2024 Vol.38(1)
column
Display Mode: |
2024, 38(1): 1-17.
doi: 10.1007/s13344-024-0001-6
Abstract:
The water-drop-shaped pressure hull has a good streamline, which has good application prospect in the underwater observatory. Therefore, this study conducted analytical, experimental and numerical investigation of the buckling properties of water-drop-shaped pressure hulls under hydrostatic pressure. A water-drop experiment was conducted to design water-drop-shaped pressure hulls with various shape indices. The critical loads for the water-drop-shaped pressure hulls were resolved by using Mushtari’s formula. Several numerical simulations including linear buckling analysis and nonlinear buckling analysis including eigenmode imperfections were performed. The results indicated that the critical loads resolved by Mushtari's formula were in good agreement with the linear buckling loads from the numerical simulations. This formula can be extended to estimate the buckling capacity of water-drop-shaped pressure hulls. In addition, three groups of pressure hulls were fabricated by using stereolithography, a rapid prototyping technique. Subsequently, three groups of the pressure hulls were subjected to ultrasonic measurements, optical scanning, hydrostatic testing and numerical analysis. The experimental results were consistent with the numerical results. The results indicate that the sharp end of the water-drop-shaped pressure hulls exhibited instability compared with the blunt end. This paper provides a new solution to the limitations of experimental studies on the water-drop-shaped pressure hulls as well as a new configuration and evaluation method for underwater observatories.
The water-drop-shaped pressure hull has a good streamline, which has good application prospect in the underwater observatory. Therefore, this study conducted analytical, experimental and numerical investigation of the buckling properties of water-drop-shaped pressure hulls under hydrostatic pressure. A water-drop experiment was conducted to design water-drop-shaped pressure hulls with various shape indices. The critical loads for the water-drop-shaped pressure hulls were resolved by using Mushtari’s formula. Several numerical simulations including linear buckling analysis and nonlinear buckling analysis including eigenmode imperfections were performed. The results indicated that the critical loads resolved by Mushtari's formula were in good agreement with the linear buckling loads from the numerical simulations. This formula can be extended to estimate the buckling capacity of water-drop-shaped pressure hulls. In addition, three groups of pressure hulls were fabricated by using stereolithography, a rapid prototyping technique. Subsequently, three groups of the pressure hulls were subjected to ultrasonic measurements, optical scanning, hydrostatic testing and numerical analysis. The experimental results were consistent with the numerical results. The results indicate that the sharp end of the water-drop-shaped pressure hulls exhibited instability compared with the blunt end. This paper provides a new solution to the limitations of experimental studies on the water-drop-shaped pressure hulls as well as a new configuration and evaluation method for underwater observatories.
2024, 38(1): 18-28.
doi: 10.1007/s13344-024-0002-5
Abstract:
A vortex-induced vibration (VIV) experiment of rough risers with coupling interference effect under a side-by-side arrangement was carried out in a wave-current combined flume. The roughness of the riser was characterized by arranging different specifications of surface attachments on the surface of the riser. Rough risers with three different roughnesses were arranged side by side with smooth risers to explore the VIV response of the riser under the combined action of roughness and interference effect, and to reveal the coupling mechanism between roughness and interference effect. The experimental results show that, compared with that of a smooth riser, the VIV of a rough riser under the coupling interference effect has a wider "lock-in" region, and the displacement decreases more significantly at a high reduced velocity, which is more likely to excite higher-order modes and frequency responses. In addition, the displacement response and frequency response of the smooth riser are not significantly affected by wake interference from the rough riser, which is caused by the decrease of the wake region due to the delay of the boundary layer separation point of the rough riser.
A vortex-induced vibration (VIV) experiment of rough risers with coupling interference effect under a side-by-side arrangement was carried out in a wave-current combined flume. The roughness of the riser was characterized by arranging different specifications of surface attachments on the surface of the riser. Rough risers with three different roughnesses were arranged side by side with smooth risers to explore the VIV response of the riser under the combined action of roughness and interference effect, and to reveal the coupling mechanism between roughness and interference effect. The experimental results show that, compared with that of a smooth riser, the VIV of a rough riser under the coupling interference effect has a wider "lock-in" region, and the displacement decreases more significantly at a high reduced velocity, which is more likely to excite higher-order modes and frequency responses. In addition, the displacement response and frequency response of the smooth riser are not significantly affected by wake interference from the rough riser, which is caused by the decrease of the wake region due to the delay of the boundary layer separation point of the rough riser.
2024, 38(1): 29-41.
doi: 10.1007/s13344-024-0003-4
Abstract:
The safety of risers in hang-off states is a vital challenge in offshore oil and gas engineering. A new hang-off system installed on top of risers is proposed for improving the security of risers. This approach leads to a challenging problem: coupling the dynamics of risers with a new hang-off system combined with multiple structures and complex constraints. To accurately analyze the dynamic responses of the coupled system, a coupled dynamic model is established based on the Euler−Bernoulli beam-column theory and penalty function method. A comprehensive analysis method is proposed for coupled dynamic analysis by combining the finite element method and the Newmark β method. An analysis program is also developed in MATLAB for dynamic simulation. The simulation results show that the dynamic performances of the risers at the top part are significantly improved by the new hang-off system, especially the novel design, which includes the centralizer and articulation joint. The bending moment and lateral deformation of the risers at the top part decrease, while the hang-off joint experiences a great bending moment at the bottom of the lateral restraint area which requires particular attention in design and application. The platform navigation speed range under the safety limits of risers expands with the new hang-off system in use.
The safety of risers in hang-off states is a vital challenge in offshore oil and gas engineering. A new hang-off system installed on top of risers is proposed for improving the security of risers. This approach leads to a challenging problem: coupling the dynamics of risers with a new hang-off system combined with multiple structures and complex constraints. To accurately analyze the dynamic responses of the coupled system, a coupled dynamic model is established based on the Euler−Bernoulli beam-column theory and penalty function method. A comprehensive analysis method is proposed for coupled dynamic analysis by combining the finite element method and the Newmark β method. An analysis program is also developed in MATLAB for dynamic simulation. The simulation results show that the dynamic performances of the risers at the top part are significantly improved by the new hang-off system, especially the novel design, which includes the centralizer and articulation joint. The bending moment and lateral deformation of the risers at the top part decrease, while the hang-off joint experiences a great bending moment at the bottom of the lateral restraint area which requires particular attention in design and application. The platform navigation speed range under the safety limits of risers expands with the new hang-off system in use.
2024, 38(1): 42-53.
doi: 10.1007/s13344-024-0004-3
Abstract:
Deepsea mining has been proposed since the 1960s to alleviate the lack of resources on land. Vertical hydraulic transport of collected ores from the seabed to the sea surface is considered the most promising method for industrial applications. In the present study, an indoor model test of the vertical hydraulic transport of particles was conducted. A noncontact optical method has been proposed to measure the local characteristics of the particles inside a vertical pipe, including the local concentration and particle velocity. The hydraulic gradient of ore transport was evaluated with various particle size distributions, particle densities, feeding concentrations and mixture flow velocities. During transport, the local concentration is larger than the feeding concentration, whereas the particle velocity is less than the mixture velocity. The qualitative effects of the local concentration and local fluid velocity on the particle velocity and slip velocity were investigated. The local fluid velocity contributes significantly to particle velocity and slip velocity, whereas the effect of the local concentration is marginal. A higher feeding concentration and mixture flow velocity result in an increased hydraulic gradient. The effect of the particle size gradation is slight, whereas the particle density plays a crucial role in the transport.
Deepsea mining has been proposed since the 1960s to alleviate the lack of resources on land. Vertical hydraulic transport of collected ores from the seabed to the sea surface is considered the most promising method for industrial applications. In the present study, an indoor model test of the vertical hydraulic transport of particles was conducted. A noncontact optical method has been proposed to measure the local characteristics of the particles inside a vertical pipe, including the local concentration and particle velocity. The hydraulic gradient of ore transport was evaluated with various particle size distributions, particle densities, feeding concentrations and mixture flow velocities. During transport, the local concentration is larger than the feeding concentration, whereas the particle velocity is less than the mixture velocity. The qualitative effects of the local concentration and local fluid velocity on the particle velocity and slip velocity were investigated. The local fluid velocity contributes significantly to particle velocity and slip velocity, whereas the effect of the local concentration is marginal. A higher feeding concentration and mixture flow velocity result in an increased hydraulic gradient. The effect of the particle size gradation is slight, whereas the particle density plays a crucial role in the transport.
2024, 38(1): 54-67.
doi: 10.1007/s13344-024-0005-2
Abstract:
This paper investigates the hydrodynamic characteristics of floating truncated cylinders undergoing horizontal and vertical motions due to earthquake excitations in the finite water depth. The governing equation of the hydrodynamic pressure acting on the cylinder is derived based on the radiation theory with the inviscid and incompressible assumptions. The governing equation is solved by using the method of separating variables and analytical solutions are obtained by assigning reasonable boundary conditions. The analytical result is validated by a numerical model using the exact artificial boundary simulation of the infinite water. The main variation and distribution characteristics of the hydrodynamic pressure acting on the side and bottom of the cylinder are analyzed for different combinations of wide-height and immersion ratios. The added mass coefficient of the cylinder is calculated by integrating the hydrodynamic pressure and simplified formulas are proposed for engineering applications. The calculation results show that the simplified formulas are in good agreement with the analytical solutions.
This paper investigates the hydrodynamic characteristics of floating truncated cylinders undergoing horizontal and vertical motions due to earthquake excitations in the finite water depth. The governing equation of the hydrodynamic pressure acting on the cylinder is derived based on the radiation theory with the inviscid and incompressible assumptions. The governing equation is solved by using the method of separating variables and analytical solutions are obtained by assigning reasonable boundary conditions. The analytical result is validated by a numerical model using the exact artificial boundary simulation of the infinite water. The main variation and distribution characteristics of the hydrodynamic pressure acting on the side and bottom of the cylinder are analyzed for different combinations of wide-height and immersion ratios. The added mass coefficient of the cylinder is calculated by integrating the hydrodynamic pressure and simplified formulas are proposed for engineering applications. The calculation results show that the simplified formulas are in good agreement with the analytical solutions.
2024, 38(1): 68-80.
doi: 10.1007/s13344-024-0006-1
Abstract:
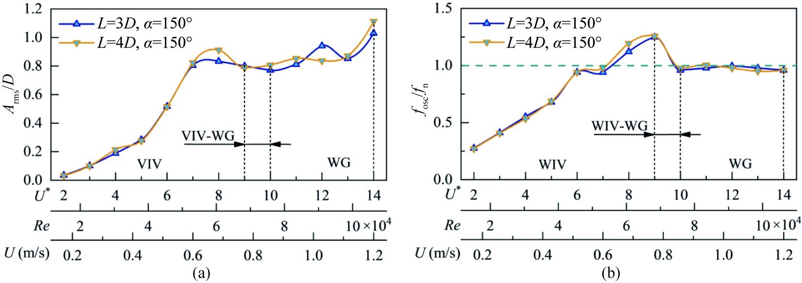
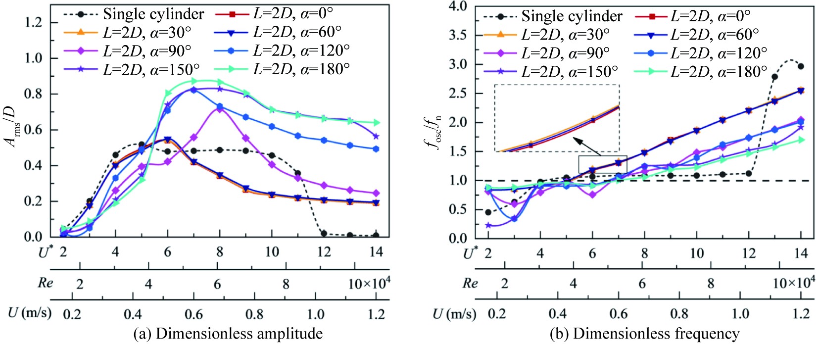
This paper proposes a novel wake-induced vibration (WIV)-based energy harvesting system consisting of two bluff bodies. An inverted C-shaped bluff body is stationary installed at the upstream position to generate an interference wake street, and a cylinder bluff body equipped with a transducer is elastically suspended at the downstream position to harness WIV energy. The hydrodynamics and energy harvesting (EH) performance of the proposed system are investigated via experimental studies. The reduced velocity (U*) ranging from 2 to 14 (the corresponding Reynolds number ranging from 15100 to 106200) is considered in the present study. It is found that the wake generated by the inverted C-shaped bluff body significantly affects the EH performance. Enlarging the opening angle (α) of the C-shaped bluff body increases the vibration amplitude of the downstream cylinder, thereby increasing the harvested power. When the spacing (L) between two bluff bodies is two times the cylinder diameter (D), the wake-induced vibration (WIV) mode is observed, while the combined WIV and wake galloping (WG) mode occurs when α is 150°, and L equals 3D or 4D. The average drag coefficient becomes negative when L is 2D, 3D, or 4D. By carefully configuring a C-shaped bluff body, the wake generated by it can bring an augmenting effect on the vibration of the downstream EH cylinder. For example, the RMS power output of the proposed EH system reaches a maximum of 0.31 W at U* = 8 and L = 4D, which is 300% greater than that of its traditional counterpart. Furthermore, after a number of case studies, it is identified that the proposed EH system can achieve the best performance when α is 150° and L = 2D.
This paper proposes a novel wake-induced vibration (WIV)-based energy harvesting system consisting of two bluff bodies. An inverted C-shaped bluff body is stationary installed at the upstream position to generate an interference wake street, and a cylinder bluff body equipped with a transducer is elastically suspended at the downstream position to harness WIV energy. The hydrodynamics and energy harvesting (EH) performance of the proposed system are investigated via experimental studies. The reduced velocity (U*) ranging from 2 to 14 (the corresponding Reynolds number ranging from 15100 to 106200) is considered in the present study. It is found that the wake generated by the inverted C-shaped bluff body significantly affects the EH performance. Enlarging the opening angle (α) of the C-shaped bluff body increases the vibration amplitude of the downstream cylinder, thereby increasing the harvested power. When the spacing (L) between two bluff bodies is two times the cylinder diameter (D), the wake-induced vibration (WIV) mode is observed, while the combined WIV and wake galloping (WG) mode occurs when α is 150°, and L equals 3D or 4D. The average drag coefficient becomes negative when L is 2D, 3D, or 4D. By carefully configuring a C-shaped bluff body, the wake generated by it can bring an augmenting effect on the vibration of the downstream EH cylinder. For example, the RMS power output of the proposed EH system reaches a maximum of 0.31 W at U* = 8 and L = 4D, which is 300% greater than that of its traditional counterpart. Furthermore, after a number of case studies, it is identified that the proposed EH system can achieve the best performance when α is 150° and L = 2D.
2024, 38(1): 81-92.
doi: 10.1007/s13344-024-0007-0
Abstract:
To predict the wave loads of a flexible trimaran in different wave fields, a one-way interaction numerical simulation method is proposed by integrating the fluid solver (Star-CCM+) and structural solver (Abaqus). Differing from the existing coupled CFD-FEA method for monohull ships in head waves, the presented method equates the mass and stiffness of the whole ship to the hull shell so that any transverse and longitudinal section stress of the hull in oblique waves can be obtained. Firstly, verification study and sensitivity analysis are carried out by comparing the trimaran motions using different mesh sizes and time step schemes. Discussion on the wave elevation of uni- and bi-directional waves is also carried out. Then a comprehensive analysis on the structural responses of the trimaran in different uni-directional regular wave and bi-directional cross sea conditions is carried out, respectively. Finally, the differences in structural response characteristics of trimaran in different wave fields are studied. The results show that the present method can reduce the computational burden of the two-way fluid-structure interaction simulations.
To predict the wave loads of a flexible trimaran in different wave fields, a one-way interaction numerical simulation method is proposed by integrating the fluid solver (Star-CCM+) and structural solver (Abaqus). Differing from the existing coupled CFD-FEA method for monohull ships in head waves, the presented method equates the mass and stiffness of the whole ship to the hull shell so that any transverse and longitudinal section stress of the hull in oblique waves can be obtained. Firstly, verification study and sensitivity analysis are carried out by comparing the trimaran motions using different mesh sizes and time step schemes. Discussion on the wave elevation of uni- and bi-directional waves is also carried out. Then a comprehensive analysis on the structural responses of the trimaran in different uni-directional regular wave and bi-directional cross sea conditions is carried out, respectively. Finally, the differences in structural response characteristics of trimaran in different wave fields are studied. The results show that the present method can reduce the computational burden of the two-way fluid-structure interaction simulations.
2024, 38(1): 93-103.
doi: 10.1007/s13344-024-0008-z
Abstract:
The nonlinear variation of wave is commonly seen in nearshore area, and the resulting seabed response and liquefaction are of high concern to coastal engineers. In this study, an analytical formula considering the nonlinear wave skewness and asymmetry is adopted to provide wave pressure on the seabed surface. The liquefaction depth attenuation coefficient and width growth coefficient are defined to quantitatively characterize the nonlinear effect of wave on seabed liquefaction. Based on the 2D full dynamic model of wave-induced seabed response, a detailed parametric study is carried out in order to evaluate the influence of the nonlinear variation of wave loadings on seabed liquefaction. Further, new empirical prediction formulas are proposed to fast predict the maximum liquefaction under nonlinear wave. Results indicate that (1) Due to the influence of wave nonlinearity, the vertical transmission of negative pore water pressure in the seabed is hindered, and therefore, the amplitude decreases significantly. (2) In general, with the increase of wave nonlinearity, the liquefaction depth of seabed decreases gradually. Especially under asymmetric and skewed wave loading, the attenuation of maximum seabed liquefaction depth is the most significant among all the nonlinear wave conditions. However, highly skewed wave can cause the liquefaction depth of seabed greater than that under linear wave. (3) The asymmetry of wave pressure leads to the increase of liquefaction width, whereas the influence of skewedness is not significant. (4) Compared with the nonlinear waveform, seabed liquefaction is more sensitive to the variation of nonlinear degree of wave loading.
The nonlinear variation of wave is commonly seen in nearshore area, and the resulting seabed response and liquefaction are of high concern to coastal engineers. In this study, an analytical formula considering the nonlinear wave skewness and asymmetry is adopted to provide wave pressure on the seabed surface. The liquefaction depth attenuation coefficient and width growth coefficient are defined to quantitatively characterize the nonlinear effect of wave on seabed liquefaction. Based on the 2D full dynamic model of wave-induced seabed response, a detailed parametric study is carried out in order to evaluate the influence of the nonlinear variation of wave loadings on seabed liquefaction. Further, new empirical prediction formulas are proposed to fast predict the maximum liquefaction under nonlinear wave. Results indicate that (1) Due to the influence of wave nonlinearity, the vertical transmission of negative pore water pressure in the seabed is hindered, and therefore, the amplitude decreases significantly. (2) In general, with the increase of wave nonlinearity, the liquefaction depth of seabed decreases gradually. Especially under asymmetric and skewed wave loading, the attenuation of maximum seabed liquefaction depth is the most significant among all the nonlinear wave conditions. However, highly skewed wave can cause the liquefaction depth of seabed greater than that under linear wave. (3) The asymmetry of wave pressure leads to the increase of liquefaction width, whereas the influence of skewedness is not significant. (4) Compared with the nonlinear waveform, seabed liquefaction is more sensitive to the variation of nonlinear degree of wave loading.
2024, 38(1): 104-116.
doi: 10.1007/s13344-024-0009-y
Abstract:
In order to forecast the distribution of crest amplitudes and the occurrence of freak waves in a short crested coastal sea, a novel transformed linear simulation method is initially proposed in this paper. A Hermite transformation model expressed as a monotonic cubic polynomial serves as the foundation for the novel simulation technique. The wave crest amplitude exceedance probabilities of two sea states—one with a directional wave spectrum based on the measured wave elevation data at the Yura coast and the other with a typical directional JONSWAP wave spectrum—have been predicted using the novel simulation method that has been proposed. The likelihood that a particular critical wave crest amplitude will be exceeded is directly correlated with the probability that freak waves will occur. It is shown that the novel simulation approach suggested can provide predictions that are more precise than those obtained from the Rayleigh crest amplitude distribution model, the Jahns and Wheeler crest amplitude distribution model, or the conventional linear simulation method. This study also demonstrated that the nonlinear simulation method is less effective than the novel simulation method in terms of efficiency.
In order to forecast the distribution of crest amplitudes and the occurrence of freak waves in a short crested coastal sea, a novel transformed linear simulation method is initially proposed in this paper. A Hermite transformation model expressed as a monotonic cubic polynomial serves as the foundation for the novel simulation technique. The wave crest amplitude exceedance probabilities of two sea states—one with a directional wave spectrum based on the measured wave elevation data at the Yura coast and the other with a typical directional JONSWAP wave spectrum—have been predicted using the novel simulation method that has been proposed. The likelihood that a particular critical wave crest amplitude will be exceeded is directly correlated with the probability that freak waves will occur. It is shown that the novel simulation approach suggested can provide predictions that are more precise than those obtained from the Rayleigh crest amplitude distribution model, the Jahns and Wheeler crest amplitude distribution model, or the conventional linear simulation method. This study also demonstrated that the nonlinear simulation method is less effective than the novel simulation method in terms of efficiency.
2024, 38(1): 117-128.
doi: 10.1007/s13344-024-0010-5
Abstract:
To realize the low-resistance shape optimization design of amphibious robots, an efficient optimization design framework is proposed to improve the geometric deformation flexibility and optimization efficiency. In the proposed framework, the free-form deformation parametric model of the flat slender body is established and an analytical calculation method for the height constraints is derived. CFD method is introduced to carry out the high-precision resistance calculation and a constrained Kriging-based optimization method is built to improve the optimization efficiency by circularly infilling the new sample points which satisfying the constraints. Finally, the shape of an amphibious robot example is optimized to get the low-resistance shape and the results demonstrate that the presented optimization design framework has the advantages of simplicity, flexibility and high efficiency.
To realize the low-resistance shape optimization design of amphibious robots, an efficient optimization design framework is proposed to improve the geometric deformation flexibility and optimization efficiency. In the proposed framework, the free-form deformation parametric model of the flat slender body is established and an analytical calculation method for the height constraints is derived. CFD method is introduced to carry out the high-precision resistance calculation and a constrained Kriging-based optimization method is built to improve the optimization efficiency by circularly infilling the new sample points which satisfying the constraints. Finally, the shape of an amphibious robot example is optimized to get the low-resistance shape and the results demonstrate that the presented optimization design framework has the advantages of simplicity, flexibility and high efficiency.
2024, 38(1): 129-143.
doi: 10.1007/s13344-024-0011-4
Abstract:
The sloshing in a group of rigid cylindrical tanks with baffles and on soil foundation under horizontal excitation is studied analytically. The solutions for the velocity potential are derived out by the liquid subdomain method. Equivalent models with mass-spring oscillators are established to replace continuous fluid. Combined with the least square technique, Chebyshev polynomials are employed to fit horizontal, rocking and horizontal-rocking coupling impedances of soil, respectively. A lumped parameter model for impedance is presented to describe the effects of soil on tank structures. A mechanical model for the soil-foundation-tank-liquid-baffle system with small amount of calculation and high accuracy is proposed using the substructure technique. The analytical solutions are in comparison with data from reported literature and numerical codes to validate the effectiveness and correctness of the model. Detailed dynamic properties and seismic responses of the soil-tank system are given for the baffle number, size and location as well as soil parameter.
The sloshing in a group of rigid cylindrical tanks with baffles and on soil foundation under horizontal excitation is studied analytically. The solutions for the velocity potential are derived out by the liquid subdomain method. Equivalent models with mass-spring oscillators are established to replace continuous fluid. Combined with the least square technique, Chebyshev polynomials are employed to fit horizontal, rocking and horizontal-rocking coupling impedances of soil, respectively. A lumped parameter model for impedance is presented to describe the effects of soil on tank structures. A mechanical model for the soil-foundation-tank-liquid-baffle system with small amount of calculation and high accuracy is proposed using the substructure technique. The analytical solutions are in comparison with data from reported literature and numerical codes to validate the effectiveness and correctness of the model. Detailed dynamic properties and seismic responses of the soil-tank system are given for the baffle number, size and location as well as soil parameter.
2024, 38(1): 144-155.
doi: 10.1007/s13344-024-0012-3
Abstract:
Due to the uneven seabed and heaving of soil during pumping, incomplete soil plugs may occur during the installation of bucket foundations, and the impacts on the bearing capacities of bucket foundations need to be evaluated. In this paper, the contact ratio (the ratio of the top diameter of the soil plug to the diameter of the bucket) and the soil plug ratio (the ratio of the soil heave height to the skirt height) are defined to describe the shape and size of the incomplete soil plug. Then, finite element models are established to investigate the bearing capacities of bucket foundations with incomplete soil plugs and the influences of the contact ratios, and the soil plug ratios on the bearing capacities are analyzed. The results show that the vertical bearing capacity of bucket foundations in homogeneous soil continuously improves with the increase of the contact ratio. However, in normally consolidated soil, the vertical bearing capacity barely changes when the contact ratio is smaller than 0.75, while the bearing capacity suddenly increases when the contact ratio increases to 1 due to the change of failure mode. The contact ratio hardly affects the horizontal bearing capacity of bucket foundations. Moreover, the moment bearing capacity improves with the increase of the contact ratio for small aspect ratios, but hardly varies with increasing contact ratio for aspect ratios larger than 0.5. Consequently, the reduction coefficient method is proposed based on this analysis to calculate the bearing capacities of bucket foundations considering the influence of incomplete soil plugs. The comparison results show that the proposed reduction coefficient method can be used to evaluate the influences of incomplete soil plug on the bearing capacities of bucket foundations.
Due to the uneven seabed and heaving of soil during pumping, incomplete soil plugs may occur during the installation of bucket foundations, and the impacts on the bearing capacities of bucket foundations need to be evaluated. In this paper, the contact ratio (the ratio of the top diameter of the soil plug to the diameter of the bucket) and the soil plug ratio (the ratio of the soil heave height to the skirt height) are defined to describe the shape and size of the incomplete soil plug. Then, finite element models are established to investigate the bearing capacities of bucket foundations with incomplete soil plugs and the influences of the contact ratios, and the soil plug ratios on the bearing capacities are analyzed. The results show that the vertical bearing capacity of bucket foundations in homogeneous soil continuously improves with the increase of the contact ratio. However, in normally consolidated soil, the vertical bearing capacity barely changes when the contact ratio is smaller than 0.75, while the bearing capacity suddenly increases when the contact ratio increases to 1 due to the change of failure mode. The contact ratio hardly affects the horizontal bearing capacity of bucket foundations. Moreover, the moment bearing capacity improves with the increase of the contact ratio for small aspect ratios, but hardly varies with increasing contact ratio for aspect ratios larger than 0.5. Consequently, the reduction coefficient method is proposed based on this analysis to calculate the bearing capacities of bucket foundations considering the influence of incomplete soil plugs. The comparison results show that the proposed reduction coefficient method can be used to evaluate the influences of incomplete soil plug on the bearing capacities of bucket foundations.
2024, 38(1): 156-168.
doi: 10.1007/s13344-024-0013-2
Abstract:
The scattering of normally incident water waves by two surface-piercing inclined perforated barriers in water with a uniform finite depth is investigated within the framework of linear water wave theory. Considering that thin barriers are zero-thickness, a novel numerical method involving the the coupling of the dual boundary element method (DBEM) with damping layers is applied. In order to effectively damp out the reflected waves, two damping layers, instead of pseudoboundaries are implemented near the two side boundaries of the computational domain. Thus, the modified linearized free surface boundary conditions are formulated and used for solving both the ordinary boundary integral equation as well as the hypersingular boundary integral equation for degenerate boundaries. The newly developed numerical method is validated against analytical methods using the matched eigenfunction expansion method for the special case of two vertical barriers or the inclined angle to the vertical being zero. The influence of the length of the two damping layers has been discussed. Moreover, these findings are also validated against previous results for several cases. After validation, the numerical results for the reflection coefficient, transmission coefficient and dissipation coefficient are obtained by varying the inclination angle and porosity-effect parameter. The effects of both the inclination angle and the porosity on the amplitudes of wave forces acting on both the front and rear barriers are also investigated. It is found that the effect of the inclination angle mainly shifts the location of the extremal values of the reflection and the transmission coefficients. Additionally, a moderate value of the porosity-parameter is quite effective at dissipating wave energy and mitigating the wave loads on dual barriers.
The scattering of normally incident water waves by two surface-piercing inclined perforated barriers in water with a uniform finite depth is investigated within the framework of linear water wave theory. Considering that thin barriers are zero-thickness, a novel numerical method involving the the coupling of the dual boundary element method (DBEM) with damping layers is applied. In order to effectively damp out the reflected waves, two damping layers, instead of pseudoboundaries are implemented near the two side boundaries of the computational domain. Thus, the modified linearized free surface boundary conditions are formulated and used for solving both the ordinary boundary integral equation as well as the hypersingular boundary integral equation for degenerate boundaries. The newly developed numerical method is validated against analytical methods using the matched eigenfunction expansion method for the special case of two vertical barriers or the inclined angle to the vertical being zero. The influence of the length of the two damping layers has been discussed. Moreover, these findings are also validated against previous results for several cases. After validation, the numerical results for the reflection coefficient, transmission coefficient and dissipation coefficient are obtained by varying the inclination angle and porosity-effect parameter. The effects of both the inclination angle and the porosity on the amplitudes of wave forces acting on both the front and rear barriers are also investigated. It is found that the effect of the inclination angle mainly shifts the location of the extremal values of the reflection and the transmission coefficients. Additionally, a moderate value of the porosity-parameter is quite effective at dissipating wave energy and mitigating the wave loads on dual barriers.
2024, 38(1): 169-180.
doi: 10.1007/s13344-024-0014-1
Abstract:
The present study explores the physical and acoustic characteristics of fine sand and clay in novel seabed marine sediments from of Pakistan coastline of the Arabian Sea. The measured physical parameters included mean grain size, mass density, bulk density, salinity, porosity, permeability, pore size and mineralogical composition. Acoustic properties, including sound speed and attenuation, in the high frequency range of 90–170 kHz were analyzed. A controlled laboratory setup with the acoustic transmission method and Fourier transform techniques was utilized to examine the sound propagation and absorption of novel seabed sediments. The standard deviation of mean sound speed in fresh water was 0.75 m/s, and attenuation was observed in the range of 0.43 to 0.61 dB/m. The mean sound velocity in sand and clay varied from 1706 to 1709 m/s and 1602 to 1608 m/s, respectively. Corresponding average attenuation was observed at 80 to 93 dB/m in sandy sediments and from 31.8 to 38.6 dB/m in clayey sediments. Sound velocity variation within sandy sediment is low, consistent with expected results, and smaller than the predicted uncertainty. However, clay sediment exhibited a positive linear correlation and low sound speed variation. Attenuation increased linearly with frequency for both sediments. Finally, the laboratory results were validated by using the Biot−Stoll model. The dispersion of sound speed in sandy and clayey sediments was consistent with the predictions of the Biot−Stoll model. Measured attenuation aligned more with Biot−Stoll model predictions due to improved permeability, tortuosity and pore size parameter fitting.
The present study explores the physical and acoustic characteristics of fine sand and clay in novel seabed marine sediments from of Pakistan coastline of the Arabian Sea. The measured physical parameters included mean grain size, mass density, bulk density, salinity, porosity, permeability, pore size and mineralogical composition. Acoustic properties, including sound speed and attenuation, in the high frequency range of 90–170 kHz were analyzed. A controlled laboratory setup with the acoustic transmission method and Fourier transform techniques was utilized to examine the sound propagation and absorption of novel seabed sediments. The standard deviation of mean sound speed in fresh water was 0.75 m/s, and attenuation was observed in the range of 0.43 to 0.61 dB/m. The mean sound velocity in sand and clay varied from 1706 to 1709 m/s and 1602 to 1608 m/s, respectively. Corresponding average attenuation was observed at 80 to 93 dB/m in sandy sediments and from 31.8 to 38.6 dB/m in clayey sediments. Sound velocity variation within sandy sediment is low, consistent with expected results, and smaller than the predicted uncertainty. However, clay sediment exhibited a positive linear correlation and low sound speed variation. Attenuation increased linearly with frequency for both sediments. Finally, the laboratory results were validated by using the Biot−Stoll model. The dispersion of sound speed in sandy and clayey sediments was consistent with the predictions of the Biot−Stoll model. Measured attenuation aligned more with Biot−Stoll model predictions due to improved permeability, tortuosity and pore size parameter fitting.
ScholarOne Manuscripts Log In
Current Issue

- Volume 39
- Issue 4
- September 2025
- Editor-in-Chief:
- Superintended by:
CHINA ASSOCIATION FOR SCIENCE AND TECHNOLOGY
- Sponsored by:
Chinese Ocean Engineering Society (COES)
- Edited by:
Nanjing Hydraulic Research Institute
Highlights
Stay up to Date
