2024 Vol.38(5)
column
Display Mode: |
2024, 38(5): 725-738.
doi: 10.1007/s13344-024-0057-3
Abstract:
When the free standing riser (FSR) is in service in the ocean, its mechanical properties are affected by various factors, including complex ocean current forces, buoyancy of the buoyancy can, and torque caused by the deflection of the upper floating body. These loads have a great influence on the deformation and internal force of the FSR. The static performance of FSR is investigated in this research under various working conditions. The finite element model of FSR is established based on the co-rotational method. The arc length approach is used to solve the model. The load is exerted in increments. The current load on the riser changes with the configuration of the riser. The accuracy of the numerical method is verified by Abaqus software. The calculation time is also compared. Then, the effects of uniform current, actual current and floating body yaw motion on FSR are studied by parameter analysis. Additionally, the influence of the FSR on the ocean current after the failure of part of the buoyancy can chamber is analyzed. The results show that the numerical model based on the co-rotational method can effectively simulate the large rotation and torsion behavior of FSR. This method has high computational efficiency and precision, and this method can quickly improve the efficiency of numerical calculation of static analysis of deep-water riser. The proposed technology may serve as an alternative to the existing proprietary commercial software, which uses a complex graphical user interface.
When the free standing riser (FSR) is in service in the ocean, its mechanical properties are affected by various factors, including complex ocean current forces, buoyancy of the buoyancy can, and torque caused by the deflection of the upper floating body. These loads have a great influence on the deformation and internal force of the FSR. The static performance of FSR is investigated in this research under various working conditions. The finite element model of FSR is established based on the co-rotational method. The arc length approach is used to solve the model. The load is exerted in increments. The current load on the riser changes with the configuration of the riser. The accuracy of the numerical method is verified by Abaqus software. The calculation time is also compared. Then, the effects of uniform current, actual current and floating body yaw motion on FSR are studied by parameter analysis. Additionally, the influence of the FSR on the ocean current after the failure of part of the buoyancy can chamber is analyzed. The results show that the numerical model based on the co-rotational method can effectively simulate the large rotation and torsion behavior of FSR. This method has high computational efficiency and precision, and this method can quickly improve the efficiency of numerical calculation of static analysis of deep-water riser. The proposed technology may serve as an alternative to the existing proprietary commercial software, which uses a complex graphical user interface.
2024, 38(5): 739-754.
doi: 10.1007/s13344-024-0058-2
Abstract:
Biomimetic design has recently received widespread attention. Inspired by the Terebridae structure, this paper provides a structural form for suppressing vortex-induced vibration (VIV) response. Four different structural forms are shown, including the traditional smooth cylinder (P0), and the Terebridae-inspired cylinder with the helical angle of 30° (P30), 60° (P60), and 90° (P90). Computational fluid dynamics (CFD) method is adopted to solve the flow pass the Terebridae-inspired structures, and the vibration equation is solved using the Newmark-β method. The results show that for P30, P60 and P90, the VIV responses are effectively suppressed in the lock-in region, and P60 showed the best VIV suppression performance. The transverse amplitude and the downstream amplitude can be reduced by 82.67% and 91.43% respectively for P60 compared with that for P0, and the peak of the mean-drag coefficient is suppressed by 53.33%. The Q-criterion vortices of P30, P60, and P90 are destroyed, with irregular vortices shedding. It is also found that the boundary layer separation is located on the Terebridae-inspired ribs. The twisted ribs cause the separation point to constantly change along the spanwise direction, resulting in the development of the boundary layer separation being completely destroyed. The strength of the wake flow is significantly weakened for the Terebridae-inspired cylinder.
Biomimetic design has recently received widespread attention. Inspired by the Terebridae structure, this paper provides a structural form for suppressing vortex-induced vibration (VIV) response. Four different structural forms are shown, including the traditional smooth cylinder (P0), and the Terebridae-inspired cylinder with the helical angle of 30° (P30), 60° (P60), and 90° (P90). Computational fluid dynamics (CFD) method is adopted to solve the flow pass the Terebridae-inspired structures, and the vibration equation is solved using the Newmark-β method. The results show that for P30, P60 and P90, the VIV responses are effectively suppressed in the lock-in region, and P60 showed the best VIV suppression performance. The transverse amplitude and the downstream amplitude can be reduced by 82.67% and 91.43% respectively for P60 compared with that for P0, and the peak of the mean-drag coefficient is suppressed by 53.33%. The Q-criterion vortices of P30, P60, and P90 are destroyed, with irregular vortices shedding. It is also found that the boundary layer separation is located on the Terebridae-inspired ribs. The twisted ribs cause the separation point to constantly change along the spanwise direction, resulting in the development of the boundary layer separation being completely destroyed. The strength of the wake flow is significantly weakened for the Terebridae-inspired cylinder.
2024, 38(5): 755-770.
doi: 10.1007/s13344-024-0059-1
Abstract:
A numerical study based on a two-dimensional two-phase SPH (Smoothed Particle Hydrodynamics) model to analyze the action of water waves on open-type sea access roads is presented. The study is a continuation of the analyses presented by Chen et al. (2022), in which the sea access roads are semi-immersed. In this new configuration, the sea access roads are placed above the still water level, therefore the presence of the air phase becomes a relevant issue in the determination of the wave forces acting on the structures. Indeed, the comparison of wave forces on the open-type sea access roads obtained from the single and two-phase SPH models with the experimental results shows that the latter are in much better agreement. So in the numerical simulations, a two-phase δ-SPH model is adopted to investigate the dynamical problems. Based on the numerical results, the maximum horizontal and uplifting wave forces acting on the sea access roads are analyzed by considering different wave conditions and geometries of the structures. In particular, the presence of the girder is analyzed and the differences in the wave forces due to the air cushion effects which are created below the structure are highlighted.
A numerical study based on a two-dimensional two-phase SPH (Smoothed Particle Hydrodynamics) model to analyze the action of water waves on open-type sea access roads is presented. The study is a continuation of the analyses presented by Chen et al. (2022), in which the sea access roads are semi-immersed. In this new configuration, the sea access roads are placed above the still water level, therefore the presence of the air phase becomes a relevant issue in the determination of the wave forces acting on the structures. Indeed, the comparison of wave forces on the open-type sea access roads obtained from the single and two-phase SPH models with the experimental results shows that the latter are in much better agreement. So in the numerical simulations, a two-phase δ-SPH model is adopted to investigate the dynamical problems. Based on the numerical results, the maximum horizontal and uplifting wave forces acting on the sea access roads are analyzed by considering different wave conditions and geometries of the structures. In particular, the presence of the girder is analyzed and the differences in the wave forces due to the air cushion effects which are created below the structure are highlighted.
2024, 38(5): 771-784.
doi: 10.1007/s13344-024-0060-8
Abstract:
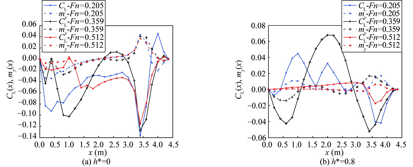
The present study aims to investigate the interaction between the free surface and a semi/shallowly submerged underwater vehicle, especially when the submergence depth h is smaller than 0.75D (D: submarine maximum diameter). In this respect, the straight-ahead simulations of the generic SUBOFF underwater vehicle geometry are conducted with constant forward velocities using the Unsteady Reynolds-Averaged Navier-Stokes (URANS) equations with a Shear-Stress Transport (SST) k-ω turbulence model in commercial code Fluent, at submergence depths and Froude numbers ranging from h = 0 to h = 3.3D and from Fn = 0.205 to Fn = 0.512, respectively. The numerical models are verified against the existing experimental data. The analysis of the obtained results indicates that in the case of the semi and shallowly submerged underwater vehicle (UV), both the submergence depth and forward velocity have a great effect on the behaviors of hydrodynamic forces acting on the UV. The magnitude of maximum total resistance may reach almost five times the value of resistance exerted on the totally submerged hull. Both the forces acting on the UV and the generated waves when the submergence depth h is smaller than 0.75D are significantly different from those whenr h is larger than 0.75D. The conclusions can be used as reference for future research on near free surface motions of underwater vehicles and the design of small water-plane area twin hull.
The present study aims to investigate the interaction between the free surface and a semi/shallowly submerged underwater vehicle, especially when the submergence depth h is smaller than 0.75D (D: submarine maximum diameter). In this respect, the straight-ahead simulations of the generic SUBOFF underwater vehicle geometry are conducted with constant forward velocities using the Unsteady Reynolds-Averaged Navier-Stokes (URANS) equations with a Shear-Stress Transport (SST) k-ω turbulence model in commercial code Fluent, at submergence depths and Froude numbers ranging from h = 0 to h = 3.3D and from Fn = 0.205 to Fn = 0.512, respectively. The numerical models are verified against the existing experimental data. The analysis of the obtained results indicates that in the case of the semi and shallowly submerged underwater vehicle (UV), both the submergence depth and forward velocity have a great effect on the behaviors of hydrodynamic forces acting on the UV. The magnitude of maximum total resistance may reach almost five times the value of resistance exerted on the totally submerged hull. Both the forces acting on the UV and the generated waves when the submergence depth h is smaller than 0.75D are significantly different from those whenr h is larger than 0.75D. The conclusions can be used as reference for future research on near free surface motions of underwater vehicles and the design of small water-plane area twin hull.
2024, 38(5): 785-796.
doi: 10.1007/s13344-024-0061-7
Abstract:
According to the established prediction model of internal solitary wave loads on FPSO in the previous work, the lumped mass model and the movement equations of finite displacement in time domain, the dynamic response model of interaction between internal solitary waves and FPSO with mooring lines were established. Through calculations and analysis, time histories of dynamic loads of FPSO exerted by internal solitary waves, FPSO’s motion and dynamic tension of mooring line were obtained. The effects of the horizontal pretension of mooring line, the amplitude of internal solitary wave and layer fluid depth on dynamic response behavior of FPSO were mastered. It was shown that the internal solitary waves had significant influence on FPSO, such as the large magnitude horizontal drift and a sudden tension increment. With internal solitary wave of −170 m amplitude in the ocean with upper and lower layer fluid depth ratio being 60:550, the dynamic loads reached 991.132 kN (horizontal force), 18067.3 kN (vertical force) and −5042.92 kN·m (pitching moment). Maximum of FPSO’s horizontal drift was 117.56 m. Tension increment of upstream mooring line approached 401.48 kN and that of backflow mooring line was −140 kN. Moreover, the loads remained nearly constant with different pretension but increased obviously with the changing amplitude and layer fluid depth ratio. Tension increments of mooring lines also changed little with the pretension but increased rapidly when amplitude and layer fluid depth ratio increased. However, FPSO’s motion increased quickly with not only the horizontal pretension but also the amplitude of internal solitary wave and layer fluid depth ratio.
According to the established prediction model of internal solitary wave loads on FPSO in the previous work, the lumped mass model and the movement equations of finite displacement in time domain, the dynamic response model of interaction between internal solitary waves and FPSO with mooring lines were established. Through calculations and analysis, time histories of dynamic loads of FPSO exerted by internal solitary waves, FPSO’s motion and dynamic tension of mooring line were obtained. The effects of the horizontal pretension of mooring line, the amplitude of internal solitary wave and layer fluid depth on dynamic response behavior of FPSO were mastered. It was shown that the internal solitary waves had significant influence on FPSO, such as the large magnitude horizontal drift and a sudden tension increment. With internal solitary wave of −170 m amplitude in the ocean with upper and lower layer fluid depth ratio being 60:550, the dynamic loads reached 991.132 kN (horizontal force), 18067.3 kN (vertical force) and −5042.92 kN·m (pitching moment). Maximum of FPSO’s horizontal drift was 117.56 m. Tension increment of upstream mooring line approached 401.48 kN and that of backflow mooring line was −140 kN. Moreover, the loads remained nearly constant with different pretension but increased obviously with the changing amplitude and layer fluid depth ratio. Tension increments of mooring lines also changed little with the pretension but increased rapidly when amplitude and layer fluid depth ratio increased. However, FPSO’s motion increased quickly with not only the horizontal pretension but also the amplitude of internal solitary wave and layer fluid depth ratio.
2024, 38(5): 797-808.
doi: 10.1007/s13344-024-0062-6
Abstract:
The layout forms of several breakwater structures can be generalized as asymmetrical arrangements in actual engineering. However, the problem of wave diffraction around asymmetrically arranged breakwaters has not been adequately investigated. In this study, we propose an analytical method of wave diffraction for regular waves passing through asymmetrically arranged breakwaters, and we use the Nyström method to obtain the analytical solution numerically. We compared the results of this method with those of previous analytical solutions and with numerical results to demonstrate the validity of our approach. We also provided diffraction coefficient diagrams of breakwaters with different layout forms. Moreover, we described the analytical expression for the problem of diffraction through long-wave incident breakwaters and presented an analysis of the relationship between the diffraction coefficients and the widths of breakwater gates. The analytical method presented in this study contributes to the limited literature on the theory of wave diffraction through asymmetrically arranged breakwaters.
The layout forms of several breakwater structures can be generalized as asymmetrical arrangements in actual engineering. However, the problem of wave diffraction around asymmetrically arranged breakwaters has not been adequately investigated. In this study, we propose an analytical method of wave diffraction for regular waves passing through asymmetrically arranged breakwaters, and we use the Nyström method to obtain the analytical solution numerically. We compared the results of this method with those of previous analytical solutions and with numerical results to demonstrate the validity of our approach. We also provided diffraction coefficient diagrams of breakwaters with different layout forms. Moreover, we described the analytical expression for the problem of diffraction through long-wave incident breakwaters and presented an analysis of the relationship between the diffraction coefficients and the widths of breakwater gates. The analytical method presented in this study contributes to the limited literature on the theory of wave diffraction through asymmetrically arranged breakwaters.
2024, 38(5): 809-820.
doi: 10.1007/s13344-024-0063-5
Abstract:
Based on the high-quality observation data and the numerical simulation, the evolution characteristics of internal solitary waves (ISWs) and the load on the suspend submerged body are studied on the continental shelf and slope separately. The observed ISWs exhibit the first mode depression ISWs. The amplitudes of ISWs on the shelf and slope areas reach 50 m and 80 m, respectively. The upper layer velocity in the westward direction is about 0.8 m/s on the continental shelf and 0.9 m/s on the continental slope during the passing through of ISWs. The lower layer is dominated by the eastward compensating flow. In the vertical direction, the water in front of the wave flows downward, while the water behind the wave flows upward, and the maximum vertical velocity exceeds 0.2 m/s. Numerical simulation results show that the larger the amplitude of ISWs, the larger the load on the submerged body. The force on the submerged body by ISWs is dominated by the vertical force, and the corresponding maximum vertical forces on the continental shelf and slope are −25 kN and −27 kN. The submerged body is subjected to a large counterclockwise moment and the sudden change of the moment will also cause the submerged body to capsize. This paper not only gives a deeper understanding of the characteristics of ISWs from the deep continental slope to the shallow continental shelf, but also has a certain guiding value for the prediction of ISWs and for marine military activities.
Based on the high-quality observation data and the numerical simulation, the evolution characteristics of internal solitary waves (ISWs) and the load on the suspend submerged body are studied on the continental shelf and slope separately. The observed ISWs exhibit the first mode depression ISWs. The amplitudes of ISWs on the shelf and slope areas reach 50 m and 80 m, respectively. The upper layer velocity in the westward direction is about 0.8 m/s on the continental shelf and 0.9 m/s on the continental slope during the passing through of ISWs. The lower layer is dominated by the eastward compensating flow. In the vertical direction, the water in front of the wave flows downward, while the water behind the wave flows upward, and the maximum vertical velocity exceeds 0.2 m/s. Numerical simulation results show that the larger the amplitude of ISWs, the larger the load on the submerged body. The force on the submerged body by ISWs is dominated by the vertical force, and the corresponding maximum vertical forces on the continental shelf and slope are −25 kN and −27 kN. The submerged body is subjected to a large counterclockwise moment and the sudden change of the moment will also cause the submerged body to capsize. This paper not only gives a deeper understanding of the characteristics of ISWs from the deep continental slope to the shallow continental shelf, but also has a certain guiding value for the prediction of ISWs and for marine military activities.
2024, 38(5): 821-837.
doi: 10.1007/s13344-024-0064-4
Abstract:
This paper presents the design of a novel honeycomb structure with a double curved beam. The purpose of this design is to achieve vibration isolation for the main engine of an offshore platform and reduce impact loads. An analytical formula for the force-displacement relationship of the honeycomb single-cell structure is presented based on the modal superposition method. This formula provides a theoretical basis for predicting the compression performance of honeycomb structures. The effects of structural geometric parameters, series and parallel connection methods on the mechanical and energy absorption properties are investigated through mathematical modeling and experimental methods. Furthermore, the study focuses on the vibration isolation and impact resistance performance of honeycomb panels. The results show that the designed honeycomb structure has good mechanical and energy absorption performance, and its energy absorption effect is related to the geometric parameters and series and parallel connection methods of the structure. The isolation efficiency of the honeycomb with 4 rows and 3 columns reaches 38%. The initial isolation frequency of the isolator is 11.7 Hz.
This paper presents the design of a novel honeycomb structure with a double curved beam. The purpose of this design is to achieve vibration isolation for the main engine of an offshore platform and reduce impact loads. An analytical formula for the force-displacement relationship of the honeycomb single-cell structure is presented based on the modal superposition method. This formula provides a theoretical basis for predicting the compression performance of honeycomb structures. The effects of structural geometric parameters, series and parallel connection methods on the mechanical and energy absorption properties are investigated through mathematical modeling and experimental methods. Furthermore, the study focuses on the vibration isolation and impact resistance performance of honeycomb panels. The results show that the designed honeycomb structure has good mechanical and energy absorption performance, and its energy absorption effect is related to the geometric parameters and series and parallel connection methods of the structure. The isolation efficiency of the honeycomb with 4 rows and 3 columns reaches 38%. The initial isolation frequency of the isolator is 11.7 Hz.
2024, 38(5): 838-844.
doi: 10.1007/s13344-024-0065-3
Abstract:
Wave-induced harbour resonance is numerically investigated inside a harbour with lateral cavities. The theoretical solutions for the amplification parameter are compared with the simulated results under varying dimensionless wave numbers in order to verify the simulation model in a rectangular harbour at a constant depth. The results indicate that the numerical model can correctly calculate the natural frequency and the natural wave height. A range of calculations are performed for harbour resonance with one pair of lateral cavities, two pairs of lateral cavities and three pairs of lateral cavities, respectively. The simulated results indicate that the amplitude of the amplification parameter decreases both at the primary natural oscillation and the secondary natural oscillation, as the number of lateral cavities increases. The dimensionless wave number reduces as the number of lateral cavities increases both at the primary natural oscillation and the secondary natural oscillation as well.
Wave-induced harbour resonance is numerically investigated inside a harbour with lateral cavities. The theoretical solutions for the amplification parameter are compared with the simulated results under varying dimensionless wave numbers in order to verify the simulation model in a rectangular harbour at a constant depth. The results indicate that the numerical model can correctly calculate the natural frequency and the natural wave height. A range of calculations are performed for harbour resonance with one pair of lateral cavities, two pairs of lateral cavities and three pairs of lateral cavities, respectively. The simulated results indicate that the amplitude of the amplification parameter decreases both at the primary natural oscillation and the secondary natural oscillation, as the number of lateral cavities increases. The dimensionless wave number reduces as the number of lateral cavities increases both at the primary natural oscillation and the secondary natural oscillation as well.
2024, 38(5): 845-854.
doi: 10.1007/s13344-024-0066-2
Abstract:
A combined method of wave superposition and finite element is proposed to solve the radiation noise of targets in shallow sea. Taking the sound propagation of spherical sound source in shallow sea as an example, the radiation sound field of the spherical sound source is equivalent to the linear superposition of the radiation sound field of several internal point sound sources, and then the radiated noise induced by spherical sound source can be predicted quickly. The accuracy and efficiency of the method are verified by comparing with the numerical results of finite element method, and the rapid prediction of underwater radiated noise of cylindrical shell is carried out based on the method. The results show that compared with the finite element method, the relative error of the calculation results under different simulation conditions does not exceed 0.1%, and the calculation time is about 1/10 of the finite element method, so this method can be used to solve the radiated noise of shallow underwater targets.
A combined method of wave superposition and finite element is proposed to solve the radiation noise of targets in shallow sea. Taking the sound propagation of spherical sound source in shallow sea as an example, the radiation sound field of the spherical sound source is equivalent to the linear superposition of the radiation sound field of several internal point sound sources, and then the radiated noise induced by spherical sound source can be predicted quickly. The accuracy and efficiency of the method are verified by comparing with the numerical results of finite element method, and the rapid prediction of underwater radiated noise of cylindrical shell is carried out based on the method. The results show that compared with the finite element method, the relative error of the calculation results under different simulation conditions does not exceed 0.1%, and the calculation time is about 1/10 of the finite element method, so this method can be used to solve the radiated noise of shallow underwater targets.
2024, 38(5): 855-865.
doi: 10.1007/s13344-024-0069-z
Abstract:
This paper proposes an explicit scheme to analyze the failure of a subsea polyhedral tunnel-liner system with an inverted arch under mechanical loading and fire fields. The thin-walled liner is made of Functionally Graded Materials (FGMs), which may improve the stability behavior of the tunnel-liner system. Hydrostatic pressure is inevitable in the liner since underground water may penetrate the cracks of the tunnel, and reach the outer surface of the liner. In addition, an elevated temperature loading is taken into account, considering that fire may occur in the tunnel-liner system. Under the combination of mechanical loading and thermal loading, the liner deforms into a single-lobe shape, which is depicted by a trigonometric function. The total potential energy is expressed quantitatively after the energy approach and thin-walled shell theory are used. The minimum potential energy is obtained when the critical buckling occurs. The critical buckling pressure is calculated, which considers the effect of the thermal field. The present analytical prediction is subsequently compared precisely with other closed-form solutions. Finally, the effects of several parameters, such as the geometric shapes, temperature variations, and volume fraction indices, are discussed to further survey the buckling performance of the nonlinear buckling of an FGM polyhedral liner with an inverted arch. One may address a polyhedral liner with fewer polyhedral sides, and a lower volume fraction index is recommended to rehabilitate cracked tunnels in engineering applications.
This paper proposes an explicit scheme to analyze the failure of a subsea polyhedral tunnel-liner system with an inverted arch under mechanical loading and fire fields. The thin-walled liner is made of Functionally Graded Materials (FGMs), which may improve the stability behavior of the tunnel-liner system. Hydrostatic pressure is inevitable in the liner since underground water may penetrate the cracks of the tunnel, and reach the outer surface of the liner. In addition, an elevated temperature loading is taken into account, considering that fire may occur in the tunnel-liner system. Under the combination of mechanical loading and thermal loading, the liner deforms into a single-lobe shape, which is depicted by a trigonometric function. The total potential energy is expressed quantitatively after the energy approach and thin-walled shell theory are used. The minimum potential energy is obtained when the critical buckling occurs. The critical buckling pressure is calculated, which considers the effect of the thermal field. The present analytical prediction is subsequently compared precisely with other closed-form solutions. Finally, the effects of several parameters, such as the geometric shapes, temperature variations, and volume fraction indices, are discussed to further survey the buckling performance of the nonlinear buckling of an FGM polyhedral liner with an inverted arch. One may address a polyhedral liner with fewer polyhedral sides, and a lower volume fraction index is recommended to rehabilitate cracked tunnels in engineering applications.
2024, 38(5): 866-876.
doi: 10.1007/s13344-024-0068-0
Abstract:
Rapid and accurate segmentation of structural cracks is essential for ensuring the quality and safety of engineering projects. In practice, however, this task faces the challenge of finding a balance between detection accuracy and efficiency. To alleviate this problem, a lightweight and efficient real-time crack segmentation framework was developed. Specifically, in the network model system based on an encoding-decoding structure, the encoding network is equipped with packet convolution and attention mechanisms to capture features of different visual scales in layers, and in the decoding process, we also introduce a fusion module based on spatial attention to effectively aggregate these hierarchical features. Codecs are connected by pyramid pooling model (PPM) filtering. The results show that the crack segmentation accuracy and real-time operation capability larger than 76% and 15 fps, respectively, are validated by three publicly available datasets. These wide-ranging results highlight the potential of the model for the intelligent O&M for cross-sea bridge.
Rapid and accurate segmentation of structural cracks is essential for ensuring the quality and safety of engineering projects. In practice, however, this task faces the challenge of finding a balance between detection accuracy and efficiency. To alleviate this problem, a lightweight and efficient real-time crack segmentation framework was developed. Specifically, in the network model system based on an encoding-decoding structure, the encoding network is equipped with packet convolution and attention mechanisms to capture features of different visual scales in layers, and in the decoding process, we also introduce a fusion module based on spatial attention to effectively aggregate these hierarchical features. Codecs are connected by pyramid pooling model (PPM) filtering. The results show that the crack segmentation accuracy and real-time operation capability larger than 76% and 15 fps, respectively, are validated by three publicly available datasets. These wide-ranging results highlight the potential of the model for the intelligent O&M for cross-sea bridge.
2024, 38(5): 877-892.
doi: 10.1007/s13344-024-0067-1
Abstract:
Offshore wind power is a kind of important clean renewable energy and has attracted increasing attention due to the rapid consumption of non-renewable energy. To reduce the high cost of energy, a possible try is to utilize the combination of wind and wave energy considering their natural correlation. A combined concept consisting of a semi-submersible wind turbine and four torus-shaped wave energy converters was proposed and numerically studied under normal operating conditions. However, the dynamic behavior of the integrated system under extreme sea conditions has not been studied yet. In the present work, extreme responses of the integrated system under two different survival modes are evaluated. Fully coupled time-domain simulations with consideration of interactions between the semi-submersible wind turbine and the torus-shaped wave energy converters are performed to investigate dynamic responses of the integrated system, including mooring tensions, tower bending moments, end stop forces, and contact forces at the Column-Torus interface. It is found that the addition of four tori will reduce the mean motions of the yaw, pitch and surge. When the tori are locked at the still water line, the whole integrated system is more suitable for the survival modes.
Offshore wind power is a kind of important clean renewable energy and has attracted increasing attention due to the rapid consumption of non-renewable energy. To reduce the high cost of energy, a possible try is to utilize the combination of wind and wave energy considering their natural correlation. A combined concept consisting of a semi-submersible wind turbine and four torus-shaped wave energy converters was proposed and numerically studied under normal operating conditions. However, the dynamic behavior of the integrated system under extreme sea conditions has not been studied yet. In the present work, extreme responses of the integrated system under two different survival modes are evaluated. Fully coupled time-domain simulations with consideration of interactions between the semi-submersible wind turbine and the torus-shaped wave energy converters are performed to investigate dynamic responses of the integrated system, including mooring tensions, tower bending moments, end stop forces, and contact forces at the Column-Torus interface. It is found that the addition of four tori will reduce the mean motions of the yaw, pitch and surge. When the tori are locked at the still water line, the whole integrated system is more suitable for the survival modes.
2024, 38(5): 893-903.
doi: 10.1007/s13344-024-0070-6
Abstract:
The typical cross-sectional form of a submerged floating tunnel plays a significant role in the dynamic response of the tunnel itself, which directly affects the overall design. In this work, a series of experiments involving wave action on a submerged floating tube cross section is reported to study its hydrodynamic load characteristics. Two typical cross section tube cylinders, circular and rectangular, are chosen. Experiments are carried out in a wave flume with waves of relatively low Keulegan-Carpenter (KC) numbers. Three relative depths of submergence of 0, 0.25 and 0.5 are chosen. The measured wave forces in regular waves are used to analyze the horizontal force, vertical force and torque, and then the drag coefficient (Cd) and inertia coefficient (Cm) are derived. The results show that the drag coefficients at low KC numbers are large and decrease sharply with increasing KC number. The inertial coefficient Cm values in the vertical direction are about 70% larger than those in the horizontal direction. With an increase in aspect ratio (the ratio of the height to width of the structure), the ratio of inertia coefficient in the horizontal direction to that in the vertical direction increases remarkably. The inertia force coefficient is very sensitive to the submerged water depth and aspect ratio. The existing results may overestimate the actual force value.
The typical cross-sectional form of a submerged floating tunnel plays a significant role in the dynamic response of the tunnel itself, which directly affects the overall design. In this work, a series of experiments involving wave action on a submerged floating tube cross section is reported to study its hydrodynamic load characteristics. Two typical cross section tube cylinders, circular and rectangular, are chosen. Experiments are carried out in a wave flume with waves of relatively low Keulegan-Carpenter (KC) numbers. Three relative depths of submergence of 0, 0.25 and 0.5 are chosen. The measured wave forces in regular waves are used to analyze the horizontal force, vertical force and torque, and then the drag coefficient (Cd) and inertia coefficient (Cm) are derived. The results show that the drag coefficients at low KC numbers are large and decrease sharply with increasing KC number. The inertial coefficient Cm values in the vertical direction are about 70% larger than those in the horizontal direction. With an increase in aspect ratio (the ratio of the height to width of the structure), the ratio of inertia coefficient in the horizontal direction to that in the vertical direction increases remarkably. The inertia force coefficient is very sensitive to the submerged water depth and aspect ratio. The existing results may overestimate the actual force value.
2024, 38(5): 904-914.
doi: 10.1007/s13344-024-0071-5
Abstract:
The hydrodynamic performance of a high forward-speed ship in obliquely propagating waves is numerically examined to assess both free motions and wave field in comparison with a low forward-speed ship. This numerical model is based on the time-domain potential flow theory and higher-order boundary element method, where an analytical expression is completely expanded to determine the base-unsteady coupling flow imposed on the moving condition of the ship. The ship in the numerical model may possess different advancing speeds, i.e. stationary, low speed, and high speed. The role of the water depth, wave height, wave period, and incident wave angle is analyzed by means of the accurate numerical model. It is found that the resonant motions of the high forward-speed ship are triggered by comparison with the stationary one. More specifically, a higher forward speed generates a V-shaped wave region with a larger elevation, which induces stronger resonant motions corresponding to larger wave periods. The shoaling effect is adverse to the motion of the low-speed ship, but is beneficial to the resonant motion of the high-speed ship. When waves obliquely propagate toward the ship, the V-shaped wave region would be broken due to the coupling effect between roll and pitch motions. It is also demonstrated that the maximum heave motion occurs in beam seas for stationary cases but occurs in head waves for high speeds. However, the variation of the pitch motion with period is hardly affected by wave incident angles.
The hydrodynamic performance of a high forward-speed ship in obliquely propagating waves is numerically examined to assess both free motions and wave field in comparison with a low forward-speed ship. This numerical model is based on the time-domain potential flow theory and higher-order boundary element method, where an analytical expression is completely expanded to determine the base-unsteady coupling flow imposed on the moving condition of the ship. The ship in the numerical model may possess different advancing speeds, i.e. stationary, low speed, and high speed. The role of the water depth, wave height, wave period, and incident wave angle is analyzed by means of the accurate numerical model. It is found that the resonant motions of the high forward-speed ship are triggered by comparison with the stationary one. More specifically, a higher forward speed generates a V-shaped wave region with a larger elevation, which induces stronger resonant motions corresponding to larger wave periods. The shoaling effect is adverse to the motion of the low-speed ship, but is beneficial to the resonant motion of the high-speed ship. When waves obliquely propagate toward the ship, the V-shaped wave region would be broken due to the coupling effect between roll and pitch motions. It is also demonstrated that the maximum heave motion occurs in beam seas for stationary cases but occurs in head waves for high speeds. However, the variation of the pitch motion with period is hardly affected by wave incident angles.
ScholarOne Manuscripts Log In
Current Issue

- Volume 39
- Issue 4
- September 2025
- Editor-in-Chief:
- Superintended by:
CHINA ASSOCIATION FOR SCIENCE AND TECHNOLOGY
- Sponsored by:
Chinese Ocean Engineering Society (COES)
- Edited by:
Nanjing Hydraulic Research Institute
Highlights
Stay up to Date
