2024 Vol.38(6)
column
Display Mode: |
2024, 38(6): 915-916.
doi: 10.1007/s13344-024-0072-4
Abstract:
2024, 38(6): 917-931.
doi: 10.1007/s13344-024-0074-2
Abstract:
Accurately predicting motion responses is a crucial component of the design process for floating offshore structures. This study introduces a hybrid model that integrates a convolutional neural network (CNN), a bidirectional long short-term memory (BiLSTM) neural network, and an attention mechanism for forecasting the short-term motion responses of a semisubmersible. First, the motions are processed through the CNN for feature extraction. The extracted features are subsequently utilized by the BiLSTM network to forecast future motions. To enhance the predictive capability of the neural networks, an attention mechanism is integrated. In addition to the hybrid model, the BiLSTM is independently employed to forecast the motion responses of the semi-submersible, serving as benchmark results for comparison. Furthermore, both the 1D and 2D convolutions are conducted to check the influence of the convolutional dimensionality on the predicted results. The results demonstrate that the hybrid 1D CNN-BiLSTM network with an attention mechanism outperforms all other models in accurately predicting motion responses.
Accurately predicting motion responses is a crucial component of the design process for floating offshore structures. This study introduces a hybrid model that integrates a convolutional neural network (CNN), a bidirectional long short-term memory (BiLSTM) neural network, and an attention mechanism for forecasting the short-term motion responses of a semisubmersible. First, the motions are processed through the CNN for feature extraction. The extracted features are subsequently utilized by the BiLSTM network to forecast future motions. To enhance the predictive capability of the neural networks, an attention mechanism is integrated. In addition to the hybrid model, the BiLSTM is independently employed to forecast the motion responses of the semi-submersible, serving as benchmark results for comparison. Furthermore, both the 1D and 2D convolutions are conducted to check the influence of the convolutional dimensionality on the predicted results. The results demonstrate that the hybrid 1D CNN-BiLSTM network with an attention mechanism outperforms all other models in accurately predicting motion responses.
2024, 38(6): 932-942.
doi: 10.1007/s13344-024-0075-1
Abstract:
This study delineates the development of the optimization framework for the preliminary design phase of Floating Offshore Wind Turbines (FOWTs), and the central challenge addressed is the optimization of the FOWT platform dimensional parameters in relation to motion responses. Although the three-dimensional potential flow (TDPF) panel method is recognized for its precision in calculating FOWT motion responses, its computational intensity necessitates an alternative approach for efficiency. Herein, a novel application of varying fidelity frequency-domain computational strategies is introduced, which synthesizes the strip theory with the TDPF panel method to strike a balance between computational speed and accuracy. The Co-Kriging algorithm is employed to forge a surrogate model that amalgamates these computational strategies. Optimization objectives are centered on the platform’s motion response in heave and pitch directions under general sea conditions. The steel usage, the range of design variables, and geometric considerations are optimization constraints. The angle of the pontoons, the number of columns, the radius of the central column and the parameters of the mooring lines are optimization constants. This informed the structuring of a multi-objective optimization model utilizing the Non-dominated Sorting Genetic Algorithm II (NSGA-II) algorithm. For the case of the IEA UMaine VolturnUS-S Reference Platform, Pareto fronts are discerned based on the above framework and delineate the relationship between competing motion response objectives. The efficacy of final designs is substantiated through the time-domain calculation model, which ensures that the motion responses in extreme sea conditions are superior to those of the initial design.
This study delineates the development of the optimization framework for the preliminary design phase of Floating Offshore Wind Turbines (FOWTs), and the central challenge addressed is the optimization of the FOWT platform dimensional parameters in relation to motion responses. Although the three-dimensional potential flow (TDPF) panel method is recognized for its precision in calculating FOWT motion responses, its computational intensity necessitates an alternative approach for efficiency. Herein, a novel application of varying fidelity frequency-domain computational strategies is introduced, which synthesizes the strip theory with the TDPF panel method to strike a balance between computational speed and accuracy. The Co-Kriging algorithm is employed to forge a surrogate model that amalgamates these computational strategies. Optimization objectives are centered on the platform’s motion response in heave and pitch directions under general sea conditions. The steel usage, the range of design variables, and geometric considerations are optimization constraints. The angle of the pontoons, the number of columns, the radius of the central column and the parameters of the mooring lines are optimization constants. This informed the structuring of a multi-objective optimization model utilizing the Non-dominated Sorting Genetic Algorithm II (NSGA-II) algorithm. For the case of the IEA UMaine VolturnUS-S Reference Platform, Pareto fronts are discerned based on the above framework and delineate the relationship between competing motion response objectives. The efficacy of final designs is substantiated through the time-domain calculation model, which ensures that the motion responses in extreme sea conditions are superior to those of the initial design.
2024, 38(6): 943-957.
doi: 10.1007/s13344-024-0073-3
Abstract:
In recent years, the exploitation of offshore wind resources has been attached with greater importance. As a result, semi-submersible floating wind turbines (FWTs) have gradually become a popular research topic, with the structural strength being a research hotspot as it can ensure the safe operation of FWTs. The severe sea conditions of freak waves result in enormous wave heights, extremely fast wave speeds, and concentrated energy. Thus, it is difficult to accurately simulate these effects on the loads of floating wind turbines using the potential flow theory and other theories. In this paper, the structural strength of a floating wind turbine under the action of freak waves is analyzed based on the CFD-FEA coupled method. The effects of the mooring system and the wind load are considered in the time domain, and the CFD method is applied to analyze the wave load of the floating wind turbine under the extreme sea state of freak waves. The strength and motion of the floating wind turbine float structure are analyzed by combining the CFD method and the FEA method, and the analytical results of the mutual transfer of these two methods are taken as the initial quantities for further analysis. The accuracy of the analytical model of the CFD-FEA method is verified by the results of the tank test analysis, and the structural strength analysis under freak wave conditions is carried out for a new type of floating wind turbine. The results of this research provide useful guidance and references for the design and engineering applications of offshore floating wind turbines.
In recent years, the exploitation of offshore wind resources has been attached with greater importance. As a result, semi-submersible floating wind turbines (FWTs) have gradually become a popular research topic, with the structural strength being a research hotspot as it can ensure the safe operation of FWTs. The severe sea conditions of freak waves result in enormous wave heights, extremely fast wave speeds, and concentrated energy. Thus, it is difficult to accurately simulate these effects on the loads of floating wind turbines using the potential flow theory and other theories. In this paper, the structural strength of a floating wind turbine under the action of freak waves is analyzed based on the CFD-FEA coupled method. The effects of the mooring system and the wind load are considered in the time domain, and the CFD method is applied to analyze the wave load of the floating wind turbine under the extreme sea state of freak waves. The strength and motion of the floating wind turbine float structure are analyzed by combining the CFD method and the FEA method, and the analytical results of the mutual transfer of these two methods are taken as the initial quantities for further analysis. The accuracy of the analytical model of the CFD-FEA method is verified by the results of the tank test analysis, and the structural strength analysis under freak wave conditions is carried out for a new type of floating wind turbine. The results of this research provide useful guidance and references for the design and engineering applications of offshore floating wind turbines.
2024, 38(6): 958-969.
doi: 10.1007/s13344-024-0076-0
Abstract:
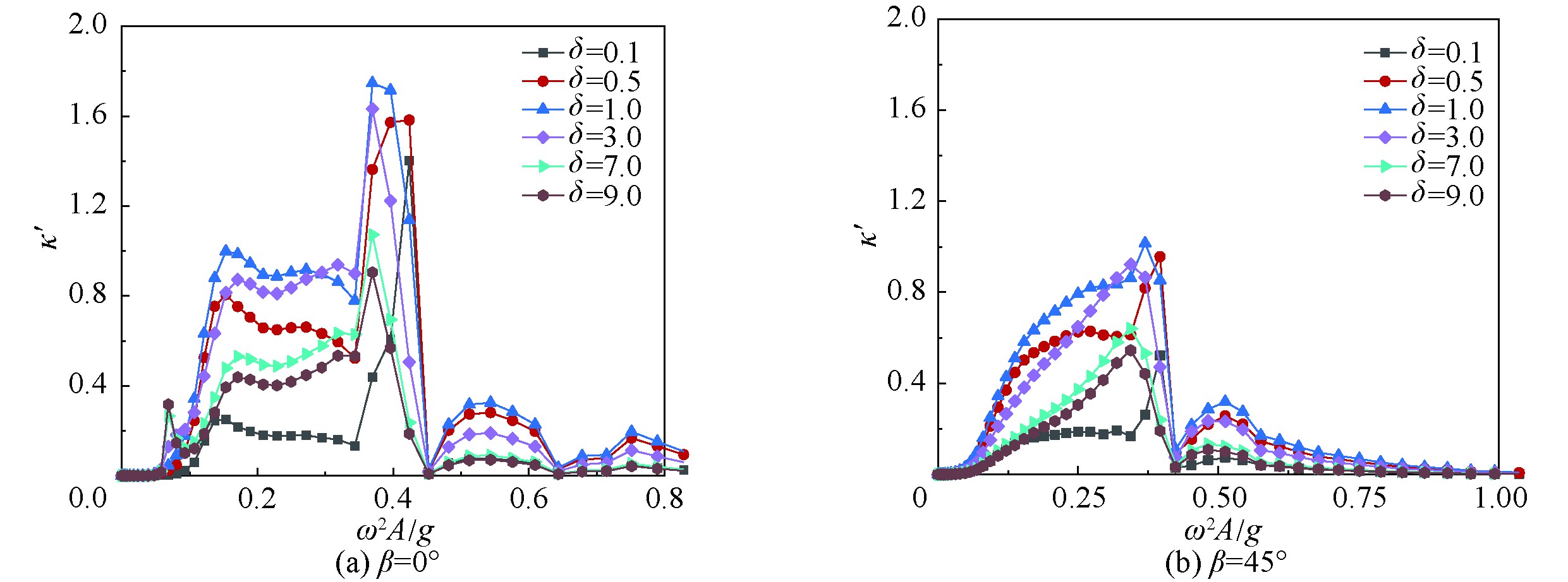
The development of very large floating structures (VLFSs) through the integration of multiple modules linked by connectors has resulted in a sophisticated multi-oscillator system. These flexible connectors are crucial to the stability and safety of the entire system, as they accommodate the dynamic interactions between the modules. The versatility of such complex configuration platforms, enhanced by multi-directional connectors, allows for a wide range of engineering applications owing to their adaptability in assembly and arrangement. In this study, a dynamic model within the frequency domain is meticulously constructed by linear wave and dynamic theories. This model facilitates a detailed hydrodynamic response analysis of complex configuration platforms, specifically those composed of triangular modules. The introduction of power flow theory further elucidates the coupling mechanisms and energy transmission effects within multi-directional connectors, offering valuable insights for the preliminary design layout of these platforms. Moreover, the research delves into the optimization of the stiffness configuration of the connectors. An optimization model is established via the linear weighted sum method, which considers the motion responses of the modules and the loads borne by the connectors. The genetic algorithm (GA) is employed to refine the stiffness configuration of the connectors with three-directional layout. This comprehensive approach not only enhances the understanding of the hydrodynamic behavior of VLFSs but also provides a methodological framework for optimizing their structural design. These findings are expected to significantly contribute to the field of marine engineering and inform the development of more robust and efficient VLFSs for various applications.
The development of very large floating structures (VLFSs) through the integration of multiple modules linked by connectors has resulted in a sophisticated multi-oscillator system. These flexible connectors are crucial to the stability and safety of the entire system, as they accommodate the dynamic interactions between the modules. The versatility of such complex configuration platforms, enhanced by multi-directional connectors, allows for a wide range of engineering applications owing to their adaptability in assembly and arrangement. In this study, a dynamic model within the frequency domain is meticulously constructed by linear wave and dynamic theories. This model facilitates a detailed hydrodynamic response analysis of complex configuration platforms, specifically those composed of triangular modules. The introduction of power flow theory further elucidates the coupling mechanisms and energy transmission effects within multi-directional connectors, offering valuable insights for the preliminary design layout of these platforms. Moreover, the research delves into the optimization of the stiffness configuration of the connectors. An optimization model is established via the linear weighted sum method, which considers the motion responses of the modules and the loads borne by the connectors. The genetic algorithm (GA) is employed to refine the stiffness configuration of the connectors with three-directional layout. This comprehensive approach not only enhances the understanding of the hydrodynamic behavior of VLFSs but also provides a methodological framework for optimizing their structural design. These findings are expected to significantly contribute to the field of marine engineering and inform the development of more robust and efficient VLFSs for various applications.
2024, 38(6): 970-982.
doi: 10.1007/s13344-024-0077-z
Abstract:
The hydroelastic behavior of a moored oil storage vessel subjected to arbitrary time-dependent external loads, which include wind, waves, and currents with different incident directions, is investigated with the time-domain modal expansion method. First, the water boundary integral equations on the body surface of a quarter model, which can be obtained via the free-surface Green’s function method, are established. Then, the time-dependent elastic deflection of the moored oil storage vessel is expressed by a superposition of modal functions and corresponding modal amplitudes, and a Galerkin scheme is applied to derive the linear system of equations for the modal amplitudes. The second-order linear differential equations for modal amplitudes are solved via the fourth-order Runge−Kutta method. The present model is validated against existing frequency domain results for a truncated cylinder and a VLFS. Numerical calculations for the moored oil storage vessel are then conducted to obtain the time series of various modal amplitudes and elastic displacements of the measurement points and the corresponding spectra with different incident directions.
The hydroelastic behavior of a moored oil storage vessel subjected to arbitrary time-dependent external loads, which include wind, waves, and currents with different incident directions, is investigated with the time-domain modal expansion method. First, the water boundary integral equations on the body surface of a quarter model, which can be obtained via the free-surface Green’s function method, are established. Then, the time-dependent elastic deflection of the moored oil storage vessel is expressed by a superposition of modal functions and corresponding modal amplitudes, and a Galerkin scheme is applied to derive the linear system of equations for the modal amplitudes. The second-order linear differential equations for modal amplitudes are solved via the fourth-order Runge−Kutta method. The present model is validated against existing frequency domain results for a truncated cylinder and a VLFS. Numerical calculations for the moored oil storage vessel are then conducted to obtain the time series of various modal amplitudes and elastic displacements of the measurement points and the corresponding spectra with different incident directions.
2024, 38(6): 983-998.
doi: 10.1007/s13344-024-0090-2
Abstract:
The occurrence of blockages of trash intercepting net in nuclear power plant due to marine biofouling has become increasingly frequent, leading to significant changes in the mechanical state. This paper establishes a CFD (Computational Fluid Dynamics) model to simulate the hydrodynamic forces of trash intercepting net under the action of regular waves. The porous media model is used to calculate the hydrodynamic forces, and the maximum mooring load is also evaluated. The simplified calculation method considering the different curved shape based on the flat nets are proposed, and the influences of wave parameters, solidity, and curved shape are investigated. The results indicate that under the regular wave conditions, as the solidity increases, the phenomenon of secondary wave peaks becomes more pronounced. The horizontal wave force reduction coefficient follows a three-piecewise linear relationship with the non-dimensional deformation level of curved shape. The trash intercepting net exhibits more potent scattering effects on short-wave conditions, displaying significant non-linear characteristics. The deformation level of the trash intercepting net is a significant factor influencing the mooring load.
The occurrence of blockages of trash intercepting net in nuclear power plant due to marine biofouling has become increasingly frequent, leading to significant changes in the mechanical state. This paper establishes a CFD (Computational Fluid Dynamics) model to simulate the hydrodynamic forces of trash intercepting net under the action of regular waves. The porous media model is used to calculate the hydrodynamic forces, and the maximum mooring load is also evaluated. The simplified calculation method considering the different curved shape based on the flat nets are proposed, and the influences of wave parameters, solidity, and curved shape are investigated. The results indicate that under the regular wave conditions, as the solidity increases, the phenomenon of secondary wave peaks becomes more pronounced. The horizontal wave force reduction coefficient follows a three-piecewise linear relationship with the non-dimensional deformation level of curved shape. The trash intercepting net exhibits more potent scattering effects on short-wave conditions, displaying significant non-linear characteristics. The deformation level of the trash intercepting net is a significant factor influencing the mooring load.
2024, 38(6): 999-1011.
doi: 10.1007/s13344-024-0078-y
Abstract:
The production of hydrogen on offshore platform can decrease reliance on the power grid, mitigate transmission losses of electricity, and diminish investment costs for subsea cables. In this study, the hydrodynamic performances of platforms equipped with two types of tanks separately are evaluated and are comprehensively compared with each other. The Volume of Fluid (VOF) two-phase flow model and the Shear−Stress Transport (SST) k−omega turbulence model are applied to simulate the motion responses of the C-type and Moss-type tanks under the same excitation force of platform based on the time-frequency response results of platforms. Comparisons are made among the shape of the liquid hydrogen surface, variations of the wall pressures, changes of the gas-liquid temperatures, and the pressure drop phenomena induced by phase changes inside the tanks. The results indicate that the interaction between wave-induced excitation force and sloshing force from tanks can either increase or decrease the amplitude of platform’s motion. Meanwhile, the thermodynamic responses of liquid hydrogen sloshing inside the tanks correlate positively with the dynamic behavior. Compared with Moss-type tanks, the sloshing of liquid hydrogen in C-type tanks is more intense, accompanied by jetting and breaking wave phenomena. For the C-type tanks, the substantial increase in interfacial area significantly enhances phase change condensation and heat transfer, leading to the rapid decline in temperature and pressure inside the tanks. The results of this study can provide valuable insights for the future design of floating hydrogen storage platform and the selection of tanks on the platform.
The production of hydrogen on offshore platform can decrease reliance on the power grid, mitigate transmission losses of electricity, and diminish investment costs for subsea cables. In this study, the hydrodynamic performances of platforms equipped with two types of tanks separately are evaluated and are comprehensively compared with each other. The Volume of Fluid (VOF) two-phase flow model and the Shear−Stress Transport (SST) k−omega turbulence model are applied to simulate the motion responses of the C-type and Moss-type tanks under the same excitation force of platform based on the time-frequency response results of platforms. Comparisons are made among the shape of the liquid hydrogen surface, variations of the wall pressures, changes of the gas-liquid temperatures, and the pressure drop phenomena induced by phase changes inside the tanks. The results indicate that the interaction between wave-induced excitation force and sloshing force from tanks can either increase or decrease the amplitude of platform’s motion. Meanwhile, the thermodynamic responses of liquid hydrogen sloshing inside the tanks correlate positively with the dynamic behavior. Compared with Moss-type tanks, the sloshing of liquid hydrogen in C-type tanks is more intense, accompanied by jetting and breaking wave phenomena. For the C-type tanks, the substantial increase in interfacial area significantly enhances phase change condensation and heat transfer, leading to the rapid decline in temperature and pressure inside the tanks. The results of this study can provide valuable insights for the future design of floating hydrogen storage platform and the selection of tanks on the platform.
2024, 38(6): 1012-1022.
doi: 10.1007/s13344-024-0079-x
Abstract:
Extreme waves, owing to their enormous impact energy, wide range of action, and strong destructive capacity, generate considerable impact forces that lead to the vibration and damage of offshore photovoltaic and other marine structures. The generated cracks when waves impact photovoltaic panels affect their power generation efficiency and service life, but research on wave-impacted elastic photovoltaic panels is still lacking. In this work, a two-way fluid-solid coupling numerical method was used to predict the hydroelastic response of photovoltaic panels under different wave conditions. First, an analysis of the impact loading on the photovoltaic panel was presented, including the normal impact force and peak pressure under different wave conditions. The hydroelastic response of the photovoltaic panel to impact, in terms of the displacement of the photovoltaic panel and the stress of the solar cells, was subsequently analyzed and discussed. Finally, the peak stress in the silicon panels was compared with the mechanical strength of the silicon panels, revealing the cracking risk of the PV panels under different sea states. The results showed that the impact force was the main cause of cracks in the photovoltaic panels, which can easily result in damage caused by stress concentrations at their corners, where the stress in the silicon panels was the largest. The peak stress of the photovoltaic panel under the sea state of Grade 6-1 can reach 78.93 MPa, which exceeds the mechanical strength of silicon panels; therefore, there is a larger risk of internal cracking.
Extreme waves, owing to their enormous impact energy, wide range of action, and strong destructive capacity, generate considerable impact forces that lead to the vibration and damage of offshore photovoltaic and other marine structures. The generated cracks when waves impact photovoltaic panels affect their power generation efficiency and service life, but research on wave-impacted elastic photovoltaic panels is still lacking. In this work, a two-way fluid-solid coupling numerical method was used to predict the hydroelastic response of photovoltaic panels under different wave conditions. First, an analysis of the impact loading on the photovoltaic panel was presented, including the normal impact force and peak pressure under different wave conditions. The hydroelastic response of the photovoltaic panel to impact, in terms of the displacement of the photovoltaic panel and the stress of the solar cells, was subsequently analyzed and discussed. Finally, the peak stress in the silicon panels was compared with the mechanical strength of the silicon panels, revealing the cracking risk of the PV panels under different sea states. The results showed that the impact force was the main cause of cracks in the photovoltaic panels, which can easily result in damage caused by stress concentrations at their corners, where the stress in the silicon panels was the largest. The peak stress of the photovoltaic panel under the sea state of Grade 6-1 can reach 78.93 MPa, which exceeds the mechanical strength of silicon panels; therefore, there is a larger risk of internal cracking.
2024, 38(6): 1023-1033.
doi: 10.1007/s13344-024-0080-4
Abstract:
Global warming has led to major melting of ice in the polar Arctic, making it possible to open Arctic shipping lanes. In this case, the large number of ice sheets are extremely dangerous for ship navigation, so in this paper, a body floating on water confined between two finite ice sheets is investigated. The linearized potential flow theory is adopted, and water is considered an incompressible ideal fluid with a finite depth of the fluid domain. The ice sheets are treated as elastic plates, and the problem is solved by matching eigenfunction expansion. The fluid domain is divided into subregions on the basis of the water surface conditions, and the velocity potential of the subdomains is expanded via the separated variable method. By utilizing the continuity of pressure and velocity at the interfaces of two neighboring regions, a system of linear equations is established to obtain the unknown coefficients in the expansion, which in turn leads to analytical solutions for different motion modes in different regions. The effects of different structural drafts, and different lengths of ice sheets on both sides, etc., on the hydrodynamic characteristics of floats are analyzed. The amplitude of motion of the float is explored, as is the wave elevation between the ice sheets and the float.
Global warming has led to major melting of ice in the polar Arctic, making it possible to open Arctic shipping lanes. In this case, the large number of ice sheets are extremely dangerous for ship navigation, so in this paper, a body floating on water confined between two finite ice sheets is investigated. The linearized potential flow theory is adopted, and water is considered an incompressible ideal fluid with a finite depth of the fluid domain. The ice sheets are treated as elastic plates, and the problem is solved by matching eigenfunction expansion. The fluid domain is divided into subregions on the basis of the water surface conditions, and the velocity potential of the subdomains is expanded via the separated variable method. By utilizing the continuity of pressure and velocity at the interfaces of two neighboring regions, a system of linear equations is established to obtain the unknown coefficients in the expansion, which in turn leads to analytical solutions for different motion modes in different regions. The effects of different structural drafts, and different lengths of ice sheets on both sides, etc., on the hydrodynamic characteristics of floats are analyzed. The amplitude of motion of the float is explored, as is the wave elevation between the ice sheets and the float.
2024, 38(6): 1034-1046.
doi: 10.1007/s13344-024-0081-3
Abstract:
This paper presents a hydrodynamic analysis of a hybrid system consisting of a floating platform coupled with an array of oscillating bodies that move along the weather sidewall of the platform. Using the Lagrange multiplier method, the motion equation governing this type of motion characteristic is formulated, and the formula of the extracted wave power is derived. The numerical results demonstrate a significant increase in the hydrodynamic efficiency of oscillating bodies within specific frequency ranges in the presence of the floating platform. The incorporation of proper power take-off damping of the oscillating bodies results in a reduction in the heave motion of the platform, but it may lead to an increase in pitch motion. The analysis of the response behaviour of the system shows that both the heave motion and pitch motion of the platform contribute to the power extraction and relative motion between the buoys and the platform. Parametric investigations are conducted to explore the hydrodynamic interactions between the floating platform and the buoy array. Additionally, the concept of “hydrodynamic synergy” is proposed to describe the synergetic effect of different components of a multi-purpose platform, which is of considerable engineering interest.
This paper presents a hydrodynamic analysis of a hybrid system consisting of a floating platform coupled with an array of oscillating bodies that move along the weather sidewall of the platform. Using the Lagrange multiplier method, the motion equation governing this type of motion characteristic is formulated, and the formula of the extracted wave power is derived. The numerical results demonstrate a significant increase in the hydrodynamic efficiency of oscillating bodies within specific frequency ranges in the presence of the floating platform. The incorporation of proper power take-off damping of the oscillating bodies results in a reduction in the heave motion of the platform, but it may lead to an increase in pitch motion. The analysis of the response behaviour of the system shows that both the heave motion and pitch motion of the platform contribute to the power extraction and relative motion between the buoys and the platform. Parametric investigations are conducted to explore the hydrodynamic interactions between the floating platform and the buoy array. Additionally, the concept of “hydrodynamic synergy” is proposed to describe the synergetic effect of different components of a multi-purpose platform, which is of considerable engineering interest.
2024, 38(6): 1091-1091.
doi: 10.1007/s13344-024-0087-x
Abstract:
2024, 38(6): 1047-1056.
doi: 10.1007/s13344-024-0082-2
Abstract:
With the acceleration of marine construction in China, the exploitation and utilization of resources from islands and reefs are necessary. To prevent and dissipate waves in the process of resource exploitation and utilization, a more effective method is to install floating breakwaters near the terrain of islands and reefs. The terrain around islands and reefs is complex, and waves undergo a series of changes due to the impact of the complex terrain in transmission. It is important to find a suitable location for floating breakwater systems on islands and reefs and investigate how the terrain affects the system’s hydrodynamic performance. This paper introduces a three-cylinder floating breakwater design. The breakwater system consists of 8 units connected by elastic structures and secured by a slack mooring system. To evaluate its effectiveness, a 3D model experiment was conducted in a wave basin. During the experiment, a model resembling the islands and reefs terrain was created on the basis of the water depth map of a specific region in the East China Sea. The transmission coefficients and motion responses of the three-cylinder floating breakwater system were then measured. This was done both in the middle of and behind the islands and reefs terrain. According to the experimental results, the three-cylinder floating breakwater system performs better in terms of hydrodynamics when it is placed behind the terrain of islands and reefs than in the middle of the same terrain.
With the acceleration of marine construction in China, the exploitation and utilization of resources from islands and reefs are necessary. To prevent and dissipate waves in the process of resource exploitation and utilization, a more effective method is to install floating breakwaters near the terrain of islands and reefs. The terrain around islands and reefs is complex, and waves undergo a series of changes due to the impact of the complex terrain in transmission. It is important to find a suitable location for floating breakwater systems on islands and reefs and investigate how the terrain affects the system’s hydrodynamic performance. This paper introduces a three-cylinder floating breakwater design. The breakwater system consists of 8 units connected by elastic structures and secured by a slack mooring system. To evaluate its effectiveness, a 3D model experiment was conducted in a wave basin. During the experiment, a model resembling the islands and reefs terrain was created on the basis of the water depth map of a specific region in the East China Sea. The transmission coefficients and motion responses of the three-cylinder floating breakwater system were then measured. This was done both in the middle of and behind the islands and reefs terrain. According to the experimental results, the three-cylinder floating breakwater system performs better in terms of hydrodynamics when it is placed behind the terrain of islands and reefs than in the middle of the same terrain.
2024, 38(6): 1057-1070.
doi: 10.1007/s13344-024-0083-1
Abstract:
To address the mooring issues of floating photovoltaic systems in areas with large tidal variations, three mooring schemes were designed and compared in this paper: anchor chain, anchor chain with added weights, and anchor chain with Superflex. The model was established via the numerical simulation tool Orcaflex, which considers the combined effects of wind, waves, and currents. A time-domain coupled dynamic analysis was conducted on the performance of the three mooring schemes under various tidal conditions to determine the mooring cable tension and platform motion response. Furthermore, the mooring system with an anchor chain and Superflex was optimized, with a focus on analyzing the effects of the Superflex length, the diameter of the anchor chains, and the mooring radius. The mooring system with the anchor chain and Superflex exhibits more controllable and stable mooring performance in areas with large tidal variations, so that it more effectively maintains the required mooring tension level. These findings not only provide a reference for the feasibility and optimization design of photovoltaic systems in areas with large tidal variations but also offer valuable experience for the sustainable application of clean energy under specific environmental conditions.
To address the mooring issues of floating photovoltaic systems in areas with large tidal variations, three mooring schemes were designed and compared in this paper: anchor chain, anchor chain with added weights, and anchor chain with Superflex. The model was established via the numerical simulation tool Orcaflex, which considers the combined effects of wind, waves, and currents. A time-domain coupled dynamic analysis was conducted on the performance of the three mooring schemes under various tidal conditions to determine the mooring cable tension and platform motion response. Furthermore, the mooring system with an anchor chain and Superflex was optimized, with a focus on analyzing the effects of the Superflex length, the diameter of the anchor chains, and the mooring radius. The mooring system with the anchor chain and Superflex exhibits more controllable and stable mooring performance in areas with large tidal variations, so that it more effectively maintains the required mooring tension level. These findings not only provide a reference for the feasibility and optimization design of photovoltaic systems in areas with large tidal variations but also offer valuable experience for the sustainable application of clean energy under specific environmental conditions.
2024, 38(6): 1071-1081.
doi: 10.1007/s13344-024-0084-0
Abstract:
Fishing boats are usually anchored side by side in the harbor because of the small structural size and poor resistance to wind and waves. A series of physical model experiments are conducted to investigate the motion characteristics of multiple fishing boats that are moored together. A decay test in calm water is conducted to study the natural period and damping coefficients. Regular wave experiments are performed to analyze the roll motion response of each boat for four modes (different numbers of boats side-by-side). The results indicate that the “natural period” of each boat for the mode of multi-boats especially three or four boats, is slightly smaller than that of a single boat, whereas the damping coefficient is visibly larger than that of a single boat. The maximum roll angle of each boat does not appear at the same time under a 90° incident wave. Small roll motion energy is generated at low frequencies and high frequencies when multiple boats are moored together. The energy decreases with the increasing wave period. The roll motion responses of each boat in four modes exhibit different trends with the increasing wave frequency. The number of boats and boat position have significant effects on roll motion.
Fishing boats are usually anchored side by side in the harbor because of the small structural size and poor resistance to wind and waves. A series of physical model experiments are conducted to investigate the motion characteristics of multiple fishing boats that are moored together. A decay test in calm water is conducted to study the natural period and damping coefficients. Regular wave experiments are performed to analyze the roll motion response of each boat for four modes (different numbers of boats side-by-side). The results indicate that the “natural period” of each boat for the mode of multi-boats especially three or four boats, is slightly smaller than that of a single boat, whereas the damping coefficient is visibly larger than that of a single boat. The maximum roll angle of each boat does not appear at the same time under a 90° incident wave. Small roll motion energy is generated at low frequencies and high frequencies when multiple boats are moored together. The energy decreases with the increasing wave period. The roll motion responses of each boat in four modes exhibit different trends with the increasing wave frequency. The number of boats and boat position have significant effects on roll motion.
2024, 38(6): 1082-1090.
doi: 10.1007/s13344-024-0085-z
Abstract:
Integrating wave energy converters (WECs) with offshore platforms offers numerous advantages, such as reducing wave loads, supplying energy to the platform, and cost-sharing in construction. This paper reports an experimental investigation focusing on the hydrodynamic characteristics of a proposed modular floating structure system integrated with WEC-type floating artificial reefs. The proposed system comprises several serially arranged hexagonal floating structures, anchored by tension legs, and integrated with outermost WEC-type floating artificial reefs. A simplified wave energy converter utilizing the relative pitch motion between adjacent modules for energy conversion was constructed in the scale model test. The effects of chain-type modular expansion on the multi-body motion response, mooring tension response, and WEC performance of the system have been thoroughly investigated. The experimental results indicate that increasing the number of hexagonal modules can notably reduce the system’s surge response, particularly under survival sea conditions. The connection of the outermost reef modules slightly increases the tension leg load of the adjacent module, whereas the tension leg load remains relatively consistent across the inner hexagonal modules. Furthermore, through a comparison of the dynamic responses of the hexagonal module connected and unconnected outermost reefs, the good performance in terms of energy conversion and wave attenuation of the WEC-type floating artificial reef modules was effectively validated. The main results from this work can provide useful references for engineering applications involving modular floating structures integrated with WECs.
Integrating wave energy converters (WECs) with offshore platforms offers numerous advantages, such as reducing wave loads, supplying energy to the platform, and cost-sharing in construction. This paper reports an experimental investigation focusing on the hydrodynamic characteristics of a proposed modular floating structure system integrated with WEC-type floating artificial reefs. The proposed system comprises several serially arranged hexagonal floating structures, anchored by tension legs, and integrated with outermost WEC-type floating artificial reefs. A simplified wave energy converter utilizing the relative pitch motion between adjacent modules for energy conversion was constructed in the scale model test. The effects of chain-type modular expansion on the multi-body motion response, mooring tension response, and WEC performance of the system have been thoroughly investigated. The experimental results indicate that increasing the number of hexagonal modules can notably reduce the system’s surge response, particularly under survival sea conditions. The connection of the outermost reef modules slightly increases the tension leg load of the adjacent module, whereas the tension leg load remains relatively consistent across the inner hexagonal modules. Furthermore, through a comparison of the dynamic responses of the hexagonal module connected and unconnected outermost reefs, the good performance in terms of energy conversion and wave attenuation of the WEC-type floating artificial reef modules was effectively validated. The main results from this work can provide useful references for engineering applications involving modular floating structures integrated with WECs.
ScholarOne Manuscripts Log In
Current Issue

- Volume 39
- Issue 4
- September 2025
- Editor-in-Chief:
- Superintended by:
CHINA ASSOCIATION FOR SCIENCE AND TECHNOLOGY
- Sponsored by:
Chinese Ocean Engineering Society (COES)
- Edited by:
Nanjing Hydraulic Research Institute
Highlights
Stay up to Date
