: 10.1007/s13344-023-0049-8
Abstract:
Vessels with semi-closed tanks (i.e., well docks) are widely applied in the military operation and maritime engineering. The water is bound by the semi-closed floating tank and forced by both the incident waves and ship’s motions. The free surface oscillations inside the flooded well dock is thus distinctive and very complicated. So far, the natural modes of semi-closed floating tanks have not yet been studied. This paper investigates the characteristics of natural modes of a floating semi-closed tank by combining a mode-resolving model based on mild-slope equations and a hydrodynamic model based on computational fluid dynamics. Results show that the first three natural periods (i.e., 74, 23.6, and 14 s) of the tank fall into the band of swell and infragravity waves and they could be triggered under certain circumstance. Multi-period free surface oscillations are observed inside the tank, including the longest natural period (i.e., 74 s), though the incident waves are monochromatic. A possible generation mechanism for the long-period mode is explained on the basis of liquid sloshing and harbor oscillations. Moreover, a long-period component with a period close to the natural mode of well dock is observed in the ship motions, which is generated by the interaction between the waves and ship.
Vessels with semi-closed tanks (i.e., well docks) are widely applied in the military operation and maritime engineering. The water is bound by the semi-closed floating tank and forced by both the incident waves and ship’s motions. The free surface oscillations inside the flooded well dock is thus distinctive and very complicated. So far, the natural modes of semi-closed floating tanks have not yet been studied. This paper investigates the characteristics of natural modes of a floating semi-closed tank by combining a mode-resolving model based on mild-slope equations and a hydrodynamic model based on computational fluid dynamics. Results show that the first three natural periods (i.e., 74, 23.6, and 14 s) of the tank fall into the band of swell and infragravity waves and they could be triggered under certain circumstance. Multi-period free surface oscillations are observed inside the tank, including the longest natural period (i.e., 74 s), though the incident waves are monochromatic. A possible generation mechanism for the long-period mode is explained on the basis of liquid sloshing and harbor oscillations. Moreover, a long-period component with a period close to the natural mode of well dock is observed in the ship motions, which is generated by the interaction between the waves and ship.
2023, 37(4): 588-597.
doi: 10.1007/s13344-023-0050-2
Abstract:
This paper reports an experimental study of the mechanical response to tensile and compressive force of large scale steel to composite joints adhesively bonded with a thin layer of vinylester resin. In one specimen, the length of the reinforcing fibres in contact with the steel substrate has been reduced by saw cutting at both ends of the joint. This damaged specimen and four intact specimens were subjected to quasi-static tensile testing; six specimens were used for compression testing. The strain distribution at the composite surface and at the steel to hardwood connection of the specimen was monitored by digital image correlation (DIC). DIC allowed identifying the onset of damage in the tensile tested joints near the interface of the composite layer and the steel-hardwood connection. Both tensile and compression tested specimens failed due to significant peel strain concentration at the composite near the connection of steel and hardwood. The average strength of a specimen tested in compression was about 66% higher than the average strength of a specimen tested in tension. The strain concentration zone in the damaged specimen was away from the introduced saw cuts. As a result the damaged and intact tensile specimens showed the same failure strength and stiffness. All specimens failed by adhesive failure between the composite-hardwood interface.
This paper reports an experimental study of the mechanical response to tensile and compressive force of large scale steel to composite joints adhesively bonded with a thin layer of vinylester resin. In one specimen, the length of the reinforcing fibres in contact with the steel substrate has been reduced by saw cutting at both ends of the joint. This damaged specimen and four intact specimens were subjected to quasi-static tensile testing; six specimens were used for compression testing. The strain distribution at the composite surface and at the steel to hardwood connection of the specimen was monitored by digital image correlation (DIC). DIC allowed identifying the onset of damage in the tensile tested joints near the interface of the composite layer and the steel-hardwood connection. Both tensile and compression tested specimens failed due to significant peel strain concentration at the composite near the connection of steel and hardwood. The average strength of a specimen tested in compression was about 66% higher than the average strength of a specimen tested in tension. The strain concentration zone in the damaged specimen was away from the introduced saw cuts. As a result the damaged and intact tensile specimens showed the same failure strength and stiffness. All specimens failed by adhesive failure between the composite-hardwood interface.
2023, 37(4): 598-612.
doi: 10.1007/s13344-023-0051-1
Abstract:
The interaction between axially adjacent defects is more significant than that between circumferentially aligned defects. However, the existing failure pressure assessment methods cannot accurately predict the failure pressure of axial adjacent defects. In the paper, the finite element model is adopted to analyze the influence of defect size, distribution mode and spacing between adjacent defects on failure pressure. A new failure pressure evaluation method is proposed by establishing the effective depth calculation model of corrosion colony with different distribution model. The burst test of X52 pipeline is carried out to verify the applicability of the method. It shows that the results of new method are consistent with the test results of pipeline with various defects and steel grades.
The interaction between axially adjacent defects is more significant than that between circumferentially aligned defects. However, the existing failure pressure assessment methods cannot accurately predict the failure pressure of axial adjacent defects. In the paper, the finite element model is adopted to analyze the influence of defect size, distribution mode and spacing between adjacent defects on failure pressure. A new failure pressure evaluation method is proposed by establishing the effective depth calculation model of corrosion colony with different distribution model. The burst test of X52 pipeline is carried out to verify the applicability of the method. It shows that the results of new method are consistent with the test results of pipeline with various defects and steel grades.
2023, 37(4): 613-627.
doi: 10.1007/s13344-023-0052-0
Abstract:
Tubular members subject to combined pitting corrosion and crack damage were numerically studied to clarify the reduction of ultimate strength and failure behavior, based on numerical models validated against available experiments. The effects of length, location and inclined angle of a crack under combined damage were studied to disclose the mechanism of interaction between the crack and corrosion pits. The methods, named as linear superposition directly accumulating the effects of solo crack and solo pitting damage, as well as crack projection transferring an inclined crack to a transverse one, were discussed and verified in the view of assessing ultimate strength of tubular members with combined damage. It was shown that the former is practical but complex while the next always overestimates the residual strength. Besides, the location and inclined angle of a crack have a subtle effect on the reduction of ultimate strength under combined damage, especially at higher level of pitting damage, due to the synergistic effect between corrosion pits and cracks. Such effect can lead to early occurrence of plasticity and local buckling by inducing stress interaction between crack tips and pits, and causing more significant strength reduction compared with a solo type of damage. A practical method was proposed to determine the loss ratio of cross-sectional area on the equivalent weakest section of a damaged member. Based on the loss ratio, a formula was presented to predict the ultimate strength of damaged members with combined damage, showing good applicability.
Tubular members subject to combined pitting corrosion and crack damage were numerically studied to clarify the reduction of ultimate strength and failure behavior, based on numerical models validated against available experiments. The effects of length, location and inclined angle of a crack under combined damage were studied to disclose the mechanism of interaction between the crack and corrosion pits. The methods, named as linear superposition directly accumulating the effects of solo crack and solo pitting damage, as well as crack projection transferring an inclined crack to a transverse one, were discussed and verified in the view of assessing ultimate strength of tubular members with combined damage. It was shown that the former is practical but complex while the next always overestimates the residual strength. Besides, the location and inclined angle of a crack have a subtle effect on the reduction of ultimate strength under combined damage, especially at higher level of pitting damage, due to the synergistic effect between corrosion pits and cracks. Such effect can lead to early occurrence of plasticity and local buckling by inducing stress interaction between crack tips and pits, and causing more significant strength reduction compared with a solo type of damage. A practical method was proposed to determine the loss ratio of cross-sectional area on the equivalent weakest section of a damaged member. Based on the loss ratio, a formula was presented to predict the ultimate strength of damaged members with combined damage, showing good applicability.
2023, 37(4): 628-636.
doi: 10.1007/s13344-023-0053-z
Abstract:
Aiming at the requirement of autonomous navigation capability of the underwater unmanned vehicle (UUV), a novel bionic method for underwater navigation based on polarization pattern within Snell’s window is proposed. Inspired by creatures, polarization navigation is a satellite-free navigation scheme and has great potential to be used in the water. However, because of the complex underwater environment, whether UUV polarization navigation can be realized is doubtful. To illustrate the feasibility of underwater polarization navigation, we firstly establish the model of underwater polarization patterns to prove the stability and predictability of the underwater polarization pattern within Snell’s window. Then, we carry out static and dynamic experiments of underwater heading determination based on developed polarization information detection equipment. Finally, we obtain underwater polarization patterns and conduct the tracking experiment at different water depths. The experimental results of the underwater polarization patterns are consistent with the simulation, which proves the correctness of the proposed model. At the water depth of 5 m, the average angle and position error of the tracking experiment are 14.3508° and 4.0812 m, respectively. It is illustrated that underwater polarization navigation is realizable and the precision can meet the real-time navigation requirements of UUV. This study promotes the improvement of underwater navigation ability and the development of marine equipment.
Aiming at the requirement of autonomous navigation capability of the underwater unmanned vehicle (UUV), a novel bionic method for underwater navigation based on polarization pattern within Snell’s window is proposed. Inspired by creatures, polarization navigation is a satellite-free navigation scheme and has great potential to be used in the water. However, because of the complex underwater environment, whether UUV polarization navigation can be realized is doubtful. To illustrate the feasibility of underwater polarization navigation, we firstly establish the model of underwater polarization patterns to prove the stability and predictability of the underwater polarization pattern within Snell’s window. Then, we carry out static and dynamic experiments of underwater heading determination based on developed polarization information detection equipment. Finally, we obtain underwater polarization patterns and conduct the tracking experiment at different water depths. The experimental results of the underwater polarization patterns are consistent with the simulation, which proves the correctness of the proposed model. At the water depth of 5 m, the average angle and position error of the tracking experiment are 14.3508° and 4.0812 m, respectively. It is illustrated that underwater polarization navigation is realizable and the precision can meet the real-time navigation requirements of UUV. This study promotes the improvement of underwater navigation ability and the development of marine equipment.
2023, 37(4): 637-644.
doi: 10.1007/s13344-023-0054-y
Abstract:
The recoil response of a deep-water drilling riser following an ED (Emergency Disconnection) scenario is a transient and sensitive process. The recoiling displacement of the riser is the resultant of recoil motion and axial stretch. However, it is typically represented by one variable in recoil simulations. As axial deformation is quite small compared with axial motion in the recoil process, it inevitably introduces numerical errors (i.e., a large number annihilating a small number). Thus, it is hard to perform a quantitative analysis of axial deformation, although a consensus initial deformation is essential for recoil dynamics. Moreover, the triggered axial natural modes have never been examined before. In this study, the recoil response is decomposed into two parts: recoil motion and axial deformation, and a novel model is developed by Galerkin method. It has demonstrated that the initial stretch has a significant effect at the initial stage in recoil. The existing models underestimate the effects of axial deformation. The new model can capture information of triggered natural modes and figure out the modes undergoing dynamic compression. This study can be beneficial to overpull setting, determination of ED time and anti-recoil control optimization.
The recoil response of a deep-water drilling riser following an ED (Emergency Disconnection) scenario is a transient and sensitive process. The recoiling displacement of the riser is the resultant of recoil motion and axial stretch. However, it is typically represented by one variable in recoil simulations. As axial deformation is quite small compared with axial motion in the recoil process, it inevitably introduces numerical errors (i.e., a large number annihilating a small number). Thus, it is hard to perform a quantitative analysis of axial deformation, although a consensus initial deformation is essential for recoil dynamics. Moreover, the triggered axial natural modes have never been examined before. In this study, the recoil response is decomposed into two parts: recoil motion and axial deformation, and a novel model is developed by Galerkin method. It has demonstrated that the initial stretch has a significant effect at the initial stage in recoil. The existing models underestimate the effects of axial deformation. The new model can capture information of triggered natural modes and figure out the modes undergoing dynamic compression. This study can be beneficial to overpull setting, determination of ED time and anti-recoil control optimization.
2023, 37(4): 645-659.
doi: 10.1007/s13344-023-0055-x
Abstract:
A numerical simulation method based on CFD has been established to simulate the fully coupled motion for an attenuator-type wave energy converter (WEC). Based on this method, a detailed parametric analysis has been conducted to investigate the design of the rafts. The effects of different parameters (wave parameters, structural parameters and PTO parameters) on the hydrodynamic characteristics of the attenuator-type WEC were studied in detail. The results show that in terms of wave parameters, there is an optimal wave period, which makes the relative pitching angle amplitude of the WEC reach the maximum, and the increase of wave height is conducive to the relative pitching angle amplitude of wave energy. Under different wave conditions, the relative pitch angle of the parallelogram raft device is the maximum. In terms of structural parameters, the parallelogram attenuator-type device has the optimal values in different relative directions, different distances and different apex angle, which makes the relative motion amplitude of the device reach the maximum, and the spacing and the apex angle have influence on the motion frequency of the device, while the relative direction has almost no influence on it. In terms of PTO parameters, there is an optimal damping coefficient, which makes the power generation efficiency of the WEC reach the maximum. The research results provide a valuable reference for future research and design of the attenuator-type WEC.
A numerical simulation method based on CFD has been established to simulate the fully coupled motion for an attenuator-type wave energy converter (WEC). Based on this method, a detailed parametric analysis has been conducted to investigate the design of the rafts. The effects of different parameters (wave parameters, structural parameters and PTO parameters) on the hydrodynamic characteristics of the attenuator-type WEC were studied in detail. The results show that in terms of wave parameters, there is an optimal wave period, which makes the relative pitching angle amplitude of the WEC reach the maximum, and the increase of wave height is conducive to the relative pitching angle amplitude of wave energy. Under different wave conditions, the relative pitch angle of the parallelogram raft device is the maximum. In terms of structural parameters, the parallelogram attenuator-type device has the optimal values in different relative directions, different distances and different apex angle, which makes the relative motion amplitude of the device reach the maximum, and the spacing and the apex angle have influence on the motion frequency of the device, while the relative direction has almost no influence on it. In terms of PTO parameters, there is an optimal damping coefficient, which makes the power generation efficiency of the WEC reach the maximum. The research results provide a valuable reference for future research and design of the attenuator-type WEC.
2023, 37(4): 660-672.
doi: 10.1007/s13344-023-0056-9
Abstract:
In this study, the frequency characteristics of the turbulent wind and the effects of wind-wave coupling on the low- and high-frequency responses of semi-submersible floating offshore wind turbines (FOWT) are investigated. Various wave load components, such as first-order wave loads, combined first- and second-order difference-frequency wave loads, combined first- and second-order sum-frequency wave loads, and first- and complete second-order wave loads are taken into consideration, while different turbulent environments are considered in aerodynamic loads. The comparison is based on time histories and frequency spectra of platform motions and structural load responses and statistical values. The findings indicate that the second-order difference-frequency wave loads will significantly increase the natural frequency of low-frequency motion in the responses of the platform motion and structure load of the semi-submersible platform, which will cause structural fatigue damage. Under the action of turbulent wind, the influences of second-order wave loads on the platform motion and structural load response cannot be ignored, especially under extreme sea conditions. Therefore, in order to evaluate the dynamic responses of semi-submersible FOWT more accurately, the actual environment should be simulated more realistically.
In this study, the frequency characteristics of the turbulent wind and the effects of wind-wave coupling on the low- and high-frequency responses of semi-submersible floating offshore wind turbines (FOWT) are investigated. Various wave load components, such as first-order wave loads, combined first- and second-order difference-frequency wave loads, combined first- and second-order sum-frequency wave loads, and first- and complete second-order wave loads are taken into consideration, while different turbulent environments are considered in aerodynamic loads. The comparison is based on time histories and frequency spectra of platform motions and structural load responses and statistical values. The findings indicate that the second-order difference-frequency wave loads will significantly increase the natural frequency of low-frequency motion in the responses of the platform motion and structure load of the semi-submersible platform, which will cause structural fatigue damage. Under the action of turbulent wind, the influences of second-order wave loads on the platform motion and structural load response cannot be ignored, especially under extreme sea conditions. Therefore, in order to evaluate the dynamic responses of semi-submersible FOWT more accurately, the actual environment should be simulated more realistically.
2023, 37(4): 673-684.
doi: 10.1007/s13344-023-0058-7
Abstract:
A partition model of interference efficiency was constructed to study the coupling interference effect under combined internal and external flow. The concept of “internal flow efficiency”, “velocity ratio” and “interference efficiency” were introduced to quantify the effect of internal flow and interference, and reveal the coupling mechanism among internal flow, external flow and interference effect. The results showed that the dynamic response of risers under variable angles was significantly different after considering the effect of internal flow. When the external flow velocity was smaller than 0.25 m/s, the vibration of risers was promoted by the internal flow. With the increase of external flow velocity, the effect of internal flow was weakened and the dynamic response of riser mainly depended on the external flow and interference effect. Under the effect of different internal flow, the interference efficiency had similar change trend. The interference effect amplified the complex secondary flow effect inside the riser, making the dynamic response of riser complex and random. In this paper, the overlap area and subdivision criterion of interference effect were constructed within the range of experimental velocity ratio, and the change curve of interference efficiency was obtained with an average meaning, which may have important practical meaning.
A partition model of interference efficiency was constructed to study the coupling interference effect under combined internal and external flow. The concept of “internal flow efficiency”, “velocity ratio” and “interference efficiency” were introduced to quantify the effect of internal flow and interference, and reveal the coupling mechanism among internal flow, external flow and interference effect. The results showed that the dynamic response of risers under variable angles was significantly different after considering the effect of internal flow. When the external flow velocity was smaller than 0.25 m/s, the vibration of risers was promoted by the internal flow. With the increase of external flow velocity, the effect of internal flow was weakened and the dynamic response of riser mainly depended on the external flow and interference effect. Under the effect of different internal flow, the interference efficiency had similar change trend. The interference effect amplified the complex secondary flow effect inside the riser, making the dynamic response of riser complex and random. In this paper, the overlap area and subdivision criterion of interference effect were constructed within the range of experimental velocity ratio, and the change curve of interference efficiency was obtained with an average meaning, which may have important practical meaning.
2023, 37(4): 685-697.
doi: 10.1007/s13344-023-0057-8
Abstract:
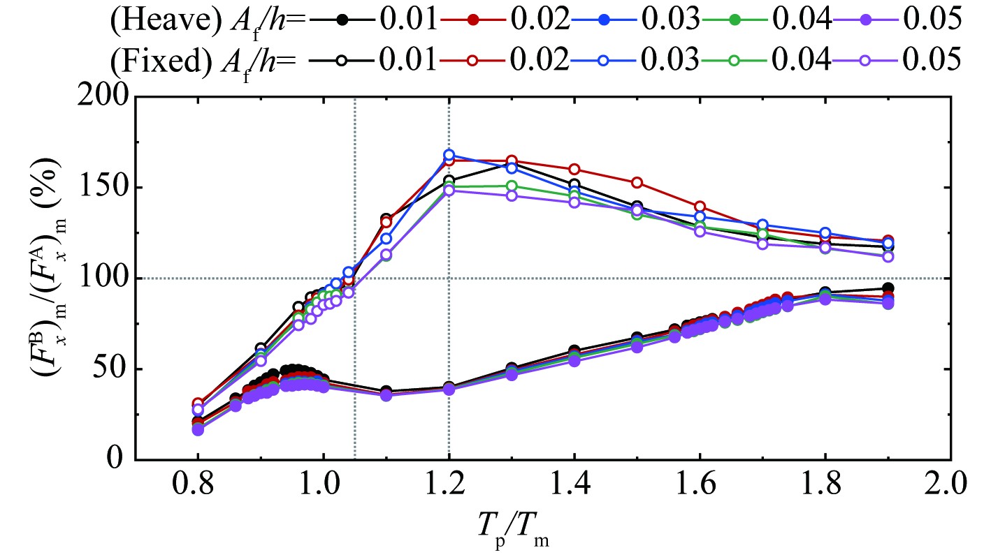
The current study investigates the hydrodynamic characteristics of gap resonance within a narrow gap formed by two adjacent boxes subjected to incident focused transient wave groups. A two-dimensional (2D) numerical wave tank based on the OpenFOAM package is utilized for this purpose. The weather-side box is fixed while the lee-side box is allowed to heave freely under wave actions. The effects of the focused wave amplitude and spectral peak period on the wave amplification within the gap, motion of the lee-side box, and wave forces (including horizontal and vertical wave forces) acting on each box are systematically examined. For comparison, another structural layout consisting of two fixed boxes is also considered. The results reveal that the release of the heave degree of freedom (DoF) of the lee-side box results in remarkably distinct resonance features. In the heave-box system, both its fluid resonant period and the period corresponding to the maximum heave displacement of the lee-side box are significantly larger (i.e., 1.6−1.7 times) than the fluid resonant period of the fixed-box system. However, the wave amplification factor inside the gap in the heave-box system is significantly lower than that in the fixed-box one. Both the variations of the maximum horizontal and vertical wave forces with the spectral peak period and their magnitudes are also significantly different between the two structural systems.
The current study investigates the hydrodynamic characteristics of gap resonance within a narrow gap formed by two adjacent boxes subjected to incident focused transient wave groups. A two-dimensional (2D) numerical wave tank based on the OpenFOAM package is utilized for this purpose. The weather-side box is fixed while the lee-side box is allowed to heave freely under wave actions. The effects of the focused wave amplitude and spectral peak period on the wave amplification within the gap, motion of the lee-side box, and wave forces (including horizontal and vertical wave forces) acting on each box are systematically examined. For comparison, another structural layout consisting of two fixed boxes is also considered. The results reveal that the release of the heave degree of freedom (DoF) of the lee-side box results in remarkably distinct resonance features. In the heave-box system, both its fluid resonant period and the period corresponding to the maximum heave displacement of the lee-side box are significantly larger (i.e., 1.6−1.7 times) than the fluid resonant period of the fixed-box system. However, the wave amplification factor inside the gap in the heave-box system is significantly lower than that in the fixed-box one. Both the variations of the maximum horizontal and vertical wave forces with the spectral peak period and their magnitudes are also significantly different between the two structural systems.
2023, 37(4): 698-708.
doi: 10.1007/s13344-023-0059-6
Abstract:
The scientific development of wind energy based on local conditions is conducive to the urgent energy demand and environmental protection of Antarctic region. In this study, the ERA5 reanalysis data are used to evaluate the wind energy resources in the Antarctic region. A series of key indicators, such as wind power density, effective wind speed occurrence, energy level occurrence and stability, are comprehensively considered by using climate statistical analysis methods to analyze the temporal and spatial distribution characteristics of Antarctic wind energy resources. The results show that the Antarctic region contains abundant wind energy resources, which benefits the construction of scientific research stations. The superior areas are the Southern Ocean and the coast of the East Antarctica, followed by the Transantarctic Mountains, the coast of the Bellingshausen Sea and Amundsen Sea. These areas have advantages in terms of wind power density (500−2500 W/m2), effective wind speed occurrence (80%−90%), energy level occurrence (60%−90%) and stability (Cv: 0.6−1, Mv: 1.2−1.8, Sv: 0.8−1.2). The Antarctic’s wind energy resources in wind power density, effective wind speed occurrence and energy level occurrence in autumn and winter are better than those in summer, while the coefficient of variation in summer is worse than that in autumn and winter.
The scientific development of wind energy based on local conditions is conducive to the urgent energy demand and environmental protection of Antarctic region. In this study, the ERA5 reanalysis data are used to evaluate the wind energy resources in the Antarctic region. A series of key indicators, such as wind power density, effective wind speed occurrence, energy level occurrence and stability, are comprehensively considered by using climate statistical analysis methods to analyze the temporal and spatial distribution characteristics of Antarctic wind energy resources. The results show that the Antarctic region contains abundant wind energy resources, which benefits the construction of scientific research stations. The superior areas are the Southern Ocean and the coast of the East Antarctica, followed by the Transantarctic Mountains, the coast of the Bellingshausen Sea and Amundsen Sea. These areas have advantages in terms of wind power density (500−2500 W/m2), effective wind speed occurrence (80%−90%), energy level occurrence (60%−90%) and stability (Cv: 0.6−1, Mv: 1.2−1.8, Sv: 0.8−1.2). The Antarctic’s wind energy resources in wind power density, effective wind speed occurrence and energy level occurrence in autumn and winter are better than those in summer, while the coefficient of variation in summer is worse than that in autumn and winter.
ScholarOne Manuscripts Log In
Current Issue

- Volume 39
- Issue 4
- September 2025
- Editor-in-Chief:
- Superintended by:
CHINA ASSOCIATION FOR SCIENCE AND TECHNOLOGY
- Sponsored by:
Chinese Ocean Engineering Society (COES)
- Edited by:
Nanjing Hydraulic Research Institute
Highlights
Stay up to Date
